Le decisioni di finanziamento e la struttura finanziaria





















































- Slides: 53
Le decisioni di finanziamento e la struttura finanziaria dell’azienda Prof. Eugenio Pavarani Università di Parma testo di riferimento: M. Dallocchio, Finanza d’Azienda, cap. 7
Fattori di influenza della struttura finanziaria n Caratteristiche del mercato dei capitali n Caratteristiche del fabbisogno (permanente, corrente) e situazione interna dell’azienda (redditività, grado di rischio, possibilità di fornire garanzie, forza contrattuale) n Convenienza economica delle varie forme di finanziamento: costo del capitale di credito e del capitale proprio 2
Fattori di influenza della struttura finanziaria n Fattibilità finanziaria n Elasticità finanziaria, per una protezione contro eventuali andamenti sfavorevoli n Esigenze legate al controllo da parte del gruppo di comando n Elementi connessi alla complessità delle procedure e ai tempi di erogazione di ogni forma di finanziamento 3
Finanziamento: operazione di trasferimento di risorse nel tempo caratterizzata dall’acquisizione di entrate monetarie nette in una prima fase e dal sostenimento di uscite monetarie nette in una fase successiva. n n Figura: Il profilo finanziario di una operazione di finanziamento I flussi sono: monetari, differenziali, al netto delle conseguenze fiscali. Fo F 1 F 2 t 4
Diverse tipologie di capitale di debito n Debiti a struttura perfettamente definita: n Debiti a struttura non perfettamente definita Y a breve termine Y in funzione dell’indice di riferimento commercial paper factoring Y linee stand by obbligazioni a tasso variabili mutui a tassi variabili a medio lungo termine mutuo leasing finanziamenti agevolati Y in funzione dei fabbisogni apertura di credito in c/c 5
Criteri per la valutazione della convenienza economica di un finanziamento n REA = somma Ft(1+r)-t n Il finanziamento conviene se REA > 0 n Il finanziamento conviene se TIM < r Rea 7. 4 Tim r 6
Il costo del capitale Le operazioni a struttura perfettamente definita n 1. Costruire il profilo dei flussi di cassa delle operazioni considerate n 2. Calcolare il Tim n 3. Scegliere confrontando il Tim delle alternative di finanziamento 7
Il Rea il Tim di un finanziamento Rea 10% 8% Tim K 8
Il costo e il rendimento marginali del capitale per un’azienda r, k r 7. 6 k Investimenti complessi 9
Esempio: acquisto di un fabbricato per 650. 000 euro n Alternative di finanziamento: n 1. Mutuo a tasso fisso di 433. 000 euro (2/3 dell’importo) durata: 8 anni garanzie: iscrizione ipoteca (4% del valore) tasso di interesse annuo: 14% rata semestrale: 45. 871, 647 euro spese bancarie: 200 euro n n n 10
11
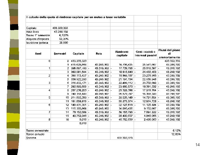
2. Mutuo a tasso variabile n n n Durata: 8 anni Garanzie: iscrizione ipotecaria (4% del valore) Tasso interesse 1° semestre 6, 125% 1° rata semestrale: 43. 248, 102 euro Spese bancarie: 200 euro 12
13
14
3°. Il leasing finanziario n n n Durata: 8 anni Anticipo: 10% del valore del bene (è deducibile 1/8 ogni esercizio) Prezzo di riscatto: 10% 95 canoni mensili di 9. 445, 5 euro (deducibili) Spese di istruttoria: 1. 500 euro (deducibili nel 1° esercizio) Gli ammortamenti non sono deducibili 15
16
n Si sceglie il finanziamento con il Tim inferiore n Nella valutazione della convenienza economica di un finanziamento quale è il criterio preferibile ? n 1. In assenza di vincoli finanziari: REA n 2. In una situazione di capital rationing: RAR 17
