Introduction Ideal Gas Equation State of Matter Compressible
Introduction Ideal Gas Equation
State of Matter Compressible since molecules are far apart. Takes the shape and volume of container. Forms homogeneous mixtures with other gases. Pressure is a gas property which tells us about the amount of gas present.
The three states of matter are solid, liquid and gaseous states. One substance can exist in one state at room temperature but the other two states are available at different temperatures. For example water exists as liquefied at room temperature but exists as gas and solid above 100⁰ C and below 0⁰ C. Solid <-----> liquid <-------> Gas There are some cases in which there will be direct transformation of solid into gaseous state or vice versa without obtaining liquid state. This is called sublimation. Solid < ------ > gas example : camphor, naphthalene
DEVIATION OF REAL GASES FROM IDEAL BEHAVIOUR : The gas which obeys gas laws and general gas equation at all ranges of temperature and pressures is called ideal or perfect gas. The gas which does not obey gas laws and general gas equation but tends towards ideal behaviour at low pressures and high temperatures is known as a real gas. All gases in nature are real gases and hence they deviate to some extent from ideal behaviour.
DEVIATION FROM BOYLE’S LAW OR EFFECT OF PRESSURE ON IDEAL BEHAVIOUR : The scientist by name Amagat studied experimentally the effect of pressure on the volume of a gas at constant temperature. A graph was drawn between PV and P values for the given quantity of gas at constant temperature from which the magnitude and nature of the deviation of the gas from ideal behaviour can be known. The curves thus obtained by plotting the graph are called ISOTHERMS.
If the gas has ideal behaviour, the PV-P curve should be straight line parallel to pressure axis. But we cannot get such a straight line for any gas. So in nature, no gas is an ideal gas and every gas deviated from ideal behaviour to some extent.
In the case of H₂ and He, The PV-P curve rises from the beginning itself. So they can show positive (+ve) deviation from the beginning. But in the case of N₂ and CO₂, as P value increases the PV value decreases first and then increases. So, there gaes can show –ve deviation at low pressures and +ve deviation at high pressures. From the above curves, it is known that at high pressures all the gases deviate to a greater extent from ideal behaviour; because at high pressures the PV values of gases are very much larger than the ideal PV values.
COMPRESSION FACTOR OR COMPRESSIBILITY FACTOR (Z) : A convenient method to know the deviation of gases from ideal behaviour is to plot ‘Z’(Z=PV/n. RT) against pressure at constant temperature. For an ideal gas, PV=n. RT and thus PV/n. RT=Z=1 at any pressure. But this s not the case for real gases. As they deviate from ideal behaviour, the value of Z also deviates from unity. The deviation of Z from unity ideal behaviour. The following are the characteristics shown by these gases 1. At low pressure all the curves approach ideal value. 2. At moderate pressures, there is negative deviation. H₂ and He can show –ve deviation at lower temperatures. 3. At high pressures, there is +ve deviation and the gases do not even obey BOYLE’S law.
DEVIATION FROM CHARLES LAW (DEVIATION OF REAL GASES FROM IDEAL BEHAVIOUR AT LOW TEMPERATURES) : From the curves obtained from the graph drawn between PV and P values, it is understood that the real gases deviate from ideal behaviour at low temperatures because at low temperature, the PV-P curve is in the from of a curvature. As the temperature increase this curvature becomes almost horizontal and at high temperature the curvature us almost a straight line like an ideal deviate from ideal behaviour to a greater extent. From the above two graphs, it is clear that the real gases deviate from ideal behaviour to a greater extent at high pressures and low temperatures. REASONS FOR THE DEVIATION OF REAL GASES FROM IDEAL BEHAVIOUR : The real gases obey gas laws or ideal gas equation at low pressures and high temperatures. They show a marked departure from ideal behaviour at high pressures and low temperatures. This is due to the two assumptions made by kinetic theory,
1. The volume occupied by the gaseous molecules is negligible when compared to the total volume of the gas. 2. There are no attractions and repulsions among the gaseous molecules. At low pressures and high temperatures the volume occupied by the gas is very large as the molecules of the gas widely separated and the free space between the molecules is large in comparison with the actual volume of the gaseous molecules. Hence the above two assumptions become correct and under these conditions , the real gases behave almost like an ideal gas. At high pressures and low temperatures, the volume occupied by the gas is very low because the gas molecules come closer to each other and there will be forces of attraction between them. Hence the above two assumptions become wrong and thus under these conditions all the real gases deviate from ideal behaviour to a greater extent.
