Komrka nerwowa neuron Dendryty Oligodendrocyt Jdro neuronu Ciao














![Potencjał błonowy - równanie Goldmana P – przepuszczalność (permeability) [m/s] Równanie Goldmana-Hodgkina-Katza (GHK) Uwagi: Potencjał błonowy - równanie Goldmana P – przepuszczalność (permeability) [m/s] Równanie Goldmana-Hodgkina-Katza (GHK) Uwagi:](https://slidetodoc.com/presentation_image_h/ca11a10084ec9693b943108d74a07dae/image-15.jpg)


























- Slides: 41
Komórka nerwowa - neuron Dendryty Oligodendrocyt Jądro neuronu Ciało komórki Przewężenie Ranviera Otoczka mielinowa Akson Synapsa Zakończenia aksonu
Komórka nerwowa - neuron Neurony jednobiegunowe Neuron dwubiegunowy Średnica aksonu od 4 (0, 004 mm) do 100 mikronów (. 1 mm) Średnica włosa 0, 02 mm do 0, 08 mm. Neurony wielobiegunowe Długość aksonu od 1 mm do ponad 1 m U ludzi: Ok. 1011 neuronów w mózgu Każdy neuron ok. 104 połączeń Średnia długość aksonu w korze ok. 0. 06 m. Całkowita długość aksonów A = 6*109 m Odległość Ziemia – Księżyc L = 4* 108 m A/L = 15
Komórka nerwowa - terminologia Neurony posiadające długi akson, który tworzy połączenie z innym rejonem układu nerwowego nazywają się neuronami projekcyjnymi, neuronami głównymi i komórkami przekaźnikowymi. Neurony wewnętrzne lub interneurony znajdują się w całości wewnątrz jednego obszaru układu nerwowego. Neurony wewnętrzne mogą nie posiadać aksonu.
Dendryty - terminologia Neurony posiadają zazwyczaj jeden akson oraz wiele dendrytów. Wyróżniamy dendryty wierzchołkowe (apical) i podstawne (basal).
Druga składowa układu nerwowego komórki gleju
Komórki glejowe są drugim głównym składnikiem układu nerwowego. W niektórych obszarach są 10 razy liczniejsze niż neurony. Najważniejszą rolą komórek glejowych jest kontrolowanie otoczenia neuronów. Są one zaangażowane w wiele różnych funkcji
Rodzaje i funkcje gleju • Astrocyty: największe i najliczniejsze. Ich funkcja to podtrzymywanie fizyczne i odżywianie neuronów, regulacja zawartości przestrzeni zewnątrzkomórkowej - buforowanie jonów, regulacja neuroprzekaźnictwa (pochłanianie neurotransmitera i zapobieganie dyfuzji poza szczelinę synaptyczną), bariera krew – mózg (? ). • Microglia: składniki układu odpornościowego, aktywne podczas stanów zapalnych, usuwają ‘zmarłe’ neurony. • Oligodendrocyty: wytwarzają mielinę w neuronach centralnego układu nerwowego. • Komórki satelitarne (Satellite Cells): podtrzymywanie fizyczne neuronów w obwodowym układzie nerwowym • Komórki Schwanna: wytwarzają mielinę w neuronach obwodowego układu nerwowego. Stwardnienie rozsiane (łac. sclerosis multiplex, SM) - demielinizacja włókien nerwowych w obrębie mózgu i rdzenia kręgowego
Potencjał błonowy – różnica potencjałów w poprzek błony komórkowej Potencjał błonowy bierze się z rozdzielenia dodatnich i ujemnych ładunków przez błonę komórkową. W neuronach na zewnątrz występuje przewaga jonów dodatnich, a wewnątrz – ujemnych. Potencjał błonowy jest podstawową własnością wszystkich żywych komórek
Techniki pomiarowe mikropiptety Mikropipety służą do pomiarów potencjału zewnątrzkomórkowego, wewnątrzkomórkowego, patch, stymulacji elektrycznej, dostarczania substancji do przestrzeni zewnątrz/ wewnątrzkomórkowej Pomiary wewnątrzkomórkowe in vivo. Grupa prof. Amzici, Universite Laval, Quebec, Kanada
Techniki pomiarowe – patch clamp (E. Neher, B. Sakmann, Nobel 1991) Pipeta do patch calmp. Zakończenie pipety może być większe (średnica~3 mm) niż mikropipety do pomiarów wewnątrzkomórkowych (średnica ~1 mm) Mikropipety do patch clamp są przygotowywane jak zwykłe mikropipety lecz ich zakończenia są gładkie i przyklejają się do błony zamiast ją przekłuwać. Patch clamp umożliwia pomiar z pojedynczych kanałów jonowych (indside-out) oraz potencjału błonowego Układ pomiarowy patch clamp
Techniki pomiarowe – patch clamp (E. Neher, B. Sakmann, Nobel 1991) Pomiar potencjału błonowego (whole cell recording) komórki hipokampa metodą patch calmp. Pipeta jest zaznaczona kolorem niebieskim.