Le operazioni a struttura non perfettamente definita n n n n Operazioni di finanziamento il cui costo varia in funzione di un indice di riferimento Il problema principale per la valutazione della convenienza economica di questi finanziamenti è la previsione dei flussi, che dipende dal futuro andamento dei tassi di interesse Per prevedere i tassi di interesse ci si avvale della teoria delle aspettative: “ i tassi futuri attesi sono uguali, in media, ai tassi forward impliciti nella struttura a termine dei tassi di interesse “ (1+r 2)2 = (1+r 1)(1+f 2) r 1 = tasso a pronti per un anno r 2 = tasso a pronti per due anni f 2 = tasso a termine (forward) per l’anno 2 18
Il costo del capitale proprio n Il calcolo del costo del capitale proprio presenta le seguenti difficoltà: l’entità dei flussi di dividendi è difficile da quantificare incerta è anche la loro esistenza e il momento di manifestazione n Il Tim, quando è possibile calcolarlo, dà una configurazione di costoopportunità, non confrontabile con quella di costo monetario propria del capitale di credito. n Esistono diversi approcci per la determinazione del costo del capitale proprio: modelli di crescita dei dividendi modelli rischio-rendimento 19
I modelli di crescita dei dividendi n Ipotizzano la possibilità di eseguire il calcolo del Tim del capitale proprio. n Principale debolezza connessa alla difficile prevedibilità dei dividendi e del loro tasso di crescita, soprattutto in mancanza di una situazione di equilibrio e di un gran numero di società quotate. 20
1. Modello di Gordon n Calcola il costo del capitale ke sulla base dei dividendi distribuiti nell’anno 0 (D 0) e ipotizzando un tasso di crescita costante degli stessi(g). n P 0 = somma D 0 ( 1+g)t / (1+ke) n Se g < Ke, si dimostra che n P 0 = D 1 / (ke-g) n -> Ke = D 1 / P 0 + g n dove D 1 = dividendi del 1° esercizio 21
2. Modelli a due stadi n Periodo iniziale di n anni a tasso di crescita elevato nel quale è noto l’ammontare dei dividendi distribuiti. n Periodo successivo, formato da un numero infinito di periodi, a tasso di crescita costante (gn) n P 0 = somma Dt/(1+Ke)t + Pn/1+Ke)n n Dove Pn = Dn + 1 /( Ke - gn) n Con Pn = valore dell’azione al tempo n 22
I modelli rischio - rendimento n L’utilizzo di questo modelli per la determinazione del costo del capitale proprio si basa sul concetto di costo - opportunità: il rendimento atteso dall’azionista corrisponde al costo del capitale per l’azienda n Ke = rf + sigma n dove Ke è il rendimento atteso per l’azionista rf è il rendimento di una attività priva di rischio sigma è il premio per il rischio n n n 23
Il Capital Asset Pricing Model (CAPM) Il rischio di una attività si divide in n rischio diversificabile (o non sistematico) può essere eliminato diversificato il proprio portafoglio n rischio non diversificabile (o sistematico) non può essere eliminato Il CAPM definisce il valore di una attività in funzione del suo rischio sistematico, misurato dal coefficiente Beta 24
n n Beta indica la sensibilità della variazione del rendimento di una azione alla variazione del rendimento di mercato. Situazione di mercato Rendimento di mercato rendimento di xyz espansiva +20% +30% recessiva -10% -12, 5% Rxyz 30% Beta -10% -12, 5% 20% Rm 25
n In base al CAPM il rendimento atteso è: n Ke = rf beta*(rm-rf) n la maggiore remunerazione per il rischio è quindi funzione di beta n sigma = beta (rm-rf) 26
