Introduction to Power Electronics Relationship of Power Electronics

































- Slides: 33
Introduction to Power Electronics
Relationship of Power Electronics
INTRODUCTION TO POWER ELECTRONICS ØPower Electronics is a field which combines Power (electric power), Electronics and Control systems. ØPower engineering deals with the static and rotating power equipment for the generation, transmission and distribution of electric power. ØElectronics deals with the study of solid state semiconductor power devices and circuits for Power conversion to meet the desired control objectives (to control the output voltage and output power). ØControl deals with the static & dynamic characteristics of closed loop systems. ØPower electronics may be defined as the subject of applications of solid state power semiconductor devices (Thyristors) for the control and conversion of electric power. ØPower electronics deals with the study and design of Thyristorised power controllers for variety of application like Heat control, Light/Illumination control, Motor control – AC/DC motor drives used in industries, High voltage power supplies, Vehicle propulsion systems, High voltage direct current (HVDC) transmission.
Definition of Power Electronics • Power electronics is the application of solidstate electronics for the control and conversion of electric power. • Power electronics relates to the control and flow of electrical energy.
Definition of Power Electronics • To convert, i. e to process and control the flow of electric power by supplying voltages and currents in a form that is optimally suited for user loads.
Power electronic interfaces • Power electronic converters provide the necessary adaptation functions to integrate all different microgrid components into a common system.
Interdisciplinary nature of Power Electronics
POWER ELECTRONIC APPLICATIONS Ø COMMERCIAL APPLICATIONS: Heating Systems Ventilating, Air Conditioners, Central Refrigeration, Lighting, Computers and Office equipments, Uninterruptible Power Supplies (UPS), Elevators, and Emergency Lamps. Ø DOMESTIC APPLICATIONS Cooking Equipments, Lighting, Heating, Air Conditioners, Refrigerators & Freezers, Personal Computers, Entertainment Equipments, UPS. Ø INDUSTRIAL APPLICATIONS Pumps, compressors, blowers and fans. Machine tools, arc furnaces, induction furnaces, lighting control circuits, industrial lasers, induction heating, welding equipments. Ø AEROSPACE APPLICATIONS Space shuttle power supply systems, satellite power systems, aircraft power systems. Ø TELECOMMUNICATIONS Battery chargers, power supplies (DC and UPS), mobile cell phone battery chargers. Ø TRANSPORTATION Traction control of electric vehicles, battery chargers for electric vehicles, electric locomotives, street cars, trolley buses, automobile electronics including engine controls. Ø UTILITY SYSTEMS High voltage DC transmission (HVDC), static VAR compensation (SVC), Alternative energy sources (wind, photovoltaic), fuel cells, energy storage systems, induced draft fans and boiler feed water pumps.
Applications of Power Devices
POWER ELECTRONIC SWITCHING DEVICES 1. Uncontrolled turn on and off (Power Diode) 2. Controlled turn on uncontrolled turn off (Thyristors) 3. Controlled turn on and off characteristic (Power Transistor, BJT, MOSFET, GTO, IGBT) 4. Continuous gate signal requirement (BJT, MOSFET, IGBT) 5. Pulse gate requirement (SCR(Silicon-Controlled Rectifier) , GTO) 6. Bidirectional current capability (TRIAC) 7. Undirectionalcurrent capability (SCR, GTO, BJT, MOSFET, IGBT)
POWER ELECTRONIC SWITCHING DEVICES
Dept. Projects in Power Electronics 1 Applications of Power Electronics on Multilevel VSC for AC Drive 2 TCA 785 Driver for DC Drive 3 Power amplifier design using Doherty approach 4 Voltage source convertor for AC motor 5 VSC controller for satcom
POWER SEMICONDUCTOR DEVICES The power semiconductor devices can be classified into three categories according to their controllability 1. Uncontrolled turn-on & off devices (eg. diode) 2. Controlled turn-on & Uncontrolled turn off devices (eg. SCR) 3. Controlled turn-on & off devices (eg. BJT’s, MOSFET, GTO, IGBT, SIT’S, MCT’s) Ø Ø Ø The different power semiconductor devices which are commonly used in different applications are as follows : Power Diodes. Power Transistors (BJT’s). Power MOSFETS. IGBT’s. (Insulated Gate Bilateral Transistors) Thyristors
Thyristors • The term thyristor is used to indicate a family of semiconductor devices used for power control. • A thyristor is a four layer, semiconductor of p-n-p-n structure with three p-n junctions. It has three terminals, the anode, cathode and the gate. • The word thyristor is coined from thyratron and transistor. It was invented in the year 1957 at Bell Labs. The Different types of Thyristors are - Silicon Controlled Rectifier (SCR). - TRIAC - DIAC - Gate Turn Off Thyristor (GTO)
SILICON CONTROLLED RECTIFIER (SCR) Fig. : Symbol The SCR is a four layer three terminal device with junctions as shown. The construction of SCR shows that the gate terminal is kept nearer the cathode. The approximate thickness of each layer and doping densities are as indicated in the figure. In terms of their lateral dimensions Thyristors are the largest semiconductor devices made. A complete silicon wafer as large as ten centimeter in diameter may be used to make a single high power thyristor. Symbol Fig. Structure of generic thyristor
Construction of an SCR
Device Operation Simplified model of a thyristor
V-I Characteristics
Effects of gate current
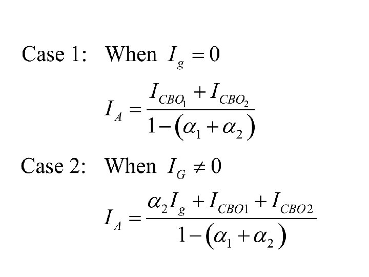
Two Transistor Model of SCR
Two Transistor Model of SCR
Gate Characteristics of SCR
Dynamic Characteristics of SCR • Turn ON Characteristics • Turn OFF Characteristics
Turn ON Characteristics
Turn OFF Characteristics