Siły chemiczne i elektryczne R – stała gazowa T - temperatura F – stała Faradaya V – różnica potencjałów z - walencyjność
Potencjał Nernsta Stan równowagi: Równanie Nernsta Walter Hermann Nernst (ur. 25 czerwca 1864 w Wąbrzeźnie, zm. 18 listopada 1941 w Zibelle), laureat Nagrody Nobla z chemii w 1920 r. V - Potencjał Nernsta, potencjał równowagi, potencjał dyfuzji
Potencjał Nernsta
Potencjał błonowy - równanie Goldmana P – przepuszczalność (permeability) [m/s] Równanie Goldmana-Hodgkina-Katza (GHK) Uwagi: - Cl- ma ładunek ujemny i dlatego stosunek stężeń jest odwrócony. - Ponieważ [K+]out = [Cl-]in oraz [K+]in = [Cl-]out i PCl << PK, to pominięcie Cl- znacząco nie zmieni wyniku. Dla PNa = 0. 04*PK, zaniedbując Cl-: Vm = -60 m. V
Obwód zastępczy błony komórkowej neuronu. Potencjał równowagowy jest reprezentowany przez baterię o odpowiedniej polaryzacji i napięciu odpowiednim dla danego jonu. Bateria jest połączona szeregowo z opornością (R) odpowiadającą przepuszczalności błony. Zazwyczaj, zamiast oporności podaje się przewodnictwo G = 1/R, związane z przepuszczalnością (P) i stężeniami jonów ([K]) następująco: Dodatkowo, podwójna warstwa lipidowa tworząca błonę może gromadzić ładunki i zachowuje się jak kondensator o pojemności Cm.
Potencjał czynnościowy polega na krótkotrwałej depolaryzacji błony komórkowej. Wczesne doświadczenia (K. C. Cole i H. J. Curtis, 1939) pokazały, że błona komórkowa staje się spolaryzowana dodatnio (ok. +50 m. V) podczas maksimum potencjału czynnościowego. Gdyby powodował go jedynie chwilowy wzrost przepuszczalności dla wszystkich jonów, błona osiągnęła by 0 m. V, lecz nie więcej. Obiektem do badań potencjału czynnościowego był akson Kalmara Atlantyckiego Kalmar Atlantycki Loligo pealei
Potencjał czynnościowy – impuls sodowy Zależność potencjału czynnościowego od stężenia sodu. A i B: Maksimum potencjału czynnościowego maleje wraz maleniem stężenia Na w płynie zewnątrzkomórkowym. Silna zależność wartości maksimum od stężenia Na wskazuje na duża przepuszczalność błony dla tych jonów w trakcie impulsu. Alan Hodgkin i Bernard Katz odkryli, że amplituda potencjału czynnościowego zależy od koncentracji Na na zewnątrz komórki. Postawili hipotezę, że chwilowa zmiana przepuszczalności i wpływ jonów Na do wnętrza komórki powoduje potencjał czynnościowy. Potwierdzeniem tej hipotezy była obserwacja, że maksimum potencjału czynnościowego wynosi +55 m. V, co jest bliskie wartości potencjału równowagi dla sodu. Ich eksperymenty wskazały również, że zanik potencjału czynnościowego może być związany ze wzrostem przepuszczalności dla jonów K i ich wypływem z komórki.
Potencjał czynnościowy – wszystko albo nic! wzrost g. Na depolaryzacja błony napływ Na+ ‘Wybuchowa’ natura impulsu jest związana z kanałami sodowymi o przepuszczalności zależnej od napięcia i sprzężeniem zwrotnym dodatnim z depolaryzacją błony.
Skąd się bierze próg? Depolaryzacja podprogowa jest kompensowana pasywnym wypływem jonów potasu i nie wywołuje potencjału czynnościowego. Jeśli wypływ jonów potasu nie może zrównoważyć wpływu jonów sodu, błona osiąga próg na generację impulsu i generowany jest potencjał czynnościowy.
