Irisan Kerucut dan Koordinat Kutub I Irisan Kerucut
Irisan Kerucut dan Koordinat Kutub I Irisan Kerucut (kurva-kurva) • Lingkaran : bidang yang tegak lurus kepada sumbu kerucut. • Elips : bidang yang memiliki sudut tertentu terhadap sumbu kerucut. • Parabola : bidang yang sejajar dengan sisi kerucut. • Hiperbola : bidang yang sejajar dengan sumbu kerucut.
Definisi: Himpunan titik-titik P dimana rasio antara jarak |PF| dari fokus dengan jarak |PL| dari garis l merupakan sebuah konstanta e positif. e = eksentrisitas disebut irisan kerucut Parabola mempunyai satu titik puncak sedangkan elips dan hiperbola mempunyai dua titik puncak.
Ø Parabola (e = 1) Definisi : himpunan titik-titik P yang berjarak sama dari garis l dan fokus F, maka : sumbu koordinat pada sumbu x dan fokus pada (p, 0) dan direktris (garis l ) pada persamaan x=-p maka berdsarkan rumus jarak maka :
Persamaan standar: dimana p adalah jarak dari fokus ke titik puncak. Parabola yang lain :
Contoh soal: 1. Tentukan fokus dan direktris (garis tetap) dari parabola yang mempunyai persamaan Peny: F(p, 0) maka fokus di (3, 0) dan direktriks (l ) x=-p maka x=-3 2. Tentukan koordinat fokus dan persamaan direktris pada parabola dibawah ini:
Peny: Parabolanya vertikal dan terbuka ke bawah pada F(0, -4) dan persamaan direktrisnya y=4. 3. Tentukan persamaan parabola yang verteksnya (titik puncak) di titik asal melalui (-2, 4) dan terbuka ke kiri. Peny: Titik puncaknya (0, 0), terbuka ke kiri dan melalui (-2, 4) maka:
Maka persamaan parabolanya: 4. Tentukan persamaan garis singgung dan garis normal dari parabola dibawah ini Peny: Titik singgung: pada (1, -4)
Maka persamaan garis singgungnya: Garis normal merupakan garis yang tegak lurus pada garis singgung, syaratnya:
Ø Elips ( 0 < e < 1 ) Apabila |PF|= e |PL| dimana 0 < e < 1 maka akan membentuk elips. Fokusnya F(c, 0), direktrisnya x=k dan verteksnya A’ (-a, 0) dan A (a, 0) maka :
Dari persamaan sebelumnya didapat nilai c dan k : Dari gambar diatas dengan syarat |PF|= e |PL| maka:
Persamaan standar elips: maka Pada elips syarat a > b
Contoh soal: 1. Sketsalah grafik eksentrisitasnya. Peny: Berdasarkan pers dan tentukan fokus dan maka a = 6 dan b =2 maka dari per fokusnya (±c, 0) =
Bentuk grafik dari persamaan diatas: 2. Tentukan fokus dan eksentrisitas dari persamaan berikut: Peny: dimana a=5 dan b =4 dan c=3 maka : fokusnya(0, ± 3)
Ø Hiperbola (e > 1 ) Seperti yang terlihat pada gambar diatas dimana e > 1 maka: supaya e 2 - 1 bernilai positif maka
maka persamaan hiperbola horizontal menjadi: dimana c=ae maka c 2=a 2+b 2 persamaan disamping untuk hiperbola horizontal. Sedangkan hiperbola vertikal adalah: verteksnya (0, ±a) fokusnya (0, ±c) Dari gambar diatas diagonalnya merupakan asimtotnya :
Contoh soal: 1. Sketsalah grafik dan tunjukkan asimtot-asimtotnya, bagaimana persamaan asimtotnya dan berapa fokusnya dari persamaan berikut: Peny: a =3 dan b=4 dimana a kaki horizontal dan b kaki vertikal Asimtot dan Fokusnya
Fokusnya (±c, 0) F (± 5, 0) 2. Tentukan fokus dari persamaan berikut: dari pers diatas kurvanya merupakan hiperbola vertikal dimana a =3 dan b =2 maka : Fokusnya (0, ± 3, 61)
Bentuk grafik dari hiperbola vertikal adalah: 3. Jarak maksimum bumi dari matahari 94, 56 juta mil dan jarak minimumnya 91, 45 juta mil. Bagaimana eksentrisitas dari orbitnya dan bagaimana diametermayor dan minornya.
