La Transforme de Fourier un outil mathmatique pour

  • Slides: 38
Download presentation
La Transformée de Fourier : un outil mathématique pour la physique Joseph Fourier 1768

La Transformée de Fourier : un outil mathématique pour la physique Joseph Fourier 1768 - 1830

La Transformée de Fourier : un outil mathématique pour la physique Plan Joseph Fourier

La Transformée de Fourier : un outil mathématique pour la physique Plan Joseph Fourier - Introduction, Historique - La fonction « delta » de Dirac - La transformée de Fourier inverse - Application : 1768 - 1830 la propagation d’impulsions lumineuses en fibre optique - Conclusion

Introduction Joseph Fourier Conduction de la chaleur 1768 - 1830 Loi de la conduction

Introduction Joseph Fourier Conduction de la chaleur 1768 - 1830 Loi de la conduction équation de diffusion

 Sinus cardinal zero à l’

Sinus cardinal zero à l’

 Sinus cardinal zero à l’

Sinus cardinal zero à l’

augmentation de L diminution de L

augmentation de L diminution de L

Fonction de Dirac : 1902 - 1984

Fonction de Dirac : 1902 - 1984

Fonction de Dirac : 1902 - 1984

Fonction de Dirac : 1902 - 1984

Fonction de Dirac : 1902 - 1984

Fonction de Dirac : 1902 - 1984

Fonction de Dirac : 1902 - 1984

Fonction de Dirac : 1902 - 1984

Fonction de Dirac : 1902 - 1984

Fonction de Dirac : 1902 - 1984

Résumé :

Résumé :

La Transformée de Fourier exemple :

La Transformée de Fourier exemple :

La Transformée de Fourier exemple :

La Transformée de Fourier exemple :

La Transformée de Fourier inverse :

La Transformée de Fourier inverse :

La Transformée de Fourier inverse :

La Transformée de Fourier inverse :

La transformée de Fourier inverse : récapitulatif

La transformée de Fourier inverse : récapitulatif

Résumé : Transformée de Fourier inverse

Résumé : Transformée de Fourier inverse

La Transformée de Fourier est une bijection dans l’espace des fonctions

La Transformée de Fourier est une bijection dans l’espace des fonctions

Application : la propagation d’impulsions lumineuses en fibre optique Laser : onde monochromatique Laser

Application : la propagation d’impulsions lumineuses en fibre optique Laser : onde monochromatique Laser

Application : la propagation d’impulsions lumineuses en fibre optique Laser : onde monochromatique 0

Application : la propagation d’impulsions lumineuses en fibre optique Laser : onde monochromatique 0 1 0 Laser modulateur TF temporelle : spectre

Application : la propagation d’impulsions lumineuses en fibre optique Laser : onde monochromatique 0

Application : la propagation d’impulsions lumineuses en fibre optique Laser : onde monochromatique 0 1 0 Laser modulateur TF temporelle : spectre

Application : la propagation d’impulsions lumineuses en fibre optique Laser : onde monochromatique 0

Application : la propagation d’impulsions lumineuses en fibre optique Laser : onde monochromatique 0 1 0 Laser modulateur TF temporelle : spectre

Application : la propagation d’impulsions lumineuses en fibre optique Laser : onde monochromatique 0

Application : la propagation d’impulsions lumineuses en fibre optique Laser : onde monochromatique 0 1 0 Laser modulateur spectre Somme d’ondes monochromatiques

Paquet d’ondes : 1 -1/3 1/5 -1/7

Paquet d’ondes : 1 -1/3 1/5 -1/7

Paquet d’ondes : Laser modulateur Propagation monochromatique :

Paquet d’ondes : Laser modulateur Propagation monochromatique :

Paquet d’ondes : Propagation monochromatique :

Paquet d’ondes : Propagation monochromatique :

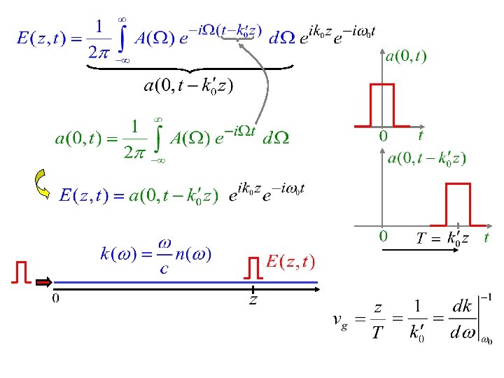
Paquet d’ondes : approximation d’ordre 1:

Paquet d’ondes : approximation d’ordre 1:

Conclusion Joseph Fourier La Transformée de Fourier est un outil mathématique puissant naturellement adapté

Conclusion Joseph Fourier La Transformée de Fourier est un outil mathématique puissant naturellement adapté à la description de la nature Laser modulateur - Optique et électromagnétisme - Thermodynamique - Dynamique des fluides - Mécanique quantique - Théorie de l’information - etc… 1768 - 1830