Jung Michael E Im GYoon J Convergent total

  • Slides: 63
Download presentation
Jung, Michael E. ; Im, G-Yoon J. Convergent total synthesis of the racemic HIF-1

Jung, Michael E. ; Im, G-Yoon J. Convergent total synthesis of the racemic HIF-1 inhibitor laurenditerpenol. Tetrahedron Letters (2008), 49(33), 4962 -4964.

Luche Reduction Ce. Cl 3 promotes the 1, 2 reduction of a, b-unsaturated ketones,

Luche Reduction Ce. Cl 3 promotes the 1, 2 reduction of a, b-unsaturated ketones, over the conjugate (1, 4) reduction. Link

DIBAL = Diisobutylaluminum Hydride Link

DIBAL = Diisobutylaluminum Hydride Link

Piv. Cl = pivaloyl chloride = t-Bu-COCl TBS-Cl = tert-Butyldimethylsilyl Chloride DIBAL = Diisobutylaluminum

Piv. Cl = pivaloyl chloride = t-Bu-COCl TBS-Cl = tert-Butyldimethylsilyl Chloride DIBAL = Diisobutylaluminum Hydride TPAP = Tetrapropylammonium Perruthenate NMO = N-Methylmorpholine-N-oxide

Ley, Steven V. ; Norman, Joanne; Griffith, William P. ; Marsden, Stephen P. Tetrapropylammonium

Ley, Steven V. ; Norman, Joanne; Griffith, William P. ; Marsden, Stephen P. Tetrapropylammonium perruthenate, Pr 4 N+Ru. O 4 -, TPAP: a catalytic oxidant for organic synthesis. Synthesis (1994), (7), 639 -66.

Li. HMDS = Lithium Hexamethyldisilazide = Li. N(Si. Me 3)2

Li. HMDS = Lithium Hexamethyldisilazide = Li. N(Si. Me 3)2

Julia Olefination Link

Julia Olefination Link

Diimide Reductions

Diimide Reductions

Boukouvalas, John; Wang, Jian-Xin. Structure Revision and Synthesis of a Novel Labdane Diterpenoid from

Boukouvalas, John; Wang, Jian-Xin. Structure Revision and Synthesis of a Novel Labdane Diterpenoid from Zingiber ottensii. Organic Letters (2008), 10(16), 3397 -3399.

Weinreb Amide

Weinreb Amide

Weinreb Amide General

Weinreb Amide General

LAB = Lithium amidotrihydroborate = Li. H 2 NBH 3

LAB = Lithium amidotrihydroborate = Li. H 2 NBH 3

TIPS = Triisopropylsilyl PCC = Pyridinium Chlorochromate

TIPS = Triisopropylsilyl PCC = Pyridinium Chlorochromate

TFEF = 2, 2, 2 -trifluoroethyl formate = HCO 2 CH 2 CF 3

TFEF = 2, 2, 2 -trifluoroethyl formate = HCO 2 CH 2 CF 3

Donohoe, Timothy J. ; Thomas, Rhian E. ; Cheeseman, Matthew D. ; Rigby, Caroline

Donohoe, Timothy J. ; Thomas, Rhian E. ; Cheeseman, Matthew D. ; Rigby, Caroline L. ; Bhalay, Gurdip; Linney, Ian D. Flexible Strategy for the Synthesis of Pyrrolizidine Alkaloids. Organic Letters (2008), 10(16), 3615 -3618.

Li. TMP = Lithium tetramethylpiperidide DBB = Di-tert-butylbiphenyl Boc = tert-butyloxycarbonyl = t-Bu. O-CO

Li. TMP = Lithium tetramethylpiperidide DBB = Di-tert-butylbiphenyl Boc = tert-butyloxycarbonyl = t-Bu. O-CO

Birch Reduction

Birch Reduction

Mechanism of the Birch Reduction

Mechanism of the Birch Reduction

However, the original Birch reduction conditions have some drawbacks, one of which is the

However, the original Birch reduction conditions have some drawbacks, one of which is the use of liquid ammonia as solvent. The use of other electron donating reagents can permit the use of THF as solvent.

Red-Al is less oxygen sensitive and more soluble than Li. Al. H 4.

Red-Al is less oxygen sensitive and more soluble than Li. Al. H 4.

Link

Link

TMO = trimethylamine-N-oxide p. TSA = p-toluenesulfonic acid

TMO = trimethylamine-N-oxide p. TSA = p-toluenesulfonic acid

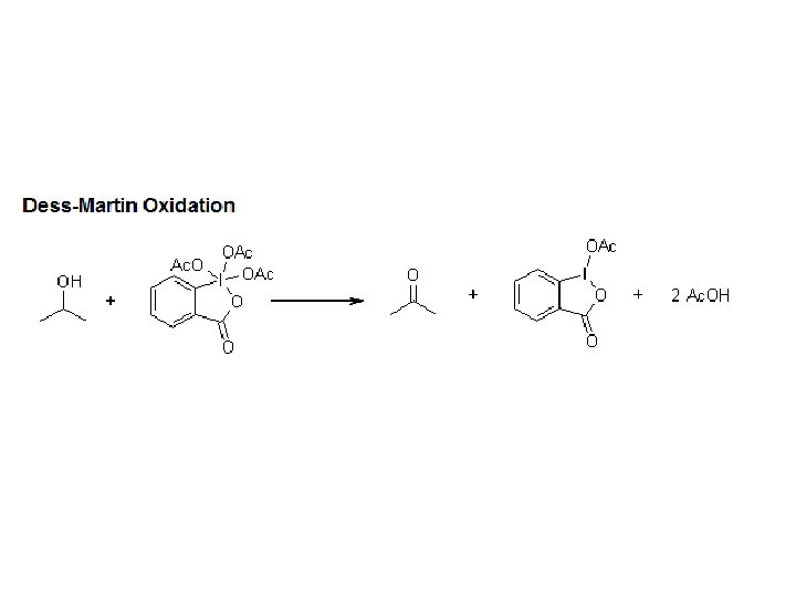
DMP = Dess-Martin Periodinane

DMP = Dess-Martin Periodinane

Li. BH 4 is a somewhat stronger reducing agent than Na. BH 4 …

Li. BH 4 is a somewhat stronger reducing agent than Na. BH 4 … But still safer than Li. Al. H 4

Horner-Emmons-Wadsworth Reaction

Horner-Emmons-Wadsworth Reaction

Mechanism of the HEW Reaction

Mechanism of the HEW Reaction

Corey-Bakshi-Shibata Reduction

Corey-Bakshi-Shibata Reduction