Kinetic Theory 1 Particle Distribution Function 2 Density
Kinetic Theory 1
Particle Distribution Function 2
Density Function ns Number density, mass density, charge density 3
The Boltzmann Equation: time variation of a distribution function 4
Total Derivative in Phase Space 5
Homework Problem 3. 6, 3. 7, 3. 8 6
Examples of Distribution Functions 7
Maxwellian Distribution Functions 8
One-dimensional Maxwellian, cont’d 9
Thermal speed 10
Equilibrium Distribution charge x voltage = energy 11
Velocity Moments 12
Bulk flow velocity 13
Pressure tensor 14
Scalar pressure 15
Heat Flux 16
Continuity equation: 0 th moment of B-equation 17
18
19
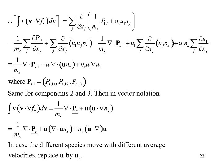
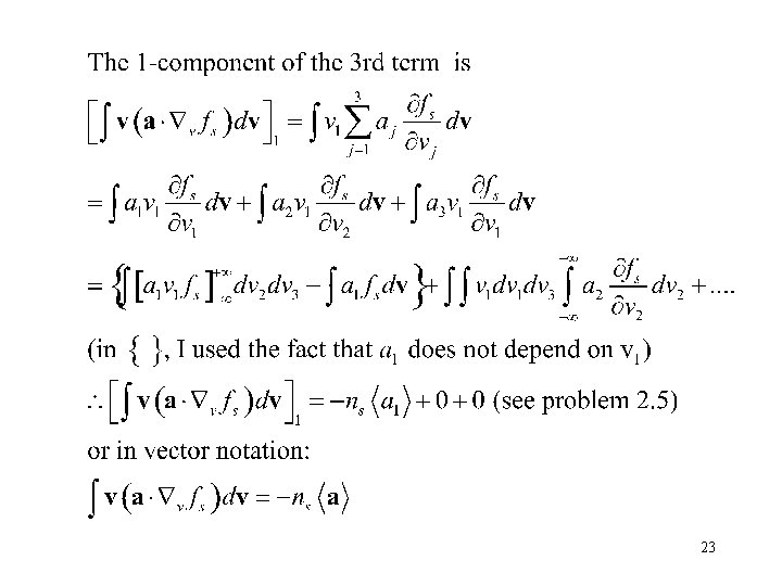
Momentum Equation: 1 st moment of B-equation 20
21
22
23
The momentum equation 24
Pressure Gradient Force 25
Pressure as Thermal Energy Density 26
Charge and Current Densities 27
Moments Measurements in Space Physics • Particle detector measures electric current produced by the charged particles • The electric field current, count-rate, is converted to number of density flux according to calibration • The flux can be converted to distribution function • The detector can select the energy range with energy resolution, as well as type of the particle species • Each detector has a finite field angle which determines the spatial resolution • The detector(s) scan over directions • Fluxes from all energy channels and all looking directions can be added together. • Moment factor can be added in the integration process to obtain moments, which are used as macroscopic quantities, such as density, velocity, temperature, (temperature) anisotropy • Satellite charge is a major problem in deriving correct distribution function • In the existence of multiple populations, “moments” may mean different things. Distribution functions have to be examined in this case. 28
- Slides: 28