Lecture 7 i The dielectric relaxation and dielectric























- Slides: 23
Lecture 7 i. The dielectric relaxation and dielectric resonance. ii. The distribution functions of the relaxation times. iii. Cole-Cole distribution. Cole-Davidson distribution. Havriliak -Nehamy, Fuoss-Kirkwood and Johnsher distributions. 1
Relaxation and resonance The decreasing of the polarization in the absence of an electric field, due to the occurrence of a field in the past, is independent of the history of the dielectric, and depends only on the value of the orientation polarization at the instant, with which it is proportional. Denoting the proportionality constant by 1/ , since it has the dimension of a reciprocal time, one thus obtains the following differential equation for the orientation polarization in the absence of an electric field: (7. 1) with solution: (7. 2) 2
It follows that in this case the step-response function of the orientation polarization is given by an exponential decay: (7. 3) where the time constant is called the relaxation time. From (7. 3) one obtains for the pulse-response function also an exponential decay, with the same time constant: (7. 4) Complex dielectric permittivity as it was shown in last lecture can be written in the following way: Substituting (7. 4) into the relation one finds the complex dielectric permittivity: (7. 5) 3
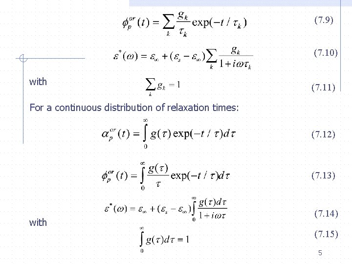
Splitting up the real and imaginary parts of (7. 5) one obtains: (7. 6) (7. 7) These relationships usually called the Debye formulas. Although the one exponential behavior in time domain or the Debye formula in frequency domain give an adequate description of the behavior of the orientation polarization for a large number of condensed systems, for many other systems serious deviations occur. If there are more than one relaxation peak we can assumed different parts of the orientation polarization to decline with different relaxation times k , yielding: (7. 8) 4
(7. 9) (7. 10) with (7. 11) For a continuous distribution of relaxation times: (7. 12) (7. 13) with (7. 14) (7. 15) 5
Equations (7. 12) till ( 7. 14) appear to be sufficiently general to permit an adequate description of the orientation polarization of almost any condensed system in timedependent fields. At a very high frequencies, however, the deviations from Eq. (7. 15) should always occur, corresponding with deviations from (7. 13) and (7. 14) at values of t that are small with respect to the characteristic value o of the distribution of relaxation times. Physically, this is due to the behavior of the response functions at t=0. Any change of the polarization is connected with a motion of mass under the influence of forces that depend on the electric field. An instantaneous change of the electric field yields an instantaneous change of these forces, corresponding with an instantaneous change of acceleration of the molecular motions by which the polarization changes, but not with an instantaneous change of the velocities. From this it follows that the derivative of the step-response function of the polarization at t=0 should be zero, which is contrast to the behavior of Eq. (7. 3; 7. 8 and 7. 13) for dielectric relaxation. 6
Therefore these equations cannot describe adequately the behavior of the response function near t=0, and the corresponding expressions for *( ) do not hold at very high frequencies (usually 1012 and higher). The behavior of the induced polarization in time dependent fields can be described in phenomenological way. At frequencies corresponding with the characteristic times of the intermolecular motions by which the induced polarization occurs, there are sharp absorption lines, due to the discrete energy levels for these motions. In a first approximation, these absorption lines correspond with delta functions in the frequency dependence of " (7. 16) 7
The corresponding frequency dependence of ‘( ) is obtained from Kramers-Kronig relations: (7. 17) As this expression gives the contribution by the induced polarization, its value for =0 is the dielectric permittivity of induced polarization : (7. 18) It follows from (7. 17) that for infinitely narrow absorption lines, ‘( ) becomes infinite at each frequency where an absorption line is situated, the so-called resonance catastrophe. To present these phenomena in terms of polarization it can be assumed that in the absence of an electric field the time-dependent behavior of the polarization is governed by a second-order differential equation: (7. 19) which is the same equation as for a harmonic oscillator in the absence of damping, to which the term resonance applies. 8
