Le correlazioni tra eventi spazialmente separati e lipotesi




































- Slides: 36
Le correlazioni tra eventi spazialmente separati e l’ipotesi della non esistenza di influenze causali a distanza implicavano per Einstein che i risultati delle misure fossero già determinati dall’istante iniziale in cui i sistemi avevano interagito e che certi parametri mantenevano gli stati correlati anche dopo la separazione. L’analogia con i modelli classici ha indotto diversi autori a credere che la natura probabilistica della teoria quantistica non fosse dovuta all’indeterminismo intrinseco alla realtà ma alla nostra non completa conoscenza delle proprietà dei sistemi individuali e delle variabili dinamiche ad essi associate. Poiché tali variabili non figurano nell’attuale teoria questa, secondo la terminologia di Einstein, deve considerarsi incompleta.
Le teorie che si prefiggono di completare in tal senso il formalismo quantistico sono denominate a variabili nascoste. La teoria di Bohm è una teoria a variabili nascoste.
David Bohm John S. Bell 1951 Bohm: paradosso EPR con lo spin 1952 Bohm: teoria a variabili nascoste non locale 1964 Teorema di Bell
Interferenza da due fenditure secondo la teoria di Bohm
Le onde accompagnano le particelle. Ci sono onde “vuote” che non contengono particelle.
Insieme statistico delle particelle 1:
Insieme statistico delle coppie di particelle Dividendo per il numero totale delle coppie abbiamo le probabilità congiunte: ( Per N elevato )
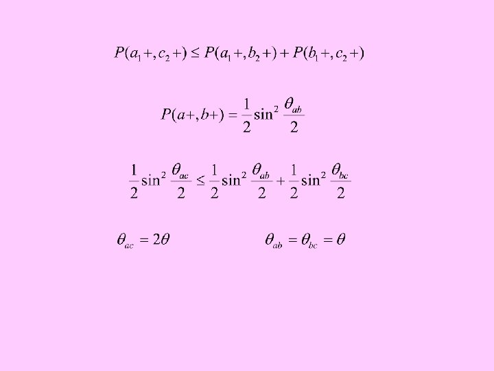
Teorema di Bell: Nessuna teoria che soddisfi l’ipotesi di località e di realismo può riprodurre tutte le predizioni della meccanica quantistica.
Ruotando i polarizzatori è possibile misurare la funzione di correlazione per diversi orientamenti di e
L’esperimento di Aspect con commutatori ottici. Ogni dispositivo commutatore C 1 e C 2 dirige i fotoni verso uno o verso l’altro degli analizzatori. I Polarizzatori sono a singolo canale e hanno diverso orientamento.
Predizioni della teoria quantistica sullo stato entangled GHZ: ( Ricordiamo che )
Alice Bob
Teorema: E’ impossibile assegnare valori alle osservabili quantistiche prima dell’atto di misurazione in maniera indipendente dal contesto sperimentale. Il risultato di un’osservazione dipende non solo dallo stato del sistema, ma anche dalla completa specificazione dell’apparato.
Dunque l’interpretazione statistica di Einstein è incompatibile con il formalismo quantistico: dato un sistema individuale, non è possibile assegnare valori simultaneamente definiti a tutte le sue osservabili in modo indipendente da ciò che viene misurato.