LECCIONES APRENDIDAS DE LOS ESTUDIOS INTERHEART INTERSTROKE Y






















































- Slides: 54
LECCIONES APRENDIDAS DE LOS ESTUDIOS INTERHEART, INTERSTROKE Y PURE PATRICIO LÓPEZ-JARAMILLO MD Ph. D FACP DIRECTOR DE INVESTIGACION Y DE LA CLINICA DE SINDROMEMETABOLICO, PREDIABETES Y DIABETES. FOSCAL DIRECTOR DE INVESTIGACIONES DE LA FACULTAD DE MEDICINA DE LA UNIVERSIDAD DE SANTANDER UDES BUCARAMANGA-COLOMBIA
Over 70% of the global burden of heart attack and stroke is in developing countries CVD Deaths (millions) DEATHS FROM CVD WORLDWIDE 6 5 19 9 1990 2020 KS Reddy. NEJM 2004; 350: 2438
Epidemiological data indicates a continuous relationship between blood pressure level and CAD related mortality
COMPARISON OF THE LA INTERHEART STUDY RISK FACTOR PROFILES WITH THE OVERALL INTERHEART STUDY Lanas, et al. Circulation. 2007; 115: 1067 -1074
ODDS RATIOS OF ACUTE MYOCARDIAL INFARCTION AND CORRESPONDING POPULATION-ATTRIBUTABLE RISKS BY GENDER Lanas, et al. Circulation. 2007; 115: 1067 -1074
EPIDEMIC OF OVERWEIGHT AND OBESITY IN LATIN AMERICA AND THE CARIBBEAN Rueda-Clausen et al. International Journal of Cardiolology. 2008; 125: 111 -112.
LA TRIADA CARDIOMETABOLICA OBESIDAD ABDOMINAL HIPERINSULINISMO/ RESISTENCIA A LA INSULINA INFLAMACION DE BAJO GRADO DIABETES / ENFERMEDAD CARDIOCEREBRO VASCULAR
RAS EXPRESSION IN HUMAN ADIPOSE TISSUE . Karlsson C, et al. J Clin Endocrinol Metab. 1998; 83: 3925 -3929
ANGIOTENSIN II ENHANCES ENDOTHELIAL TNF ΑLPHA PROTEIN PRODUCTION Arenas et al, Am J Physiol. Cell Physiol. 2004 ; 286 : C 779 -C 784
MEAN VALUES OF CONTINUOUS RISK FACTORS FOR HIGH BLOOD PRESSURE BY HYPERTENSION STATUS Risk factor Overall mean% (n=300) Hypertensive mean% (n=138) Nonhypertensives P value mean% (n=162) __________________________________________ Age (years) 59. 8 65. 2 55. 2 <0. 001 BMI (kg/m 2) 28. 6 29. 6 27. 8 0. 002 Waist circunf 103. 2 104. 8 101. 9 0. 008 Fasting glicemia (mg/d. L, mean) 100. 2 107. 0 94. 3 <0. 001 __________________________________________ BMI, body mass index Bautista et al. J Hypertens 2001; 19: 857 -861
CRUDE AND SEX AND AGE ADJUSTED PREVALENCE FOR HYPERTENSION BY CREACTIVE PROTEIN QUARTILES Bautista et al. J Hypertens 2001; 19: 857 -861
TUMOR NECROSIS FACTOR ALPHA AND FLOW MEDIATED VASODILATATION López-Jaramillo et al. Rev Esp Cardiol. 2007; 60: 168 -178
BLOOD PRESSURE AND C REACTIVE PROTEIN IN A HISPANIC PEDIATRIC POPULATION López-Jaramillo et al. Am J Hypertens 2008; 21: 527 -532
PLASMA ASYMMETRIC DIMETHYLARGININE AND C-REACTIVE PROTEIN CONCENTRATIONS Garcia et al. Int J Cardiol 2007; 127: 176 -178
INSULIN RESISTANCE: FOCUS ON SIGNALING PATHWAYS BK NO BK 2 receptor + NO Glucose transport Akt 1 Insulin receptor Insulin + + + IRS-1 + PI 3 -K + - GLUT-4 translocation GLUT-4 biosynthesis GLUT-4 AT 1 receptor Ang II Adapted from Henriksen EJ, Jacob S. J Cell Physiol. 2003; 196: 1719.
GLYCEMIA & CV EVENTS: METAREGRESSION 2. 5 2 1. 5 3 2 -hour glucose Relative Risk 3 1 2. 5 Fasting glucose 2 1. 5 1 10 11 4 6 8 72 108 144 180 198 @ 2 hr G = 7. 8 m. M (140 mg%)… RR=1. 58 (1. 19 -2. 10) 8 9 5 4 6 7 72 90 108 126 144 162 @ Fasting G = 6. 1 m. M (110 mg%)… RR=1. 33 (1. 06 -1. 67) After removal of any DM: p=0. 0006 for 2 h G p=0. 06 for FPG Coutinho M, Gerstein HC, et al. Diabetes Care. 1999; 22: 233 -240.