The empirical description of dielectric relaxation The behavior of the orientation polarization of most condensed systems in time-dependent fields can, as a good approximation, be characterized with a distribution of relaxation times. This behavior is generally denoted as dielectric relaxation. This implies that the complex dielectric permittivity, characterizing the behavior of the system in harmonic fields, in the frequency range corresponding with the characteristic times for the molecular reorientation can be written with Eq. (7. 14), or if a logarithmic distribution function is used: (7. 20) with (7. 21) The corresponding expressions for the response functions are: 9
(7. 22) (7. 23) . A single relaxation time The simplest expressions that can be used for the description of experimental relaxation data are those for a single relaxation time: 10
For the case of a single relaxation time the points ( , ") lie on a semicircle with center on the axis and intersecting this axis at = s and = . Although the Cole-Cole plot is very useful to investigate if the experimental values of and can be described with a single relaxation time, it is preferable to determine the values of the parameters involved by a different graphical method that was suggested by Cole by plotting of ( ) and ( )/ against ( ). Combining eqns (7. 6) and (7. 7) one has: 11
(7. 24) (7. 25) It follows that both methods yield straight lines, with slopes 1/ and , respectively, and ´ intersecting axis at s and . 12
. The Cole-Cole equation. The first empirical expressions for *( ) was given by K. S. Cole and R. H. Cole in 1941: (7. 26) (7. 27) (7. 28) 13
In time domain the expression for the pulse-response function cannot be obtained directly using the inverse Laplace transform to the Cole expression. Instead, the pulse-response function can be obtained indirectly by developing (7. 26) in series. Taking the Laplace transform to the series one can obtain: (7. 29) 14
. Cole-Davidson equation In 1950 by Davidson and Cole another expression for *( ) was given: (7. 30) This expression reduces to the Debye equation for =1. Since where =arctg o, separation of the real and imaginary parts is easy, leading to the following expressions for and : (7. 31) (7. 32) 15
From Cole-Davidson equation, the pulse-response function can be obtained directly by taking the inverse Laplace transform: (7. 33) 16
. The Havriliak-Negami equation (7. 34) It is easily seen that this equation is both a generalization of the Cole equation, to which it reduces for =1, and a generalization of the Cole-Davidson equation to which it reduces for =0. Separation of the real and the imaginary parts gives rather intricate expressions for and : (7. 35) (7. 36) 17
where (7. 37) 18
. The Fuoss-Kirkwood description Fuoss and Kirkwood observed that for the case of a single relaxation time, the loss factor " ( ) can be written in the following form: (7. 38) where m is the maximum value of ( ) in this case given by: (7. 39) Eqn. (7. 38) can be generalized to the form: (7. 40) where is a parameter with values 0< 1 and ”m is now different from . Applying Kramers Kroning relationship, we find that ´m in the Fuoss-Kirkwood equation is given by: 19
(7. 41) The parameter introduced by (7. 35) should be distinguished from the parameter in the Cole-Cole equation. An important difference between both parameters is that the Fuoss-Kirkwood equation changes into the expression for a single relaxation time if =1, whereas Cole equation does so if =0. 20
. The Jonscher description The Fuoss-Kirkwood equation can also be written in the form: (7. 42) Jonnscher suggested an expression for ”( ) that is a generalization of Eq. (7. 42): (7. 43) with 0<m 1, 0 n<1. The Eq. (7. 42) makes that the frequency of maximum los is: (7. 44) 21
The quantities 1 and m and 2 and n respectively determine the low frequency and high frequency behavior and can be obtained from a plot of ln ”( ) against ln , which should yield straight lines in the low- and high frequency ranges since one then has respectively: (7. 45) (7. 46) 22
23