INTEREST and TIME VALUE of MONEY Bunga interest
INTEREST and TIME VALUE of MONEY
Bunga (interest) adalah sejumlah uang yang dibayarkan akibat pemakaian uang yang dipinjam sebelumnya. Penarikan bunga pada dasarnya merupakan kompensasi dari penurunan nilai uang selama waktu peminjaman sehingga besarnya bunga relatif sama besarnya dengan penurunan nilai uang tersebut. Oleh karena itu, seseorang yang membungakan uangnya sebesar tingkat penurunan nilai uang (inflasi), tidak akan mendapatkan keuntungan ekonomis terhadap uang yang dibungakan itu, tetapi hanya menjamin nilai kekayaan yang bersangkutan relatif tetap dan stabil.
Besarnya perubahan nilai nominal dari uang yang diinvestasikan atau uang yang dipinjam setelah suatu periode waktu dikenal dengan nama bunga (interest). Berdasarkan definisi ini, bunga dapat dihitung dengan menggunakan Persamaan berikut Secara tradisional, bunga adalah sejumlah uang yang harus dibayar oleh peminjam (borrower) kepada yang meminjamkan (lender) setiap periode waktu tertentu di luar pembayaran pokok pinjaman. Jadi bunga merupakan kompensasi yang harus dibayar oleh peminjam kepada pemilik uang atas uang yang dipinjam
Dengan adanya bunga atau pertumbuhan investasi, nilai dari suatu pinjaman atau investasi di masa yang akan datang akan lebih tinggi dari nilai pokok pinjaman atau nilai awal investasi. Besarnya perubahan nilai uang dari satu periode ke periode waktu berikutnya sangat ditentukan oleh tingkat suku bunga (interest rate) yang dikenakan atas pinjaman atau tingkat keuntungan (rate of return) yang diperoleh dari suatu investasi.
Variabel i melambangkan jumlah bunga yang terakumulasi selama periode pembungaan, yang besarnya tergantung pada tingkat suku bunga (i) dan jumlah periode pembungaan (n). Tingkat suku bunga dapat dihitung sebagai berikut:
Sebuah koperasi simpan pinjam memberlakukan bunga sebesar Rp 25 ribu setiap bulan kepada setiap anggota yang meminjam sebesar Rp 1 juta. Berapa tingkat suku bunga yang diterapkan koperasi tersebut kepada setiap anggotanya?
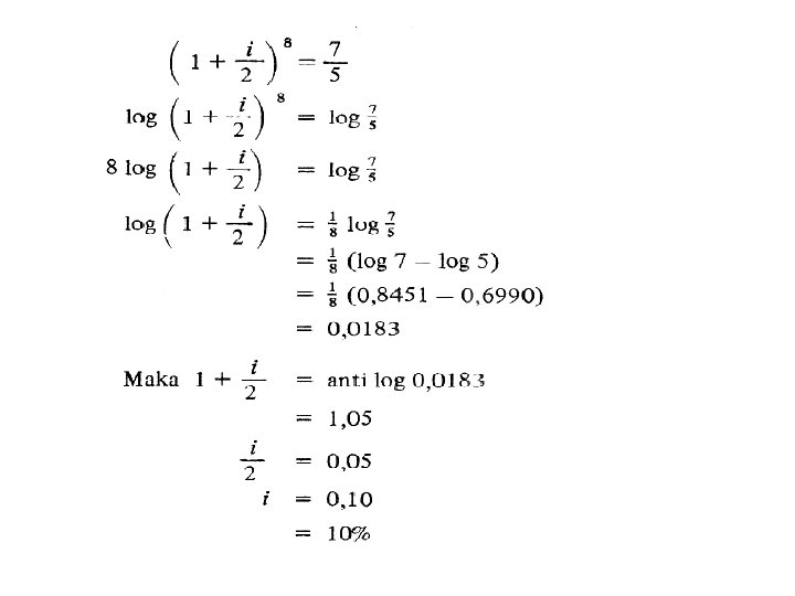
1. Tingkat Suku Bunga Tingkat suku bunga (rate of interest) merupakan rasio antara bunga yang dibebankan periode waktu dengan jumlah uang yang dipinjam awal periode dikalikan 100%
2. Bunga Sederhana Sistem bunga sederhana (simple interest), yaitu sistem perhitungan bunga hanya didasarkan atas besarnya pinjaman semula, dan bunga periode sebelumnya yang belum dibayar tidak termasuk faktor pengali bunga Bapak. Amir meminjam uang dari temannya 4 tahun yang lalu sebesar Rp 200. 000, 00 dengan kewajiban membayar bunga 5%/tahun dengan metode bunga sederhana, maka perhitungan bunganya adalah sebagai berikut.
