Kap 3 Likevekt Statisk likevekt Grafisk Analytisk Mekanikk





























- Slides: 29
Kap. 3 - Likevekt • Statisk likevekt – Grafisk – Analytisk
Mekanikk - s. 95 – 109 Konstruksjoner i likevekt - analytisk analyse • Likevekt - resultantkraften er null • Likevektsligninger Alternativt: 1) Tre momentligninger
Når kreftene på et legeme er i balanse ( Fx = 0 og Fy = 0 ), vil det ikke forskyves. 10 N G=25 N 10 N 25 N
Når momentene på et legeme er balanserte ( M = 0) , vil det ikke rotere. 150 N 1, 5 m 1 m A 250 N 100 N
• Utsnitt • - Vi tar et utsnitt og ser på kreftene som virker på utsnittet. • - Et hvilketsomhelst utsnitt må være i likevekt.
• Eksempler på utsnitt Utsnitt 3 (trinse) Utsnitt 2 (tau) 200 N Utsnitt 1 (bøtte)
Utsnitt 1 (bøtta) F 1 200 N Fy = 0 F 1 = 200 N - 200 N = 0
Utsnitt 2 (tauet) F 2 Fy = 0 F 2 F 1 = 200 N - 200 N = 0 F 2 = 200 N (Strekkraften i tauet er 200 N)
• Trinser og tau (eller kabler, lenker) • - Strekkraften i tauet er like stor på hver side av trinsen. Vi forutsetter at trinser er fullstendig fri til å rotere.
Utsnitt 3 (trinsa) F 3 200 N Fy = 0 F 3 = 400 N F 2 = 200 N - 200 N = 0
• Likevektsligninger F 1 F 2 FAx y FAy x FB
• Likevektsligninger F 2 y F 1 x b FAx F 2 p F 1 c d F 1 y F 2 x a FAy FB y x - FAx + F 1 x + F 2 x = 0 FAy + FB - F 1 y + F 2 y = 0 F 1 x · b + F 1 y · c + F 2 x · d – F 2 y · a - FB · a = 0
• Laster på konstruksjoner • Jevnt fordelt last y x q - k. N/m Resultant av fordelt last = q L - angriper midt på bjelken
• Eksempel: Finn kraften i bjelken og kablene som må tåle den viste belastningen B Utsnitt 2 Bj el ke (2 ) ) 1 ( l e Kab 15 o o 45 C Kabel (3) A G=50 k. N Utsnitt 1
Bruk utsnitt 1 for å finne kraften i kabel (3) F 3 Kabel (3) G=50 k. N Fy= 0 F 3 - 50 k. N = 0 F 3= 50 k. N
Tegn utsnitt 2 (ved punkt B) -anta retningen til de ukjente kreftene. Hvis den beregnede kraften er positiv, er din antagelse riktig. Får du et negativt svar, betyr det at kraften peker i motsatt retning. B F 1 45 o F 2 60 o y x 50 k. N
