Indtrngning af PCB i bygningsdele Primr sekundr og
Indtrængning af PCB i bygningsdele Primær, sekundær og tertiær forurening Møde i PCB netværket d. 16. april 2013 Lars Gunnarsen Statens Byggeforskningsinstitut, Aalborg Universitet
Polychloreret biphenyl
Damptrykkets temperaturafhængighed
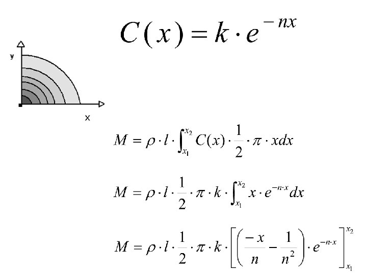
Grundlæggende om PCB’er Sum 7 congenerer: 28, 52, 101, 118, 138, 153 og 180 De 12 dioxinlignende congenerer: 77, 81, 105, 114, 118, 123, 126, 157, 169, og 189 Alle PCB congenerer akkumuleres i kroppen 105 og 118 har WHO TEF på 0, 0001 og for 156 er den 5 gange større Højest TEF har nr. 126 med 0, 1 Damptrykket for PCB 118 ved 25 o. C er 0, 00119 Pa. I luft ved 1 atm svarer det til 263 µg/m 3 Arbejdstilsynets grænseværdi 10 µg/m 3 Sundhedsstyrelsen vejledende aktionsgrænser 3 og 0, 3 µg/m 3
PCB 126, den dioxinlignende kongener med højest TEF
The purpose of this paper is to present an approach to calculate the magnitude of secondary and tertiary sources in PCB contaminated buildings
Methods Paint and lacquer samples were taken using a knife to scrape small parts off the wall and floor. The concrete samples were taken by sawing a small concrete block from a wall including the line of sealant, breaking the block perpendicular to the sealant and hammering out concrete samples from the fracture surface using a chisel in order to avoid heating the concrete when sampling. At the chemical laboratory the samples were homogenized and Soxhlet extracted using toluene and purified on columns of silica gel and finally the purified extracts were analyzed by GC-HRMS.
Concrete samples Data fra Claus Lundsgaard, SBMI, 2012.
Data fra Helle Vibeke Andersen et al: Kortlægning af eksisterende viden om indtrængning af PCB fra fuger til beton, Miljøstyrelsen 2013.
PCBtot (secondary source) in concrete Distance from sealant [mm] Mass per length [mg/m] 0 - 10 10 - 20 20 - 30 30 - 45 45 - 62 62 - ∞ 447 278 79 21 2. 0 0. 1 Fraction [%] 54 33 10 2. 6 0. 2 0. 02 Accumulated [%] 54 88 97 99. 9 100
PCBtot (tertiary source) in surface materials Amount Floor lacquer Floor wood Wall and ceiling paint Wall and ceiling concrete Sealant Concrete on both sides of sealant 7 m 2 31 m 2 0. 2 m 2 40 m Thickness (mm) 0. 2 20 0. 6 10 10 62 PCBtot (g) 0. 36 0. 39 4. 40 6. 92 508. 08 33. 20
PCB whereabouts After approximately 40 years the primary sources contain 92 % of the remaining PCB. 6 % of the remaining PCB has diffused into concrete along the sealants making adjoining concrete an important secondary source. The last 2 % of the remaining PCB may be found as tertiary pollution of the large surfaces of walls and floor. In the 17. 4 m 3 model room with an air change rate of 0. 5 h-1 and the recommended highest concentration of 300 ng/m 3 in the room air, the annual PCB removal capacity of ventilation becomes as low as 0. 023 g/year or equal to 1 g after 44 years.
Conclusions Remove all primary sources when renovating rooms with PCB containing sealants. Prioritize also to alleviate emissions from concrete and other materials that have been in direct contact with primary sources. The expected few grams deposited in the large area of wall paint and top layer of concrete is an important emission source.
- Slides: 19