Okresy refrakcji Po wystąpieniu potencjału czynnościowego występuje okres refrakcji. W fazie refrakcji absolutnej komórka nie może wygenerować kolejnego impulsu bez względu na pobudzenie. W fazie refrakcji względnej, komórka może wygenerować impuls ale wymaga to silniejszego pobudzenia niż w stanie spoczynku.
Voltage clamp Technika voltage clamp była opracowana przez Kenneth’a Cole’a w 1949 r. Alan Hodgkin i Andrew Huxley wykorzystał ją w serii eksperymentów (1952) nad mechanizmem generacji potencjału czynnościowego. Voltage clamp pozwala mierzyć wpływ zmian potencjału błonowego na przewodnictwa jonowe. Voltage clamp działa na zasadzie ujemnego sprzężenia zwrotnego. Potencjał błonowy jest mierzony przez wzmacniacz podłączony do elektrod zewnątrz i wewnątrzkomórkowej. Jest on przekazywany do wzmacniacza (feedback amplifier). Drugie wejście do wzmacniacza stanowi potencjał z generatora ustalany przez eksperymentatora (command potential). Wzmacniacz oblicza różnicę napięć i przekazuje sygnał na elektrodę biegnącą wewnątrz komórki. Prąd potrzebny do utrzymania napięcia na zadanym poziomie jest miarą prądu błonowego płynącego przez kanały jonowe.
Eksperyment Hodgkina i Huxleya - video
Eksperyment Hodgkina i Huxleya - wyniki Mała depolaryzacja wywołuje prąd kondensatora Ic = C d. V/dt oraz leak Il. Większa depolaryzacja wywołuje większy prąd kondensatora Ic oraz Il oraz dodatkowo prąd dokomórkowy a następnie odkomórkowy. Depolaryzacja w obecności tetrodoxyny (TTX) blokującej kanały Na a następnie w obecności tetraethyloammonium (TEA) blokującej kanał K pozwala zobaczyć ‘czysty’ prąd IK i INa, po odjęciu Ic oraz Il. • Fugu (puffer fish) specjał sushi zawierający TTX • Szkolenie na mistrza fugu trwa 3 lata, test zdaje ok. 30%. • Mimo wszystko, w Japonii, 5 -10 osób rocznie umiera w wyniku spożycia fugu
Eksperyment Hodgkina i Huxleya - wyniki Prawo Ohma Znając IK, INa, VK, VNa, oraz V można obliczyć g. K i g. Na. IK, INa można wyliczyć z pomiarów voltage clamp, VK, VNa- stałe, V – ustala eksperymentator.
Andrew Huxley, Alan Hodgkin (Nobel 1963)
HH model - bramki Pomiary voltage clamp dla różnych wartości V pozwoliły HH postawić hipotezę, że kanał Na posiada bramkę aktywacyjną i bramkę inaktywacyjną. Obie muszą być otwarte by kanał mógł przewodzić jony. Bramka aktywacyjna jest zamknięta gdy błona znajduje się poniżej potencjału spoczynkowego i otwiera się szybko przy depolaryzacji. Bramka inaktywacyjna jest otwarta przy potencjale spoczynkowym i wolno zamyka się w wyniku depolaryzacji. Kanał K posiada tylko bramkę aktywacyjną otwierającą się wolno w wyniku depolaryzacji. Zachowanie pojedynczych kanałów może być rejestrowane za pomocą patch clamp. W zapisach widać szybkie otwieranie i zamykanie pojedynczych kanałów. Ich suma daje gładki przebieg wartości prądu
Model bramki (gate model – Hodgkin i Huxley (1952)) Zamknięty 1 -y a Otwarty y b Zakładamy kinetykę reakcji pierwszego rzędu: W stanie ustalonym: Stąd: Podstawiając do równania: y - prawdopodobieństwo, że bramka jest w stanie otwartym, 1 -y – że w stanie zamkniętym, a, b – stałe szybkości.
Model bramki (gate model – Hodgkin i Huxley (1952)) Całkując dostajemy: stan ustalony stała czasowa Zależność stałych czasowych i prawdopodobieństwa w stanie ustalonym od napięcia dla kanałów napięciowozależnych aktywowanych depolaryzacja (lub inaktywowanych hiperpolaryzacją).
