LECTURE 4 NLPmodel for minimizing heat exchanger surface


















































- Slides: 50
LECTURE 4 • NLP-model for minimizing heat exchanger surface area costs • Simultaneous MINLP model
What did we learn in Lecture 3 • LP-model (either basic transshipment model or extended transshipment model) – Min. hot and cold utility consumption – Pinch point (and number of sub-networks) • MILP-model (extended transshipment model with binary variables for heat exchanger matches) – Min. number of heat exchangers – Matches (which streams exchange heat) – Head loads for all heat exchangers
What will we learn in Lecture 4 • Cost optimization of HENS (area minimization) with an NLP superstructure • Simultaneous MINLPmodel (Synheat-model) for – Min utilities – Min number of heat exchangers – Min HEX area
Heat exchanger network structure NLP-model minimising heat exchanger surface area costs
Sequential Heat Exchanger Synthesis Optimization of utilities consumption LP-transshipment model Problem Data (streams, cost) DT min value Minimization of number of units MILP-transshipment model Optimization of network cost NLP-superstructure Result OK? YES, STOP NO, new DTmin value
Information from previous models min (Area Cost) s. t min (Number of Units) s. t. min (Minimum Utility Consumption) • LP-model – Min. hot and cold utility consumption – Pinch point (and number of sub-networks) • MILP-model – Min. number of heat exchangers – Matches (which streams exchange heat) – Head loads for all heat exchangers
HEN Superstructure • One superstructure for all streams • Embed ALL alternative network structures • Key elements: – Heat exchanger units – Mixers at inlets of each heat exchanger – Splitters at the outlets of each heat exchanger – Mixer at output of stream – Splitter at input of stream
Example for H 1 with two matches Q 11 C 1 H 1 Q 12 C 2
Units in series: H 1 -C 1, H 1 -C 2 Q 11 C 1 H 1 Q 12 C 2
Units in series: H 1 -C 2, H 1 -C 1 Q 11 C 1 H 1 Q 12 C 2
Units in parallel Q 11 C 1 H 1 Q 12 C 2
Units with parallel with bypass (H 1 -C 2) Q 11 C 1 H 1 Q 12 C 2
Units with parallel with bypass (H 1 -C 1) Q 11 C 1 H 1 Q 12 C 2
Superstructure for H 1 with two matches Q 11 C 1 H 1 Q 12 C 2
Variables for H 1 with two matches • • • F T t Q A Heat capacity flowrates (i. e. mcp) Temperatures (H 1) Temperatures (C 1, C 2) Heat loads (given by MILP-model) Heat exchanger area
Variables for H 1 with two matches tout 1 T 3 F 1 H 1 F 3 A 11 tin 1 Q 11 T 56 C 1 F 5 Tout Tin F 6 F F 8 F 2 T 4 F 4 A 12 tout 2 Q 12 T 78 tin 2 C 2 F 7
Mass Balances
Energy Balances (mixers and HEXs only)
Temperature differences and constraints tin 1 tout 1 T 3 Q 11 T 56 C 1 T 4 F 4 T 78 tout 2 Q 12 tin 2 C 2
Constraints
Objective Function
Modelling Procedure 1. For all streams with two or more matches, develop the superstructure: a. Initial split (streams are directed to all units) b. Split outlet of units and mix with inlet of all other units and final mixer 2. Combine all superstructures (constraints and objectives) into one model 3. Solve combined NLP model
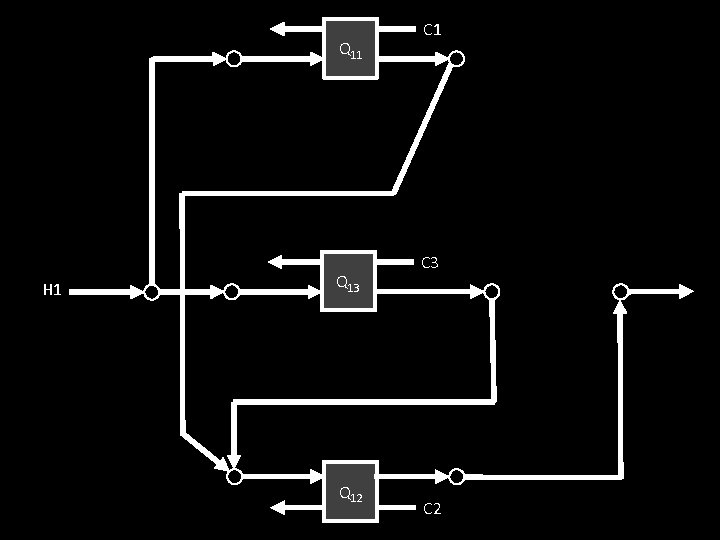
Q 11 H 1 Q 13 Q 12 C 1 C 3 C 2
Q 11 H 1 Q 13 Q 12 C 1 C 3 C 2
Q 11 H 1 Q 13 Q 12 C 1 C 3 C 2
Sequential Heat Exchanger Synthesis Optimization of utilities consumption LP-transshipment model Problem Data (streams, cost) DT min value Minimization of number of units MILP-transshipment model Optimization of network cost NLP-superstructure Result OK? YES, STOP NO, new DTmin value
Simultaneous MINLP model Synheat, stagewise superstructure
