Lecture 1 2 Heuristic Approximation Weili Wu DingZhu














































- Slides: 46
Lecture 1 -2 Heuristic & Approximation Weili Wu Ding-Zhu Du University of Texas at Dallas lidong. wu@utdallas. edu
An NSF Program
Algorithms in the Field (Ait. F) • Algorithms in the Field encourages closer collaboration between two groups of researchers: (i) theoretical computer science researchers, who focus on the design and analysis of provably efficient and provably accurate algorithms for various computational models; and (ii) applied researchers including a combination of systems and domain experts
• (very broadly construed – including but not limited to researchers in computer architecture, programming languages and systems, computer networks, cyber-physical systems, cyber-human systems, machine learning, database and data analytics, etc. ) who focus on the particular design constraints of applications and/or computing devices. 4
• Each proposal must have at least one co-PI interested in theoretical computer science and one interested in any of the other areas typically supported by CISE. Proposals are expected to address the dissemination of the algorithmic contributions and resulting applications, tools, languages, compilers, libraries, architectures, systems, data, etc. 5
Performance Ratio
C-Approximation • c-approximation is a polynomial-time approximation satisfying: 1 < approx(input)/opt(input) < c for MIN or c < approx(input)/opt(input) < 1 for MAX
Three Types of Problems Many optimization problems in computational social networks belong to following three types: • Minimum set cover • Maximum coverage • Maximum partition 8
Min Set Cover
Min Set Cover Red + Green 10
Greedy Algorithm 11
Observation 12
Theorem 13
Max Coverage
Max Coverage Red + Green 15
Greedy Algorithm 16
Theorem 17
Lower Bound 18
Exercises 19
References 20
Max Community Partition
Question ? How to find a Community? The definition is ambiguous. So, we can only do model-based detection. 22
Model-Based Detection Community Detection Accurate or not? Formulation (Model) Solve formulated problem 23
Model-Based Physics The Real World Accurate or not? Newton Model Solve physics problem 24
No Satisfied Community Model ! 25
Question ? How to find a Community? A simplest way is • Connection-Based Detection 26
An Example • More connections inside each community. • Less connections between different communities. • There are several ways to understand this property. 27
A Connection-Based Condition (Radicchi et al. 2004) (1) Each community has more connections inside than connections to outside. 28
A Connection-Based Condition Inside red > outside blue + outside green (1) Each community has more connections inside than connections to outside. 29
Max Community Partition Theorem (Lu et al. 2013) 30
A Heuristic
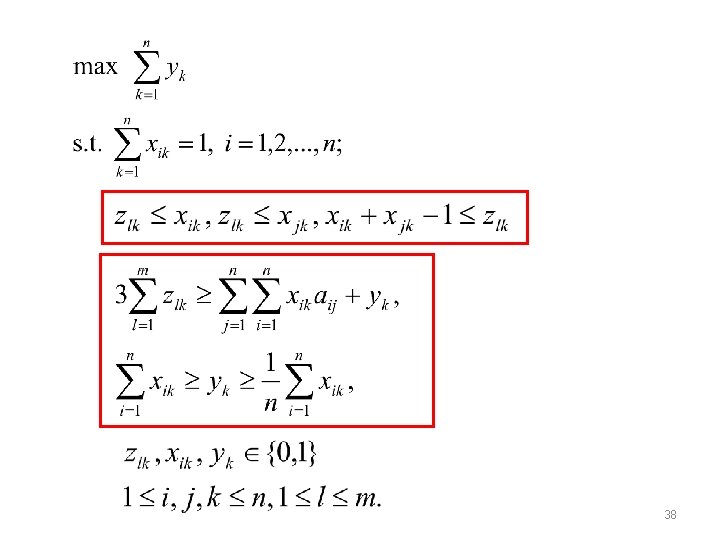
Indicator For example 32
Objective 33
Linear Constraints 34
Linear Constraints 35
Count 3 endpoints 36
37
38
References 1 2 39
Not “Prerequisites”
42
Exercises 1. Given a graph, a subset of vertices is called a vertex cover if every edge has an endpoint in the subset. The minimum vertex cover problem is a special case of the minimum set cover problem. Show that the minimum vertex cover problem has a polynomial-time 2 -approximation. 2. A vertex cover is said to be connected if it induces a connected subgraph. Show that 43
the minimum connected vertex cover problem has a polynomial-time 3 -approximation. 3. Given a graph, a subset of vertices is a dominating set if every vertex is either in it or adjacent to a vertex in it. Show that the minimum dominating set problem has a polynomial-time O(log n)-approximation. 4. A dominating set is connected if it induces a connected subgraph. Show that minimum connected dominating set problem has a polynomial-time O(log n)-approximation 44
Exercises* 5. Given a graph, a subset of vertices is called a vertex feedback set if every cycle contains a vertex in it. Show that the minimum vertex feedback set problem has a polynomial-time 2 -approximation. 45
THANK YOU!