Instrumentos de ATS Parecer TcnicoCientfico PTC so ferramentas

















































- Slides: 49
Instrumentos de ATS Parecer Técnico-Científico
PTC: são ferramentas de suporte à gestão e à decisão, baseada na mesma racionalidade que envolve a ATS, com execução e conteúdo mais simplificados. Embora envolvam revisão da literatura menos extensa e abrangente, que uma revisão sistemática, e sejam de execução e elaboração mais rápidas, representam um relato sistematizado e abrangente do conhecimento possível de ser fornecido nesse contexto, contribuindo para qualificar as decisões a serem tomadas. (CCOHTA, 2003; NICE, 2004 a; DACEHTA, 2005; CAMERON, 2007).
Formular a pergunta clínica, que deve possuir os seguintes componentes: P- O paciente ou o problema em questão; I - A intervenção, o teste ou a exposição de interesse; C - A comparação das intervenções; O - O resultado de interesse.
Nota técnica
Elemento(s) que “avalizam” conduta(s) com ou sem evidência – sustentação em experiência profissional especializada, sociedades de especialidades, grupos de estudo/pesquisa, órgãos oficiais etc. Nota Técnica: é um documento elaborado por técnicos especializados em determinado assunto e difere do Parecer pela análise completa de todo o contexto, devendo conter histórico e fundamento legal, baseados em informações relevantes. É formal e impessoal, não podendo ser utilizada a primeira pessoa. (Ministério Público)
https: //www. saude. gov. br/images/pdf/2020/marco/24/NOTA-T--CNICA-N----9 -2020 -CGAHD-DAHUSAES. pdf http: //www. in. gov. br/web/dou/-/nota-tecnica-sobre-a-utilizacao-de-tratamento-antiviral-para-infeccoes-porcovid-19 -253343459
Revisão Sistemática Ø É uma forma de pesquisa na qual um apanhado de relatos sobre uma questão clínica específica, avalia e sintetiza as informações da literatura sistematicamente Ø Há evidência de que são de alta qualidade (desde que premissas sejam atendidas);
Revisão Sistemática Por que são de alta qualidade? 1. Usam a metodologia científica como base; 2. Métodos de seleção e avaliação são bem definidos e explícitos aos leitores; 3. Permitem aos leitores avaliar possíveis avaliações tendenciosas (viés); 4. Melhoram a segurança e a acurácia das conclusões.
Revisão sistemática Ø Sem metanálise Ø Com metanálise
Formular a pergunta clínica, que deve possuir os seguintes componentes: P- O paciente ou o problema em questão; I - A intervenção, o teste ou a exposição de interesse; C - A comparação das intervenções; O - O resultado de interesse.
Buscar a(s) informação (es) relevante (s): 1 -Utilizar as palavras-chaves; 2 -Escolher a base de dados bibliográficos; 3 -Conduzir a busca.
üAvaliar criticamente a informação; üAdaptar a informação para o caso em questão; üAvaliar o desempenho.
Formular uma questão clínica derivada do problema do paciente em questão. Definir qual informação é necessária. Selecionar os melhores estudos. Avaliar criticamente a evidência disponível. Sintetizar a evidência.
Definir a força da evidência. Integrar a evidência com a experiência clínica e aplicar os resultados na prática clínica. Avaliar a própria performance como um médico que pratica Medicina baseada em evidência.
Meta-análise Ø É o método estatístico utilizado na revisão sistemática para integrar os resultados estudos incluídos, aumentando a acurácia estatística; Ø Faz-se a análise da combinação dos resultados (não combina os dados na forma de um único estudo); Ø Utiliza conceitos como: IC, OR, RR e DR (diferença de risco). Ø Utiliza o Forest plot como gráfico de visualização dos resultados
Meta-análise
Variable for studies Study 1. Intervention groups Variable for total number of cases Variable for number of positive cases 2. Control groups Variable for total number of cases Variable for number of positive cases Study Intervention N_HCQ Event_HCQ N_Standard Event_Standard Controls Relative risk 95% CI P Weight (%) Fixed Random Chen 20020 a 4/15 3/15 1, 3 0, 3 to 4, 9 8, 27 11, 18 Chen 2020 b 2/31 0/31 5, 0 0, 2 to 100, 0 1, 59 2, 58 21/70 7/80 3, 4 1, 5 to 7, 5 22, 73 22, 63 Yu 2020 12/100 13/101 0, 9 0, 4 to 1, 9 26, 51 24, 69 Lo 2020 5/112 4/115 1, 2 0, 3 to 4, 6 8, 60 11, 54 Hopkins 2020 17/198 15/190 1, 0 0, 6 to 2, 1 32, 30 27, 38 Total (fixed effects) 61/526 42/532 1, 4 1, 0 to 2, 1 0, 03 100, 00 Total (random effects) 61/526 42/532 1, 4 0, 9 to 2, 4 0, 12 100, 00 Tang 2020 Meta-analysis: relative risk Test for heterogeneity Q 7, 3680 DF 5 Significance level P = 0, 1947 I 2 (inconsistency) 32, 14% 95% CI for I 2 0, 00 to 72, 58
Forest plot Ø Mostra visualmente os resultados de uma metaanálise; Ø Faz uma estimativa visual da quantidade de variação entre os resultados(heterogeneame nte);
Primeiro autor do estudo primário Linha do não efeito IC
Pyo JS, Kang G. Immunotherapy in advanced melanoma: a network meta -analysis. Immunotherapy. 2017; 9(6): 471‐ 479. doi: 10. 2217/imt 2016 -0143
Avaliando - Revisão sistemática Deve-se avaliar: ü A validade metodológica do ensaio; ü A magnitude e precisão do efeito do tratamento; ü A aplicabilidade dos resultados para seus pacientes na população.