DERIVATION : 1. CORRECTION IN VOLUME : In deriving the ideal gas equation for 1 mole PV=RT, let us assume a gas taken in a container and the whole volume of the container is available for the free movement some volume , it is understood that the volume available for the free movement of molecules is not ‘V’ but it is less than ‘V’. So , Vanderwaal substituted (V-b) in the place of V in ideal gas equation. Here ‘b’ is called Vanderwaal’s constant or excluded volume. So after making correction in volume the ideal gas equation becomes P(V-b)=RT 2. CORRECTION IN PRESSURE : Let us consider a molecule ‘A’ present in the middle of the container. It will be attracted by other molecules from all the sides uniformly and hence the net force of attraction on that molecule becomes zero. But if we consider another molecule ‘B’ which is present just at the wall of the container, it will be attracted by the molecules from backside or it will experience an inward pull. Thus it will strike the container with a less force than it would have done if there were not attractive forces. As a result the observed pressure is less than the ideal pressure.
CRITICAL PHENOMENON : When a liquid is heated in a closed vessel, certain amount of liquid will evaporate to form its vapour. The vapour pressure of the liquid increases as the temperature increases continuously. After sometime at a certain temperature, the distinction between liquid and vapour disappears. This state is called CRITICAL STATE. When a gas is subjected to adequate pressure at low temperature, the gas molecules come closed together and the attractive forces become large and the gas converts into liquid. Thus the critical phenomenon is reversible. ANDREWS ISOTHERMS OF CO₂ : The curves which explain the relationship between volume and pressure at constant temperature are called ‘Isotherms’. Andrew studied the effect of pressure on volume of CO 2 at different temperatures. He measured the volume of CO₂ at different pressures at different constant temperatures. He then plotted volume against pressure at different constant temperatures and thus obtained a number of isotherms.
ISOTHERM AT 13. 1⁰C : This isotherm at lowest temperature (13. 1⁰) shows that at low pressures CO 2 exists as a gas at point ‘ A’. As pressure increases, the volume of gas decreases along AB. At point ‘B’, liquefaction of gas begins and hence the volume of the gas decreases suddenly at the same pressure because the volume of liquid is much less than that of a gas. The sudden decrease in volume of the gas at same pressure is indicated by the horizontal part BC of the isotherm. At point ‘C’ liquefaction of the gas is complete and increase of pressure has less effect on the volume because liquids are very little compressible.
Hence a steep line CD is obtained. Thus CO₂ exists as a gas along AB, partially as a gas and partially as a liquid along BC and entirely as a liquid along CD. 2) Isotherm at 21. 5⁰C : - The isotherm EFGH at 21. 5⁰C is similar like isotherm ABCD. But the difference is, (a) Liquefaction of gas starts at high pressures (F) (b) Horizontal portion ‘FG’ where liquefaction takes place is slightly short. 3). ISOTHERM at 31. 1⁰C : - When temperature raises above 21. 5⁰C the horizontal portion becomes shorter and at 31. 1⁰C it is reduced just to a point ‘X’. Above 31. 1⁰C the isotherm is continuous. This show that above 31. 1⁰C, liquefaction of the gas does not take place at all whatever pressure is applied. Thus the point ‘X’ where there is number distinction between liquid and vapour states of a gas is called ‘CRITICAL POINT’ and the gas at this point is said to be in ‘ CRITICAL STATE’.
The temperature and pressure corresponding to this point are called CRITICAL TEMPERATURE AND CRITICAL PRESSURE. If we join the ends of horizontal parts of the isotherms and the critical point X, a boundary is obtained. Within this boundary, liquid and gas co-exist and outside the boundary either gas (or) liquid exists. This implies that within the boundary, the gas and liquid are in equilibrium with each other and it is possible to distinguish the two phases. But outside the boundary there will be only on phase (either liquid (or) vapour) and hence it is not possible to draw a sharp distinction between liquid and vapour. This is termed as ‘ CONTINUITY of STATES’. CRITICAL CONSTANTS : -Critical temperature (Tc), critical pressure (Pc) and critical volume (Vc) are known as critical constants. Tc: - The temperature above which a gas cannot be liquefied whatever pressure may be applied is called critical temperature. Eg: Tc of Co 2 is 31. 1⁰C Pc : - The pressure required to liquefy a gas at its critical temperature is called critical pressure. Eg: Pc of CO₂ is 72. 9 atm
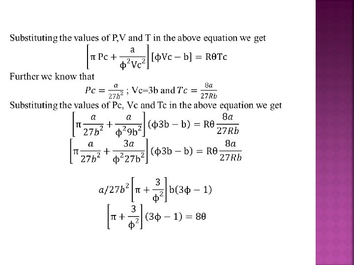
Equation (1) is a 3 rd degree equation in V i. e. it may have three real roots or one real and two imaginary roots for any given value of pressure and temperature. If we observe the Vanderwaal’s isotherms of CO₂ we can find only two different values for V at 13. 1⁰ C and 21. 5⁰ C for the same pressure and the third value predicted by Vanderwaal is not found. Thomson substituted the values of a and b and gas constant R in equation (1) and he calculated the values of V for different values of P at different constant temperatures. He plotted a graph between the values of V against P at different constant temperatures and he obtained the following isotherms.