n Beta = 0 Beta = 1 Beta < 1 Beta > 1 n Beta è influenzato da tre variabili principali n n n titolo privo di rischio titolo rischioso quanto il portafoglio di mercato titolo meno rischioso del portafoglio di mercato titolo più rischioso del portafoglio di mercato il settore di appartenenza dell’azienda il grado di leva operativa il grado di leva finanziaria n n Per le aziende quotate, esistono pubblicazioni periodiche riportano i beta relativi Per le aziende non quotate, occorre fare riferimento ad aziende quotate comparabili, correggendo il beta per tenere conto della diversa struttura finanziaria. 27
2. L’Arbitrage Price Theory (APT) n Ipotizza l’esistenza di molteplici fattori di rischio sistematico Si possono avere tanti beta quanti sono i fattori di rischio sistematico presi in considerazione n Ke = rf + somma betaj (rj-rf) n dove rj-rf betaj k n n n premio al rischio per il fattore j beta relativo al fattore j numero di fattori 28
Il costo dell’autofinanziamento n Autofinanziamento: investimento che l’azienda fa per gli azionisti, i quali rinunciano ad entrate oggi (sotto forma di dividendi) in cambio di entrate future n Calcolo del costo dell’autofinanziamento come costo - opportunità, attraverso i modelli rischio - rendimento n Questa forma di finanziamento conviene solo se il rendimento offerto sull’investimento aziendale è superiore al rendimento che gli azionisti possono ottenere nel mercato. 29
Valore dell’impresa e struttura finanziaria n Quale è la struttura finanziaria che massimizza il valore dell’impresa ? n Premessa: Vc = Vi + Vaad n dove n Vc Vi Vaad valore complessivo creato dall’azienda valore complessivo dell’impresa (diritti negoziabili) valore degli altri aventi diritto (diritti non negoziabili) Va Vd valore per gli azionisti valore del debito Vi = Va + Vd dove 30
Teoria di Modigliani - Miller Ipotesi: mercati finanziari perfetti assenza di costi di transazione possibilità illimitata per chiunque di ottenere credito tasso di interesse unico per società ed individui coincidenza dei tassi di interesse attivi e passivi assenza dei costi legati al fallimento indipendenza della redditività operativa dalla struttura finanziaria 31
VALORE = flussi di cassa / tasso di attualizzazione n 1 a PROPOSIZIONE: in un mondo senza imposte in cui i soli aventi diritto sul valore creato sono azionisti ed obbligazionisti, il valore di una impresa indebitata (levered) e quello di una impresa priva di debito (unlevered) sono uguali. n Quindi due imprese con uguale reddito operativo (uguale flusso di cassa in caso di assenza di sviluppo) hanno, secondo Modigliani Miller, un pari valore, indipendentemente dalla struttura finanziaria. 32
Va 7. 10 Va Vd Vd Vaad Va Vaad 7. 11 Va Vd Vd 33
Esempio n n n Valore dell’impresa U (unlevered) Valore del debito Valore dell’imprese L (levered) Valore del debito tasso di interesse Strategia n acquisto 10% di U n acquisto 10% di L n prestito di 0, 1 Vdl e acquisto 10% di U n Viu = 2. 000 Vdu= 0 Vil = ? Vdl = 1. 000 rd = 5% Costo 0, 1 Viu = 0, 1 Vau 0, 1 Val = 0, 1 (Vil -Vdl) 0, 1 ( Viu - Vdl) Profitti attesi 0, 1 P 0, 1 (P-rd. Vdl) 34
n n n Confrontando la strategia 2 e 3 si vede che i rendimenti attesi sono uguali. Lo saranno anche i costi, quindi Vil = Viu = 2. 000 anche ipotizzando che Vil > Viu, operazioni di arbitraggio riporterabnno rapidamente in equilibrio i due valori Vil Viu 7. 12 D 35