3. Bunga Majemuk Sistem bunga majemuk (compound interest), yaitu sistem perhitungan bunga di mana bunga tidak hanya dihitung terhadap besarnya pinjaman awal, tetapi perhitungan didasarkan atas besarnya utang awal periode yang bersangkutan, dengan kata lain bunga yang berbunga.
Contoh Bapak Amir meminjam uang daritemannya 4 tahun yang lalu sebesar Rp 200. 000, 00 dengan kewajiban membayar bunga 5% per tahun dengan merode bunga majemuk, maka perhitungan bunganya adalah sebagai berikut.
Metode Ekuivalensi Metode ekuivalen adalah metode yang digunakan dalam menghitung kesamaan nilai uang dari suatu waktu ke waktu yang lain. Konsep ekuivalensi mengarakan bila sejumlah uang yang berbeda dibayar pada waktu yang berbeda dapat menghasilkan nilai yang sama (ekuivalen) satu sama lain secara ekonomis. Jika uang sekarang sejumlah Rp 250. 000, akan sama nilainya dengan Rp 287. 500, 00 satu tahun mendatang atau Rp 217. 391, 50 tahun kemarin, jika suku bunga berlaku 15%/tahun. Angka tersebut datang dari perhitungan berikut: a. 250. 000 +250. 000 (0. 15) : Rp 287. 500, 00 b. 250. 000 / 1, 15 = Rp 217. 391, 50
Cash Flow Tiunggal (Single payment) Jika sejumlah uang saat ini (present) = P dipinjamkan pada seseorang dengan suku bunga (rate of interest) = i, maka uang itu pada periode ke-n akan menghasilkan nilai uang masa datang (future) = F. Nilai uang F masa datang menjadi ekuivalen (sama dengan) P saat ini pada suku bunga i. Untuk mencari berapa besar F tersebut dapat diturun dari formula berikut.
Hubungan kebalikan antara F dengan P
Suatu modal M dibungakan dengan bunga i per tahun (t : waktu). Jika modal itu di bungakan selama satu tahun, berapakah jumlah uangnya setelah satu tahun, dua tahun, tiga tahun. . . , t tahun.
(Lowest Common multiple atau least common multiple)
Cash Flow Annual Dalam banyak hal sering kita mengalami suatu pembayaran yang sama besarnya setiap periode untuk jangka waktu yang panjang, misalnya menabung rutin tiap tahun, membayar cicilan utang terhadap pinjaman yang diberikan bank Jika: A 1 = A 2 = A 3= A 4 =. . . = An = A
Hubungan Future dengan Annual
Hubungan Annual (A) dengan Present (p)
Hubungan Present (P) dengan Annual (A)
Cash Flow Gradient cash flow di mana jumlah aliran uangnya meningkat dalam jumlah rertentu setiap periodik Cash Flow Arithmatic Gradient, yaitu jika peningkatannya dalam jumlah uang yang sama setiap periode (peningkatan linear). Simbol yang biasa digunakan untuk ini adalah ‘’G’’.
Hubungan Future (F) dengan Aithmatic Gradient (G) Hubungan present (P) dengan Arithmatic Gtadient (G)
Hubungan Arithmatic Gradient (G) dengan Annual (A)
a. Nilai ekuivalen F: Karena bentuk gradient tersebut belum standar seperti formula yang ada, cash flow tersebut dapat diurai menjadi bentuk
b. Nilai ekuivalen P:
NILAI NPV
NILAI BCR
NILAI PBP
NILAI IRR
- Slides: 77