Revisão sistemática Questões a serem consideradas na avaliação: 1. A revisão dirigiu-se ao foco da questão? Explicitar a questão a ser respondida, as intervenções, as comparações e os resultados de interesse 2. A revisão incluiu o tipo de estudo correto? Ensaios clínicos controlados randomizados proporcionam a melhor evidência. Os leitores devem julgar se os estudos incluídos possuem um projeto adequado para responder as questões clínicas.
Revisão sistemática 3. A revisão tentou identificar todos os estudos relevantes? Fazer uma pesquisa abrangente e em várias fontes. Encontrar o maior numero possível de estudos relevantes afim de minimizar o viés de cada uma. 4. Os revisores avaliaram a qualidade de todos os estudos incluídos? Há evidência de que dois revisores tem efeito importante na redução da possibilidade de relatos importantes sejam excluídos. Os revisores devem especificar um método predeterminado, para avaliar a elegibilidade e qualidade do estudo.
Revisão sistemática 5. Os resultados estudos combinados tiveram resultados coerentes? A validade estatística da combinação dos resultados vários estudos deveria ser avaliado com base na homogeneidade dos resultados. Analisar com meta-análise. 6. Como os resultados estão apresentados e quais os principais resultados? Forest plot 7. Quantificar a precisão dos resultados. Utilizar OR, RR e diferença média. Se o resultado é binário (doença x não-doença) OR e RR são usados. Se o resultado é contínuo (medidas de pressão sanguínea) a diferença média deve ser usada.
Revisão sistemática 1. Os resultados podem ser aplicados à população local? 2. Todos os resultados importantes foram considerados? 3. O resultados dessa revisão deveria ser prática ou política?
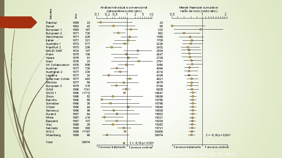
Total ano Estudos Fletcher Dewar European 1 European 2 Heikinheimo Italian Australia 1 Frankfurt 2 NHLBI SMIT Frank Valere Klein UK Collaboration Austrian Australian 2 Lasierra N German Collab Witchitz European 3 ISAM GISSI-1 Olson Barrofio Schreiber Cribier Sainsous Durand White Bassand Vlay Kennedy ISIS-2 Wisenberg 0, 1 1959 1963 1969 1971 1973 1974 1975 1976 1977 1977 1979 1986 1986 1987 1988 Análise individual e convencional meta-análise (odds ratio) 0, 2 0, 5 1 2 5 0, 5 10 Mantel-Haenszel cumulativo razão de risco (odds ratio) 23 65 232 962 1388 1709 2226 2432 2539 2647 2738 2761 3356 4084 4314 4338 4821 4879 5194 6935 18647 18699 18758 18796 18840 18938 19002 19221 19328 19353 19721 36908 36974 23 42 167 730 426 321 517 206 107 108 91 23 595 728 230 24 483 58 315 1741 11712 52 59 38 44 98 64 219 107 25 368 17187 66 36974 Favorece tratamento Z = -8, 16 p< 0. 001 Favorece controle 1 2 Z = -8, 16 p< 0, 001 Favorece tratamento Favorece controle Lau J et al N Eng J Med 1992; 327: 248 -54
Revisão sistemática Interpretando OR e RR: Um OR e um RR maior que 1, indicam um aumento da probabilidade do resultado inicial alcançar no grupo tratado. Se menor que 1, indicam diminuição da probabilidade no grupo tratado. Igual a 1 não há diferença entre o tratado e o não tratado.
Revisão sistemática IC (intervalo de confiança): É o limite dentro do qual existe a certeza do verdadeiro efeito do tratamento. Quanto maior o intervalo, menor a precisão.
Conclusão A revisões sistemáticas aplicam estratégias científicas para estabelecer um modelo explícito e resumido de todos os estudos para falar de uma questão específica. A meta-análise aumenta a força da precisão do efeito estimado do tratamento.
Revisão Narrativa Por que possuem baixa qualidade? 1. Os autores frequentemente usam métodos informais e subjetivos para coletar e interpretar o estudo, o que pode levar a expor suas próprias tendências; 2. Raramente é citado a metodologia de seleção e avaliação dos estudos primários, impedindo os leitores analisarem as tendências (viés).
Revisão Narrativa Ø Especialistas de uma determinada área definem o que é uma “suposta evidência resumida de sua área”. Ø Há evidência que elas são de baixa qualidade.
Revisão sistemática X revisão tradicional Revisão Narrativa Questão Ampla Revisão Sistemática Focalizada numa questão clínica Fonte Frequentemente não específica Fontes compreensivas Estratégia de pesquisa explícita Potencialmente com viés Seleção Frequentemente não específica Seleção baseado em critérios aplicados Potencialmente com viés Avaliação Síntese Variável Qualitativa Inferências Às vezes baseado em evidências uniformemente Avaliação crítica Quantitativo Frequentemente baseada em evidências
Obrigado