Peny: Sesuai gambar diatas maka: _ Maka
Diameter mayor dan minornya dalam juta mil adalah: Mayor = 2 a = 2 (93, 01) =186, 02 Minor =2 b dimana a 2 = b 2 + c 2 maka = 2 Ø Translasi Sumbu Definisi: kedudukan dimana sumbu mayor tidak berada di salah satu sumbu koordinat dan pusatnya tidak berada di titik asal. ex:
Diskusi: 1. Tentukan koordinat fokus dan persamaan direktris dan gambar sketsanya: dan 2. Tentukan persamaan standar dari info berikut dan asumsikan verteksnya berada di titik asal. • Direktrisnya adalah x= 3 • Fokusnya adalah 3. Sketsa grafik dan tentukan verteks, fokus dan asimtot apabila hiperbola: dan
Dari pers diatas grafiknya: Secara umum bentuk grafiknya: Penggunaan sumbu-sumbu baru tidak mengubah bentuk atau ukuran dari sebuah kurva.
Dari gambar diatas : (x, y) = koordinat lama (u, v) = koordinat baru (h, k) = titik asal yang baru Hubungan dari koordinat yang lama terhadap koordinat yang baru: Contoh soal: 1. Tentukan koordinat baru dari P (-6, 5) setelah translasi sumbu -sumbu ke titik asal baru di (2, -4) Peeny:
Titik asal baru (2, -4) ; maka P (-6, 5) u=x–h v=y–k = -6 -2 = 5 – (-4) u = -8 v= 9 Koordinat yang baru (-8, 9) 2. Diketehui persamaan Tentukan persamaan dari grafiknya setelah proses translasi dengan titik asal baru (-5, 1). Peny: maka didapat :
Sesuai persamaan diatas : Persamaan Elips Ø Melengkapi kuadrat bertujuan menghilangkan suku-suku berderajat satu dalam persamaan :
Contoh: 1. Buatlah sebuah translasi yang akan menghilangkan suku berderajat satu. dan gambar grafiknya. Peny: Translasi: dan
Kurva berbentuk elips horizontal. 2. Namailah irisan kerucut yang ditunjukkan oleh persaman berikut: Peny: Kurvanya adalah parabola yang terbuka ke kanan.
Maka gambar grafiknya: 3. Tulislah persamaan sebuah hiperbola dengan fokus di (1, 1) dan (1, 11) dan verteks-verteksnya di (1, 3) dan (1, 9). Peny: Verteksnya (1, 3) dan (1, 9) maka titik sumbunya (1, 6) Pertengahan dari keduanya. maka a= 3 dan c=5 maka
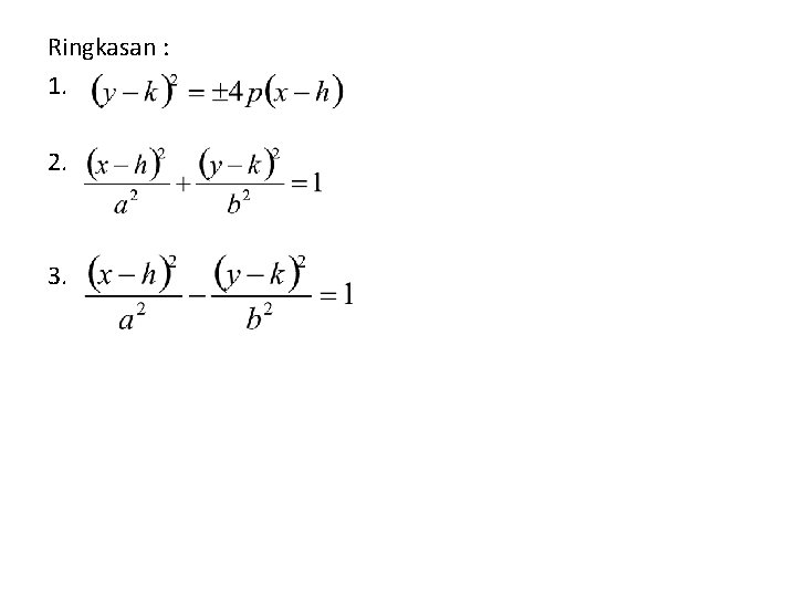
Ringkasan : 1. 2. 3.
1. 2. 3. 4. Tugas: Tentukan persamaan garis singgung dan garis normal kemudian sketsalah parabola, garis singgung dan garis normal dari pers berikut: dan Tentukan persamaan dari irisan kerucut dan sketsa grafiknya: a) Elips dengan fokus di (6, 0) dan eksentrisnya b) Hiperbola dengan fokus di (5, 0) dan verteks (4, 0) Namailh irisan kerucut yang dipresentasikan oleh persamaan berikut: dan Sketsa grafik dari persamaan-persamaan berikut: dan
- Slides: 30