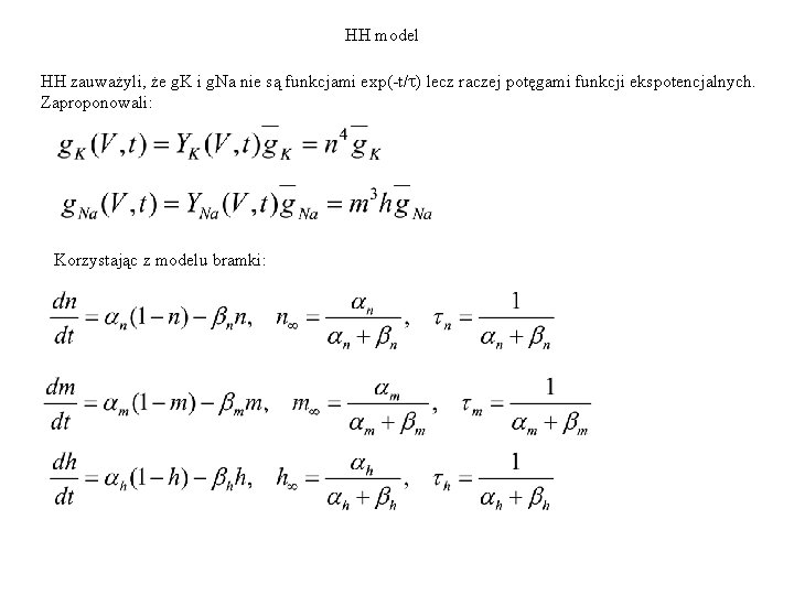
HH model HH zauważyli, że g. K i g. Na nie są funkcjami exp(-t/t) lecz raczej potęgami funkcji ekspotencjalnych. Zaproponowali: Korzystając z modelu bramki:
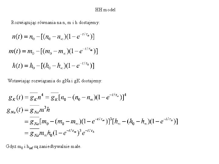
HH model Rozwiązując równania na n, m i h dostajemy: Wstawiając rozwiązania do g. Na i g. K dostajemy: Gdyż m 0 i hinf są zaniedbywalnie małe.
HH model Z przebiegów g. K i g. Na HH wyznaczyli: A następnie obliczyli:
HH model Po dopasowaniu am an ah bm bn bh oraz numerycznym rozwiązaniu równań HH, otrzymano doskonalą zgodność z doświadczeniem. Model HH jest wciąż uznawany za największy sukces w ilościowym modelowaniu mózgu a nawet i w całych naukach biologicznych. Teoria HH opisuje nie tylko generację potencjałów czynnościowych ale również ich propagacje. Model HH ma tez pewne ograniczenia. Dobrze opisuje makroskopowe prądy Na lecz jego przewidywania na poziomie pojedynczych kanałów nie zgadzają się z doświadczeniem (np. bramki m nie są od siebie niezależne i nie koniecznie są takie same). W równaniach HH można zaobserwować zachowania chaotyczne
Generacja potencjału czynnościowego - podsumowanie
Charakterystyka typowego kanału
Prądy w komórkach nerwowych
Kanały Ca+ Dwa rodzaje kanałów wapniowych rejestrowanych metodą patch clamp. A. T-type (transient lub LVA – low voltage activation channel). B. L-Type (long lasting lub HVA – high voltage activated channel).
Kanały K+ Istnieje wielka różnorodność kanałów K+. W aktywnej komórce, kanały K+ zapewniają powrót do stanu równowagi. Potencjał równowagowy dla K+ (-81 m. V) jest bliski potencjałowi spoczynkowemu komórki (-70 m. V). Po otwarciu kanałów Na+ lub Ca+, następuje aktywacja kanałów K+ mająca na celu przywrócenie potencjału spoczynkowego IK(DR)+ IK(A) IK(Ca) Delayed rectifier IK(DR) Transient IK(A) Delay current IK(D) Calcium-Dependent IK(Ca); IC Afterhyperpolarization IAHP Anomalous rectifier IAR; IQ; Ih M current IM Leak IK, leak IK(DR)+IK(A)+IK(D)+IK(Ca) + IAHP+IM
Kanały jonowe - podsumowanie
Rozszerzony model błony neuronalnej
Cztery rodzaje neuronów kory? W tradycyjnym ujęciu istniały cztery rodzaje zachowania neuronów kory mózgowej i przypisywano im różne rodzaje komórek: RS – regular spiking, FRB – fast rhythmic bursting, FS – fast spiking, IB – intrinsically bursting. Zapisy wewnątrzkomórkowe in vivo pokazały, że komórki mogą zmieniać wzorce odpalania w zależności od wartości potencjału błonowego. a) zapisy wewnątrzkomórkowe u czuwających i śpiących kotów b) zapis wewnątrzkomórkowy z neuronu korowego u kota w stanie anestezji. Podawanie prądu dokomórkowego (b 1 - ramka) wywołuje zmianę wzorca odpalania. Mircea Steriade, Neocortical Cell Classes Are Flexible Entities. NATURE REVIEWS | NEUROSCIENCE, VOL. 5, pp. 121 -134, 2004.