Laplace Transform 1 Relationship Between Laplace Transform Fourier
Laplace Transform 1
Relationship Between Laplace Transform & Fourier Transform 2
Laplace Transform May Converge Even Though Fourier Transform does not. 3
Example 9. 1, Comparing FT & LT 4
Example 9. 1, Comparing FT with LT 5
Example 9. 2 6
ROC for example 9. 1 ROC for example 9. 2 s-plane -a 7
Example 9. 3 s-plane -2 -1 +1 8
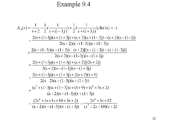
Example 9. 4 9
Example 9. 4 10
Example 9. 4 -1+3 j -2 -1 -3 j Pole-zero plot of X(s) on s-plane. 11
Example 9. 5 -1 +1 +2 12
Poles and Zeros • For X(s) rational (ratio of 2 polynomials), then – X(s) is infinite if its denominator is zero. – X(s) is zero if its numerator is zero. • Poles are values of s when X(s) is infinite. • Zeros are values of s when X(s) is zero. • X(s) should have equal number of poles & zeros. To make them equal use poles or zeros at infinity. 13
14
If X(s)=N(s) then there are only zeros, no poles(i. e. poles at infinity) ROC is the entire s-plane. 15
16
Right-sided signal. ROC is to right of rightmost pole. 17
X(s) having only 2 poles & no zeros (2 zeros at infinity) 3 possiblities of ROC. 1 st Possibility: - ROC to right of rightmost poles. 18
2 nd Possilibility. ROC to left of leftmost pole. Left-sided signal x(t)u(-t) -2 -1 19
3 rd Possibilty. ROC between poles. Two-sided signal. x(t) t -2 Can be treated as 2 signals Left-sided signal for pole=-1. & Right sided signal for pole =-2. ROC is their intersection i. e middle strip -1 20
- Slides: 20