Information Processing Model of Cognition First Metatheory in
































- Slides: 32
Information Processing Model of Cognition • First Meta-theory in cognitive science – a all encompassing theory designed to explain cognition 1
The Use of Models • Hydraulic models of human behavior- Romans believed the heart pumped fluids that caused movement • Descartes – mechanical model, the body functions like a machine • British empiricists- model base upon physics • Associationists – model based upon chemistry • 1950’s computer model – information processing model • 1980 brain model - connectionism 2
7 Themes of Cognition • Attention – different types are important • Automatic and conscious processing • Data driven versus conceptually driven processing • Representations – how memories are stored • Implicit versus explicit memory • Metacognition • The Brain 3
Research Methods Used • Correlational studies – are two or more factors or variables related • Experimental studies – manipulate one or more variables and control others • Quazi-experimental – the variable of interest cannot be manipulated, usually involves subject variables • Single case – use of one subject – most frequently used in neurocognition 4
Methods for Measuring Cognition • 1. Reaction time – measure time between stimulus and response • 2. Accuracy measurements – Simple – how many mistakes were made – Complex – look for a pattern of errors • 3. Trials to criterion • 4. Relearning – learn a task. After a delay how long did it take to relearn the task 5
Guiding Analogies Channel Capacity: An early analogy for the limited capacity of the human information-processing system. The Computer Analogy: Human information processing may be similar to the sequence of steps and operations in a computer program, similar to the flow of information from input to output when a computer processes information. 6
The Atkinson and Shiffrin Model of Human Memory Encoding: The act of taking environmental stimulation and converting it to a usable mental form (electrical signals). • Three memory components: sensory memory, shortterm memory, and long-term memory. 7
Examples • Multiplying 2 X 3 = • Lexical Decision Task: A timed task in which people decide whether letter strings are or are not English words. – Takes longer to decide if a non-word is real than a real world – Word Frequency Effect: The effect which states that it takes significantly longer to judge words of lower frequency than it does to judge high-frequency words. 8
The Strict Information Processing Approach • Sequential Stages of Processing: An assumption in most process models that the separate stages of processing occur in a fixed sequence, with no overlap of the stages. • Independent and Nonoverlapping Stages: The assumption in the strict information processing approach that the stages of processing are independent of one another in their functioning, and that they do not overlap in time. 9
Some Problems • Parallel Processing: Any mental processing in which two or more processes or operations occur simultaneously. • Model could not explain how context could speed up processing such as during priming tasks 10
The Modern Cognitive Approach: Cognitive Science 11
Cognitive Science • The study of human thought, using all available scientific techniques and including all relevant scientific disciplines for exploring and investigating cognition. 12
Updating the Standard Theory 13
Two Types of Processing • Bottom-up or data driven • Top-down or conceptually driven 14
Summary The strict-information processing approach to cognition was replaced with a broader, more inclusive approach now known as cognitive science. This approach described cognition as the coordinated, often parallel operation of mental processes within a multicomponent memory system. The approach is deliberately multidisciplinary, accepting evidence from all the sciences interested in cognition. 15
Brain Anatomy 16
Brain Anatomy (con’t. ) • Neocortex or cerebral cortex: The top layer of the brain responsible for higherlevel mental processes. – The lobes of the neocortex: the frontal lobe, parietal lobe, occipital lobe, and temporal lobe 17
Four Lobes of the Neocortex 18
Lower Brain Structures 19
Brain Anatomy (con’t. ) Three other subcortical (below the neocortext) structures are especially important to neurocognition: thalamus: the gateway to the cortex; almost all messages entering the cortex come through the thalamus corpus callosum: the primary bridge across which messages pass between the left and right halves or hemispheres of the neocortex hippocampus: an internal brain structure strongly implicated in the storing of new information into long-term memory 20
Principles of Functioning • Contralaterality: The principle that control of one side of the body is localized in the opposite-side cerebral hemisphere. • Hemispheric Specialization: The principle that each cerebral hemisphere has specialized functions and abilities. 21
Split-Brain Research and Lateralization • Research on split-brain patients • Principle of lateralization 22
Basic Neurology • Neurons: The basic building block of the brain and the entire nervous system, a neuron is a cell that is specialized for receiving and transmitting a neural impulse. 23
The various structures of the neuron 24
Basic Neurology (con’t. ) • Synapses: The region where the axon terminals of one neuron and the dendrites of another come together is the synapse. • Neurotransmitter: The chemical substance released into the synapse between two neurons, responsible for activating or inhibiting the next neuron in sequence. 25
Methods of Investigation • Lesions: Used by Sperry; the site and extent of the brain lesion are important guides to the kind of disruption in behavior that is observed and vice versa. • Direct Stimulation: Pioneered by Penfield; the patient in brain surgery remained conscious during surgery and was administered minute electrical charges to the exposed brain, thus triggering very small regions. 26
Exposed cortex of one of Penfield’s patients 27
Methods of Investigation (con’t. ) • Imaging Technology • Magnetic Resonance Imaging (MRI): Gives clear pictures of the structure of the brain. • Functional MRI: Image shows regions of the brain with heightened neural activity, with different colors reflecting high or low levels of blood flow, oxygen uptake, and the like. • PET scans- use or radioactive labels attached to glucose 28
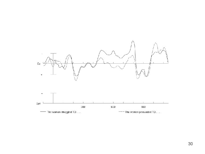
Methods of Investigation (con’t. ) • Electrocephalograms (EEG): Electrodes are attached to the subject’s scalp, and the device records the patterns of brain waves. • Event-Related Potentials: The momentary changes in electrical activity of the brain when a particular stimulus is presented to the subject. 29
30
Neural Net Models: Connectionism • Connectionist models are often called neural net models or parallel distributed processing (PDP) models; the three terms are synonymous. All refer to a computerbased technique for modeling complex neural based systems. 31
An early connectionist model by Mc. Clelland Rumelhart 32