DYSGLYCEMIA >> NORMOGLYCEMIA IN ACUTE AND STABLE CV DISEASE • Consecutive pts: 2107 in-pts; 2854 out-pt elective CV consults in Europe (71% men; mean age 66) % 100 • OGTT/old DM in 1587 (75%) acute & 1857 (66%) elective pts before discharge or within 2 mo. 80 60 40 Known DM 31% 15% 22% 3% 20 0 Euro Heart Survey Bartnik et al; Eur Ht J 2004; 1880 29% Acute 30% 10% 22% 3% 35% Elective New DM IGT IFG NGT
DISGLICEMIA >> A NORMOGLICEMIA EN PACIENTES CON PRIMER INFARTO • Grupo de estudio: 458 pacientes admitidos con un primer infarto agudo de miocardio en diferentes centros nacionales y 1 centro internacional (27. 2 % mujeres, 72. 8 hombres) % 100 Leyendas 15, 8% 80 17. 7 % 60 11. 3 % 40 15. 1 % 9. 49 % 20 30, 4 % Antedecente DM DM de novo Glicemia Alterada en ayunas e intolerancia OG Intolerancia OG Glicemia alterada en ayunas Glicemia Normal 0 Pacientes IAM Lopez-Jaramillo et al. Journal of Diabetes 2011; 3 (Suppl 1): 73
HYPERINSULINEMIA IS A PREDICTOR OF NEW CARDIOVASCULAR EVENTS Garcia et al. Int J Cardiol. 2011; 145: 85 -90
HYPERINSULINEMIA IS A PREDICTOR OF NEW CARDIOVASCULAR EVENTS Garcia et al. Int J Cardiol. 2011; 145: 85 -90
HYPERINSULINEMIA IS A PREDICTOR OF NEW CARDIOVASCULAR EVENTS Garcia et al. Int J Cardiol. 2011; 145: 85 -90
HYPERINSULINEMIA IS A PREDICTOR OF NEW CARDIOVASCULAR EVENTS Garcia et al. Int J Cardiol. 2011: 145: 85 -90
REACTIVIDAD VASCULAR Anillos de Arteria mamaria interna (2 a 3 mm) Curvas Dosis – Respuesta: • Cloruro Potásico (KCl) • Acetilcolina (ACh) • Fenilefrina (PE) • Nitropusiato Sódico (SNP) • Angiotensina II (AII) Rueda-Clausen et al. Int J Cardiol 2010, 139: 32 -41
REACTIVIDAD VASCULAR Rueda-Clausen et al. Int J Cardiol 2010, 139: 32 -41
PLASMA LEVELS OF LEPTIN AND ADIPONECTIN IN RELATION TO WAIST CIRCUNFERENCE Rueda-Clausen et al. Int J Cardiol 2010, 139: 32 -41
Epigenetic and Epigenomic
Published online: 17 May 2006 http: //www. springerlink. com/content/j 3 tj 16543664/
OBESITY AND METABOLIC SYNDROME ARE A NORMAL BIOLOGICAL RESPONSE TO AN ABNORMAL DEVELOPMENT OF SOCIETY
MECHANISMS POSSIBLY PARTICIPATING IN THE GENESIS OF METABOLIC SYNDROME AND CARDIOVASCULAR MORTALITY IN DEVELOPING COUNTRIES López-Jaramillo et al. Rev Esp Cardiol. 2007; 60: 168 -178
MATERNAL MALNUTRITION AND FETAL PROGRAMMING ASSOCIATED WITH GREATER CV RISK IN ADULT LIFE López-Jaramillo P. Rev Esp Cardiol. 2009; 62: 670 -676
POPULATION URBAN AND RURAL EPIDEMIOLOGY (PURE STUDY)
PURE: Prevalence of HTN by countries within economic regions and by urban vs. rural
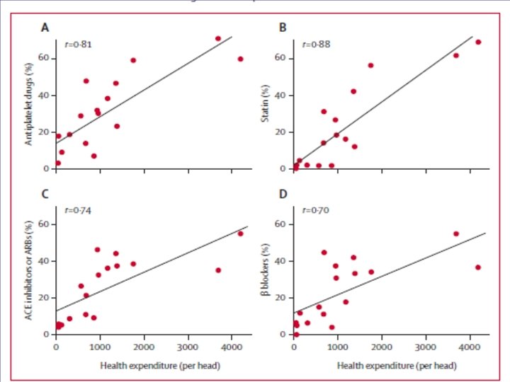
HTN control amongst all PURE participants wi HTN urban vs. rural Country Urban Rural Overall All HIC 21. 9 19. 8 20. 8 All UMIC 17. 8 15. 4 16. 5 All LMIC 16. 3 8. 7 12. 0 All LIC 22. 4 18. 8 20. 5 ALL countries 19. 4 15. 0 17. 1
The Polypill Concept – A Strategy to Reduce CV Risk by More than 80% • For all people with established CVD • For people > 55 years independent of cholesterol and BP levels Wald NJ, Law MR. BMJ 2003; 326: 1419 Statin Thiazide BB ACEI/ARA II Metformin ?
FOSCAL: A VUESTRAS ORDENES investigaciones@foscal. com. co jplopezj@gmail. com GRACIAS