KOMBINATORIAL PERTEMUAN 10 oleh Lisna Zahrotun S T
KOMBINATORIAL PERTEMUAN 10 oleh : Lisna Zahrotun, S. T Lisna. zahrotun@tif. uad. ac. id Teknik Informatika UAD
TUJUAN : MHS MEMAHAMI KONSEP KOMBINASI DAN PERMUTASI SERTA PENERAPANNYA Pokok Bahasan � kombinasi � permutasi � kombinasi dengan pengulangan � koefisien binomial
KOMBINASI � Bentuk khusus dari permutasi adalah kombinasi. Jika pada permutasi urutan kemunculan diperhitungkan, maka pada kombinasi, urutan kemunculan diabaikan. � Misalkan ada 2 buah bola yang warnanya sama 3 buah kotak. Setiap kotak hanya boleh berisi paling banyak 1 bola.
� C(n, r) sering dibaca "n diambil r", artinya r objek diambil dari n buah objek. � Definisi 3. Kombinasi r elemen dari n elemen, atau C(n, r), adalah jumlah pemilihan yang tidak terurut r elemen yang diambil dari n buah elemen.
INTERPRETASI KOMBINASI
PERMUTASI DAN KOMBINASI BENTUK UMUM
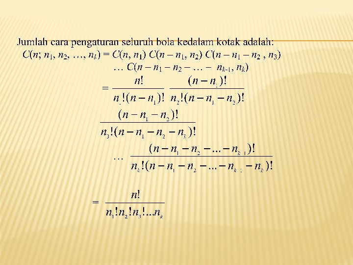
KOMBINASI DENGAN PENGULANGAN
DAFTAR PUSTAKA Doer Allan, Kenneth Levasseur, Applied Discrete Structures for Computer Science, Science Research Associates, Inc. Toronti, 1985 � Kolman, Bernard, Robert C. Busby, Sharon Ross, Discrete Mathematical Structures, Prentice Hall, 1987 � Munir, Rinaldi, Matematika Diskrit, Edisi kedua, Penerbit Informatika Bandung, 2001 � Rosen, Kenneth H. , Discreete Mathematics and Its Application, The Random House Birkhauser Mathematics Series New. York, 1987 �
WEB SITE � http: //syssci. atu. edu/math/faculty/finan/main 2. pdf � http: //www 1. cs. columbia. edu/~zeph/3203 s 04 /lectures. html � http: //www. informatika. org/~rinaldi/Matdis/ma tdis. htm
- Slides: 23