Optimisation Problem min Total Cost = Area Cost + Units Fixed Cost + Utility Cost
stage k=1 stage k=2 H 1 C 2 H 2 temperature location k=1 temperature location k=2 temperature location k=3
stage k=1 stage k=2 H 1 -C 1 H 1 CW H 1 -C 2 C 1 C 2 H 2 -C 1 H 2 CW H 2 -C 2 temperature location k=1 H 2 -C 2 temperature location k=3
stage k=1 stage k=2 H 1 -C 1 H 1 -C 2 H 1 S C 2 H 2 -C 1 H 2 -C 2 H 2 temperature location k=1 temperature location k=2 temperature location k=3
stage k=1 stage k=2 H 1 -C 1 t. H 1, 1 H 1 S t. C 1, 1 t. C 1, 2 t. C 1, 1 t. C 1, 3 t. C 2, 2 t. C 2, 3 H 2 -C 1 H 2 t. H 2, 1 C 2 H 2 -C 1 t. H 2, 3 t. H 2, 2 H 2 -C 2 temperature location k=1 CW H 1 -C 2 S t. H 1, 3 t. H 1, 2 H 2 -C 2 temperature location k=3 CW
MINLP Model Parts • Objective function • Energy balances – overall energy balance for all streams – energy balance for each stage • • • Assignment of temperatures Feasibility of temperatures Hot and cold utility load Logical constraints Calculation of the approach temperatures
Sets and indices • Process streams – HP – CP hot streams (i) cold streams (j) • ST superstructure stages (k) • Utilities – HU – CU hot utility cold utility
Parameters
Variables dtijk qijk zijk
Overall heat balance (hot) stage k=1 stage k=2 H 1 -C 1 H 1 TIN 1 F 1 temperature location k=1 q 112 H 1 -C 2 q 121 q 122 temperature location k=2 qcu 1 CW TOUT 1 temperature location k=3
Overall heat balance (cold) stage k=1 stage k=2 H 1 -C 1 q 111 TOUT 1 q 112 TIN 1 S F 1 qhu 1 temperature location k=1 C 1 H 2 -C 1 q 122 temperature location k=3
Stage heat balance (hot) stage k=1 stage k=2 H 1 -C 1 t. H 1, 1 H 1 F 1 temperature location k=1 q 111 t. H 1, 2 q 112 H 1 -C 2 q 121 q 122 temperature location k=2 t. H 1, 3 TOUT 1 temperature location k=3
Stage heat balance (cold) stage k=1 stage k=2 H 1 -C 1 q 111 t. C 1, 3 t. C 1, 2 t. C 1, 1 temperature location k=1 q 112 H 2 -C 1 q 121 q 122 temperature location k=2 C 1 temperature location k=3
Temperature assignment (hot) stage k=1 stage k=2 H 1 -C 1 H 1 TIN 1 t. H 1, 1 F 1 temperature location k=1 CW TOUT 1 H 1 -C 2 temperature location k=2 temperature location k=3
Temperature assignment (cold) stage k=1 stage k=2 H 1 -C 1 TOUT 1 TIN 1 S t. C 1, 3 H 2 -C 1 temperature location k=1 C 1 H 2 -C 1 temperature location k=2 temperature location k=3
Feasibility of temperatures (hot) stage k=1 stage k=2 H 1 -C 1 H 1 TIN 1 t. H 1, 2 TOUT 1 H 1 -C 2 temperature location k=1 t. H 1, 3 temperature location k=2 temperature location k=3
Feasibility of temperatures (cold) stage k=1 stage k=2 H 1 -C 1 TOUT 1 H 2 -C 1 temperature location k=1 t. C 1, 3 t. C 1, 2 t. C 1, 1 TIN 1 C 1 H 2 -C 1 temperature location k=2 temperature location k=3
Utility Load – Hot and Cold Logical Constraints
Approach temperatures stage k=1 H 1 -C 1 H 1 t. H 1, 2 t. H 1, 1 t. C 1, 2 C 1
Synheat Constraints
Synheat Objective Function
Assumptions in the Synheat-model • Isothermal mixing assumed at the end of each stage – hence the only nonlinearity and non-convexity is in the objective function • Number of stages can be freely chosen (heuristis is the minimum of hot and cold streams, – Example: 3 hot, and 5 cold streams • Utilities at the end of each stream • Some structures are cut of
Sequential vs. simultaneous • The submodels in the sequential approach are easier to solve (more robust and less-time consuming) – MILP-step is still NP-hard (nonpolynomial) • The decomposition into the sequential steps can cut of the best solution – If global optimization algorithms are used, simultaneous approaches can find the global optimum for the original problem