King Saud University Women Students Medical Studies Science

  • Slides: 67
Download presentation
King Saud University Women Students Medical Studies & Science Sections College of Science Dr.

King Saud University Women Students Medical Studies & Science Sections College of Science Dr. Lamiaa Diab & Dr. Mona EL-Wakeel Department of Statistics and Operation Research Lectures of Stat_324

CHAPTER 1 PROBABILITY

CHAPTER 1 PROBABILITY

Definitions: 1. 1 Sample Space: Is the set of all possible outcomes of a

Definitions: 1. 1 Sample Space: Is the set of all possible outcomes of a statistical experiment, which is denoted by the symbol S, which is called the sure event. Each outcome in a sample space is called an element or a member or a sample point.

EX (1): Consider the experiment of tossing a die. If we are interested in

EX (1): Consider the experiment of tossing a die. If we are interested in the number that shows on the top face, the sample space would be: S= {1, 2, 3, 4, 5, 6} If we are interested only in whether the number is even or odd, the sample space is simply: S= {even, odd}

EX (2): The sample space of tossing a coin 3 times: S= {HHH, HHT,

EX (2): The sample space of tossing a coin 3 times: S= {HHH, HHT, THH, HTT, TTH, THT, TTT}

EX (3): S= {X|X+2=0} = {-2}

EX (3): S= {X|X+2=0} = {-2}

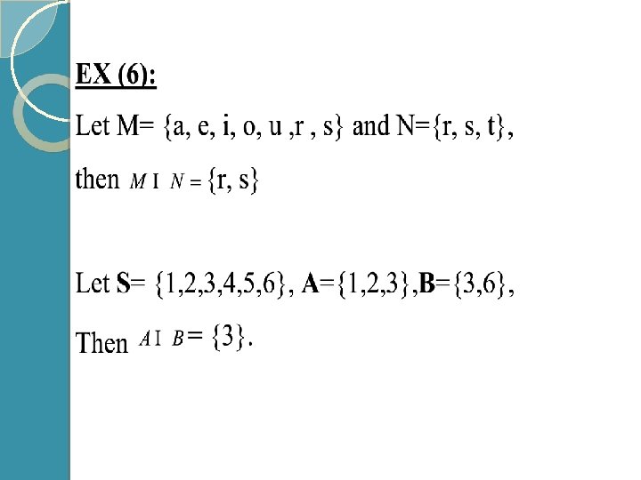
1. 2 Events: An event A is a subset of a sample space, that

1. 2 Events: An event A is a subset of a sample space, that is. For instance, when a die is tossed, then the sample space is {1, 2, 3, 4, 5, 6}. If the event A is concerned with the elements that divisible by 3 such that A={3, 6}, then.

EX (4): The set which contains no elements at all is called then null

EX (4): The set which contains no elements at all is called then null hypothesis denoted by which is called the impossible event. For instance B= {X|X is an even factor of 7}, then B= Φ= { } Notice: S, S S