Imaginary Numbers By Jessica Jang What are imaginary
Imaginary Numbers By: Jessica Jang
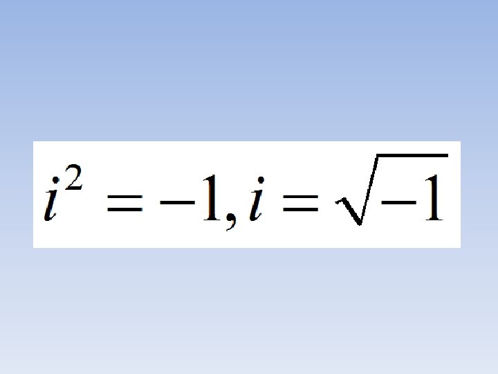
What are imaginary numbers? Despite the given name, imaginary numbers are NOT imaginary. They exist, and can be useful in some cases. Normally, when we use our calculators to try and find the negative square root of a number, we receive an error message. Imaginary numbers can be written as real numbers multiplied by the unit “i” (imaginary number). For example, the square root of a negative number could be an imaginary number. The square root of -16 = 4 i (four times the imaginary number) An imaginary number could also be defined as the negative result of any number squared. 4^2 = -16 i Because normally, 4^2 would equal +16, but because we are using the unit “i”, (4)(4) = -16 i. We could also use this method for negative squares. For example, (-4)( -4) = -16 i.
Why do we call them “imaginary numbers? ” -These numbers used to be thought of as non-existent, hence the word "imaginary. " Although now we have concluded that these numbers do exist, we still call them imaginary. -The word "imaginary" was meant to be downgrading for these numbers, because at a certain point in time they were deemed useless. -Even after imaginary numbers were concluded as important and useful, mathematicians decided that it would be best to keep that name.
Who was the first to discover imaginary numbers? Imaginary numbers are said to be first discovered by Heron of Alexandria who was a Greek mathematician. Although later, the laws of imaginary numbers were first written out by Rafael Bombelli in 1572. -Bombelli was an italian mathematician most well known for his work with algebra and complex/imaginary numbers. -In 1572 he wrote a book on algebra (which was called: "Algebra"), where he explained the rules for multiplying positive and negative numbers together. -He also explained the laws of complex arithmetic in his book.
Solving Problems… Complex numbers are a combination of real numbers and imaginary numbers. And by "combination, " we mean they can be added together, subtracted, multiplied, divided, put to the power of, etcetera. These combinations of numbers can also be looked at as polynomials. (2 x+iy)^2 (2 x+iy) 4 x^2+2 ixy+iy^2 4 x^2+4 ixy+iy^2
a^2 = -64 i -8^2 = -64 i a = -8 or a = 8
Other facts… -Nowadays, imaginary numbers are almost always referred to as complex numbers. One of its definitions is that it is a complex number with no part that is real. These are called "purely imaginary numbers. " -0 is considered both a real number AND an imaginary number. -Imaginary numbers can also be identified as complex numbers, where the part that is real is 0. -When looking at cartesian complex plane or graph, the horizontal axis is the "real number axis" and the vertical axis is the "imaginary number axis. "
Additional Questions: -How are imaginary numbers relevant to everyday problems? -How can they be used in engineering? -What was the original theory behind imaginary numbers? -Are imaginary numbers considered rational or irrational numbers?
Website…: http: //jessjang 2013. wix. com/imaginary-numbers
- Slides: 12