7. 13 Va Va Vd 7. 14 36
2 a PROPOSIZIONE: dal momento che il valore dell’impresa non varia al variare del rapporto di indebitamento, non varia neanche il costo del capitale K 0 n K 0 è la media ponderata del costo del capitale proprio (Ka) e di credito Kd) K 0 = Vd/(Vd+Va)*kd + Va/(Vd+Va)Ka n Ka è funzione crescente del livello di indebitamento n Kal = K 0 Vd/Va ( K 0 + Kd(1 -t)) n 37
Il costo del capitale complessivo rimane costante impresa levered impresa unlevered Ka 10% 7, 5% Kd 5% 5% Ko 7, 5% 38
7. 15 K Ka Ko Kd D 39
1200 Stato 7. 16 800 azionisti n n 1000 Stato 500 obbligazionisti 500 azionisti 7. 17 40
Presenza di imposte sul reddito delle società n n n Vc diverso da Vi una parte del valore creato è ora destinata allo Stato si massimizza il valore quando si minimizza la parte di valore di spettanza dello Stato n La prima proposizione viene modificata: il valore di una impresa aumenta all’aumentare del livello di indebitamento per effetto del risparmio fiscale relativo alla deducibilità degli OF n Vit = Viu + t. Vd 41
Presenza di imposte sul reddito della società impresa unlevered impresa levered RO 150. 000 OF Imposte (40%) RN Vd (OF/5%) Vs(imp/5%) 150. 000 0 (60. 000) 90. 000 0 1. 200. 000 (25. 000) (50. 000) 75. 000 500. 000 1. 000 Vc Vi Va 2. 000 800. 000 2. 000 1. 000 500. 000 42
Vi 7. 18 Vil VA del risparmio fiscale Viu D 43
n La 2 a proposizione si modifica: in presenza di imposte, in costo del capitale diminuisce all’aumentare dell’indebitamento, mentre il rendimento atteso degli azionisti aumenta Ka Ko Impresa U 11, 25% Impresa L 15% 9% 44
K 7. 19 Kal = Ko + Vd/Val * (Ko-Kd) Ka Ko Kd D 45
Valore dei diritti non negoziabili Stato Obbligazionisti Altri aventi diritto Azionisti Valore dei diritti negoaziabili 7. 20 46
I costi del dissesto n Secondo il modello di MM, modificato per tenere conto delle imposte, la struttura finanziaria ottimale è quella che prevede il massimo livello di indebitamento n Conclusione irrealistica, dovuta al fatto che non si tiene conto degli altri soggetti che vantano dei diritti sul valore creato (Vaad) n A fronte dei benefici fiscali sul debito, si ha una maggiore rigidità dell’azienda e un maggiore rischio di fallimento: tutto ciò genera costi aggiuntivi (costi del dissesto) costi diretti (costi legali ed amministrativi) costi indiretti (riduzione delle vendite, …) F F 47
I costi di dissesto n H H H Esiste anche una tipologia di costi del dissesto legata a comportamenti egoistici degli azionisti: progetti di investimento molto rischiosi riduzione degli investimenti tendenza a “mungere” l’impresa 48
Una curiosità ? n n Progetto A Hp pessimistica Hp ottimistica n Progetto B n Hp pessimistica Hp ottimistica n n n Prob. Valore impresa azioni obblig. 0, 5 200 = 400 = 0+ 200 200 0, 5 100 = 480 = 0+ 280 + 100 200 49
7. 21 Vi Vil VA costi del dissesto D* D 50
Le imposte personali n Le decisioni in merito alla struttura finanziaria di una azienda sono influenzate anche dalle imposte personali gravanti sulle varie forme di indebitamento n L’effettiva misura del vantaggio fiscale è pari a Vil = Viu + t’Vd n n n t’ = 1 - (1 -ts)(1 -tpe) / (1 -tpd) dove ts aliquota d’imposta sulle persone giuridiche tpe aliquota d’imposta personale sul reddito azionario tpd aliquota d’imposta personale sul reddito da interessi 51
Finanziamento: criterio di valutazione 52
Struttura finanziaria e valore dell’impresa 53