Increase in pressure also brings the molecules of a gas close to one another. So a gas can be liquefied at low temperatures and high pressures (or) a gas can be liquefied by cooling and compression. Faraday(1823) used this process of compression and cooling for liquefaction of gases. He tool a ‘V’ shaped tube. The gas is generated at one side of the arm and it was liquefied in one side of the arm under its own pressure and with the help of external cooling by placing it in freezing mixture.
Large number of gases like Cl₂, SO₂, NH₃, HCl etc are liquefied by this method. But gases like H₂ cannot be liquefied by this method. Even 3000 atmospheres pressure could not liquefy these gases. These are called “permanent gases” According to Andrew, “ a gas can be liquefied by pressure only if it is at (or) below its critical temperature”. If the gas is above its critical temperature, it cannot be liquefied even if high pressure is applied. The critical temperature of permanent gases is very low(below -250⁰ C). Thus, the liquefaction of these gases is possible only if the temperature is kept below -250⁰C and very high pressure is applied. JOULE-THOMSON EFFECT : “ If a gas under high pressure is allowed to expand into a region of low pressure , it results in fall of temperature. ” (or) “ when a compared gas is allowed to expand temperature to expand by passing it into a region of low pressure , the temperature of gas falls down. This phenomenon is called Joule Thomson Effect”
When a gas is allowed to expand the molecules move away from each i. e the intermolecular distance increases and intermolecular forces of attraction will be decreased which means that some energy is used to overcome the attractions between the molecules. The energy used can be considered as kinetic energy. So we understand that the kinetic energy of the gas decreases and as kinetic energy is directly proportional to temperature , we say that temperature also decreases. If these gases are first cooled to some particular temperature and then allowed to expand, then they behave like other gases. This particular temperature is known as Inversion temperature which is defined as “THE TEMPERATURE OF A GAS BELOW WHICH THE GAS COOLS WHEN ALLOWED TO EXPAND” So the expansion below the inversion temperature causes cooling and expansion above the inversion temperature causes heating. The inversion temperatures of H₂ and He are very low (-80⁰ C for H₂ and -240⁰C for He) Gases are liquefied by two methods : 1. Linde’s method : This process includes liquefaction of air which is based on JOULE THOMSON EFFECT.
Pure and dry air (free from moisture and other impurities) is first compared to about 200 atmospheres in the compressor and then passed through a water cooled pipe where the heat of compression is removed. The compressed and cooled air passed through a spiral tube having a jet or nozzle at the end. The air escapes into the chamber through the jet and there it expands and the pressure falls to about 50 atmospheres. This results in cooling of air.
This cooled air passes up and cools the incoming air which is further cooled byy expansion. So by the two processes, expansion and compression, the temperature of air is gradually decreased and at one stage it converts into liquid. 2. Claude’s process : in this process air is liquefied by combining the principle of adiabatic expansion and Joule Thomson effect. Pure and dry air(free from impurities and moisture) compressed to about 200 atmospheres is passed through a bifurcated pipe. A part of compressed air passes into the cylinder filled with an air tight piston and rest of the ait passes through the spiral tube having jet at its end.
The air that goes into the cylinder pushes the piston which means that some external work is done by it. As a result the energy of the air decreases and thereby it gets cooled. The cooled air now enters the liquefying chamber and goes up cooling the incoming air which when released through the jet into the chamber further gets cooled and finally liquefies. Temperatures at which some of the gases liquefy are given below : Air - 193⁰ C SO₂ - 10. 1⁰ C N₂ - 195. 7⁰ C H₂ - 242. 7⁰C He-268. 9⁰C NH₃ -33. 5⁰C Cl₂-34. 6⁰C O₂-182. 9⁰C EXPERIMENTAL DETERMINATION OF CRITICAL CONSTANTS : Determination of Tc and Pc : The apparatus consists of a ‘J’ shaped tube. The short limb of the tube us attached to a bulb in which experimental liquid along with its vapour is taken. The rest of the tube is filled with mercury leaving a small portion near the open end.
- Slides: 45