Integration Part 1 AntiDifferentiation Integration can be thought
Integration Part 1 Anti-Differentiation Integration can be thought of as the opposite of differentiation (just as subtraction is the opposite of addition). In general: Differentiating Integrating Confusing? Is there any easier way?
Differentiation multiply by power divide by new power decrease power by 1 increase power by 1 Integratation Where does this + C come from?
Integrating is the opposite of differentiating, so: differentiate integrate But: differentiate integrate Integrating 6 x…. . . . which function do we get back to?
Solution: When you integrate a function remember to add the Constant of Integration……………+ C
Notation means “integrate 6 x with respect to x” means “integrate f(x) with respect to x” ò This notation was “invented” by Gottfried Wilhelm von Leibniz
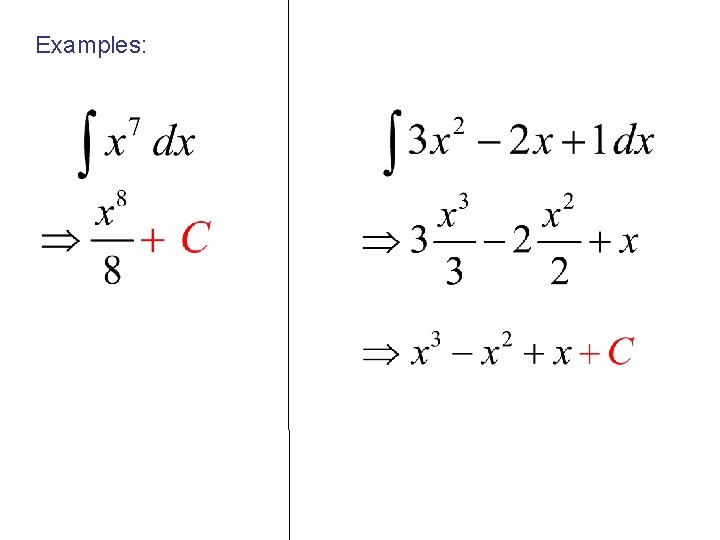
Examples:
Note: Just like differentiation, we must arrange the function as a series of powers of x before we integrate; i. e. with this function we have to multiply out the brackets first.
Solution: To get the function F(x) from the derivative F’(x) we do the opposite, i. e. we integrate. But, Hence:
Further examples of integration Examples
Part 2 The Area Under a Curve The integral of a function can be used to determine the area between the x-axis and the graph of the function. NB: this is a definite integral. It has lower limit an upper limit a and b. There is no need to bother about the constant of integration (+ c) when working out a definite integral.
Examples:
Conventionally, the lower limit of a definite integral is always less then its upper limit.
y=f(x) c a d b Very Important Note: When calculated by integration: q areas above the x-axis are positive q areas below the x-axis are negative When calculating the area between a curve and the x-axis: q make a sketch q calculate areas above and below the x-axis separately q ignore the negative signs and add
Two areas one above (to the right of) x=1 and one below (to the left)? ?
y -3 -½ 1 2 x Area =4 - Area =4 The upper/lower limit convention expresses these as: The upper limit is -3 which was the unexpected (? ) root of the quadratic on the previous slide
Examples of finding areas by integration Area Examples
The Area Between Two Curves To find the area between two curves we evaluate:
Example:
A More Complicated Example: The cargo space of a small bulk carrier is 60 m long. The shaded part of the diagram represents the uniform cross-section of this space. Find the area of this cross-section and hence find the volume of cargo that this ship can carry.
The shape is symmetrical about the y-axis. So we calculate the area of one of the light shaded rectangles and one of the dark shaded wings. The area is then double their sum. The rectangle: let its width be s The wing: extends from x=s to x=t (say) The area of a wing (W) is given by:
The area of a rectangle is given by: The area of the complete shaded area is given by: The cargo volume is:
- Slides: 21