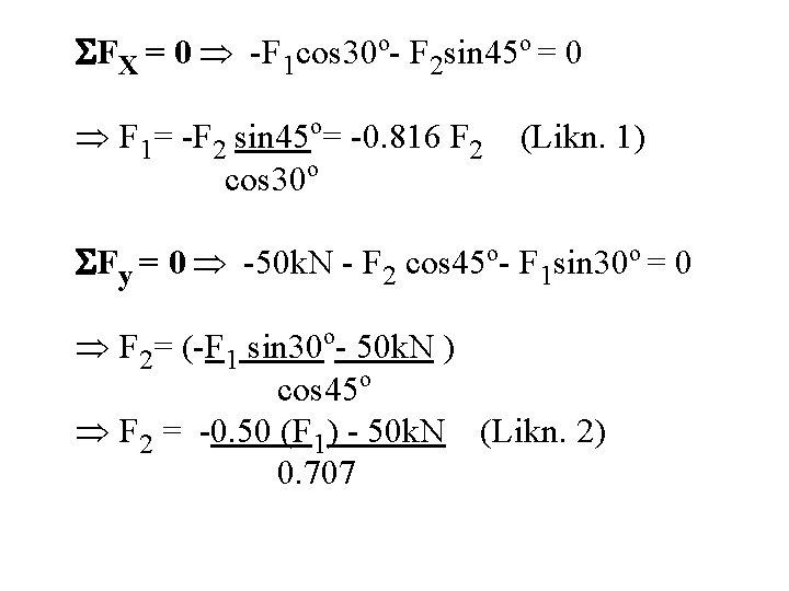
F 1 x = F 1 cos 30 o F 2 x = F 2 sin 45 o F 1 y = F 1 sin 30 F 2 y = F 2 cos 45 o F 2 x F 1 x B F 1 y F 1 F 2 60 o o 45 o F 2 y 50 k. N y x
FX = 0 -F 1 cos 30 o- F 2 sin 45 o = 0 F 1= -F 2 sin 45 o= -0. 816 F 2 cos 30 o (Likn. 1) Fy = 0 -50 k. N - F 2 cos 45 o- F 1 sin 30 o = 0 F 2= (-F 1 sin 30 o- 50 k. N ) cos 45 o F 2 = -0. 50 (F 1) - 50 k. N (Likn. 2) 0. 707
(2 likninger og 2 ukjente) F 2 = -0. 50 (F 1) -50 k. N 0. 707 F 2 = -0. 50 (-0. 816 F 2) -50 k. N 0. 707 F 2 = 0. 408 F 2 - 50 k. N 0. 707
F 2 = 0. 577 F 2 - 70. 7 k. N 0. 423 F 2 = -70. 7 k. N F 2 = 167. 3 k. N (trykk) F 1 = -0. 816 F 2 = -0. 816 (-167. 3 k. N) F 1 = 136. 6 k. N (strekk)
Oversiktlig presentasjon av svarene (kreves ikke): ) k k e r t s ( N k B 6. 6 3 50 k. N (strekk) 16 C (tr 7. 3 yk k k) N 1 A G=50 k. N
Oppsummering av metoden: 1. Tegn utsnitt (eller se på hele konstr. ) 2. FX = 0 3. FY = 0 4. M = 0 (var ikke nødv. i dette eks. ) 5. Løs likningene; finn de ukjente kreftene
Parallelle krefter i likevekt - Når ikke alle kreftene virker gjennom samme punkt, må vi også regne på moment-likevekt. - Typisk eksempel: Skal finne reaksjonskreftene (AY & BY) på en “fritt opplagt” bjelke: A B
A Metode for å beregne Ay og By : 1. MA= 0 eller MB= 0 ) 2. FY= 0 3. Fx= 0 ( Ax = 0) 4. MB= 0 (som kontroll) (Rekkefølgen kan byttes på. ) B
• Talleksempel: Beregn reaksjonskreftene 1 k. N 4 A 2 k. N 3 k. N 5 6 22 7 B
Ser på hele konstr. under ett (Ikke hensiktsmessig å regne på et utsnitt. ) 1 k. N 4 2 k. N 3 k. N 5 6 7 AX A AY 22 B BY
1) MA= 0 -1 (4) - 2 (4+5) - 3 (4+5+6) + BY (22) = 0 BY (22) = 4 + 18 + 45 BY = 67 = 3, 05 k. N 22
2) FY = 0 -1 - 2 - 3 + AY + BY =0 AY + BY = 6 k. N AY = 6 k. N - BY AY = 6 k. N -3, 05 k. N = 2, 95 k. N 3) Fx = 0 AX = 0
4)Kontroll: MB= 0 3 (7) + 2 (6+7) + 1 (5+6+7) - AY (22) = 0 21 + 26 + 18 = AY (22) AY = 21+26+18 = 65 = 2, 95 k. N 22 22