ILMU USAHATANI Prinsip Ekonomi dan Aplikasinya Keputusan usahatani
























- Slides: 24
ILMU USAHATANI Prinsip Ekonomi dan Aplikasinya
Keputusan usahatani : a. b. c. d. e. Intuisi : keyakinan dan perasaan Memohon kekuatan gaib Memohon bantuan kekuatan duniawi Dg akal sehat : pengetahuan dan kemampuan Logika murni : kemampuan sendiri membuat bbr alternatif f. Metode ilmiah : hakekat masalah, mengumpulkan data, mengolah dan menganalisis 2
Kesulitan-kesulitan Petani : Kurang pengetahuan ttg perubahan harga (fak prod & prod) Kurang pengetahuan ttg teknologi mutakhir (dosis, cara pemberian, & waktu pemberian) Kurang pengetahuan ttg pemasaran (waktu, cara penjualan, di mana hrs dijual, grading & angkutan) Kurang pengetahuan ttg pembiayaan (jk pendek/ operasional : KUT dan jangka panjang : peremajaan tan keras, pengelolaan hasil & pendapatan) Kurang pengetahuan ttg factor-product relationship, factor-factor relationship, product-product relationship, & time relationship 3
Prinsip Ekonomi Dalam suatu proses produksi terdapat hubungan antara tingkat penggunaan faktor-faktor produksi dengan hasil yang akan diperoleh. Hal ini disebut hubungan antara input dengan output. Selain itu dalam menghasilkan suatu produk dapat pula dipengaruhi oleh produk yang lain bahkan untuk menghasilkan produk tertentu dapat digunakan input yang satu maupun input yang lain. Pengetahuan tentang ilmu ekonomi dapat memberikan dasar untuk perencanaan usahatani dan pemilihan alternatif usaha.
PRINSIP EKONOMI HUBUNGAN INPUT-OUTPUT (FACTORPRODUCT RELATIONSHIP) Hubungan antara produksi (output) & satu faktor produksi (input) variabel fungsi produksi Hubungan : 1. Kenaikan output tetap (constant returns) penambahan satuan input menyebabkan kenaikan hasil yg tetap Input (X) Tambahan Input (∆X) 0 10 20 30 40 10 10 Hasil (Y) 1336 1444 1552 1660 1768 Tambahan Hasil (∆Y) 108 108 Produk Marginal (∆ Y/ ∆ X) 10, 8
PRINSIP EKONOMI HUBUNGAN INPUT-OUTPUT (FACTORPRODUCT RELATIONSHIP) 2. Kenaikan output bertambah (increasing returns) Penambahan satuan input menyebabkan kenaikan hasil yg semakin bertambah Input (X) Tambahan Input (∆X) Hasil (Y) Tambahan Hasil (∆Y) Produk Marginal (∆ Y/ ∆ X) 0 10 20 30 40 10 10 500 550 620 700 790 50 70 80 90 5 7 8 9
PRINSIP EKONOMI HUBUNGAN INPUT-OUTPUT (FACTORPRODUCT RELATIONSHIP) 3. Kenaikan output berkurang (decreasing returns) Penambahan satuan input menyebabkan kenaikan hasil yg semakin berkurang Input (X) Tambahan Input (∆X) Hasil (Y) Tambahan Hasil (∆Y) Produk Marginal (∆ Y/ ∆ X) 0 2 4 6 8 2 2 0 5, 89 9, 41 12, 37 15, 03 5, 89 3, 52 2, 96 2, 66 2, 94 1, 76 1, 48 1, 33
PRINSIP EKONOMI HUBUNGAN INPUT-OUTPUT (FACTORPRODUCT RELATIONSHIP) 4. Hubungan Kombinasi Dalam proses produksi pertanian biasanya merupakan kombinasi. Kombinasi ini merupakan fenomena produksi pertanian yang dinyatakan sebagai Hukum Penambahan Hasil Yang Menurun atau Law of Diminishing Return. Untuk mengetahui berapa tingkat penggunaan input optimal maka perlu dilakukan penelitian dan percobaan secara teknis sekaligus secara ekonomis untuk mencapai titik optimal
Prinsip/Hukum Kenaikan Hasil yg Berkurang (The Law of Diminishing Return) Jumlah Pupuk (satuan) 0 ---------1 ---------2 ---------3 ---------4 ---------5 ---------6 ---------7 ---------8 Hasil (satuan) 15 ---------30 ---------39 ---------45 ---------49 ---------51 -----------------52, 5 ---------52 Kenaikan Hasil (satuan) -------- 15 -------- 9 -------- 6 -------- 4 -------- 2 -------- 1 -------- 0, 5 -------- - 0, 5 9
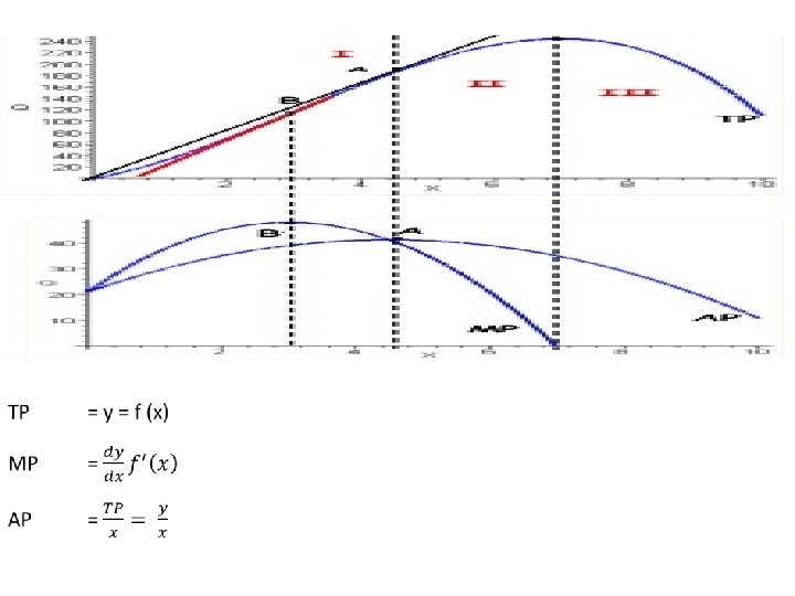
Beberapa Pengertian Penting dalam Teori Produksi 1. Produk total (Total product) yaitu keseluruhan output yang dihasilkan dari hasil penggunaan sejumlah faktor produksi tertentu. 2. Produk rata-rata (Average product-AP) yaitu produksi yang dihasilkan oleh satu orang tenaga kerja /input variabel (AP = TP / L) 3. Produk marjinal (marginal product-MP) yaitu tambahan produk yang diakibatkan oleh bertambahnya seorang tenaga kerja, dan sebaliknya ( TP / L)
PRINSIP EKONOMI HUBUNGAN INPUT-OUTPUT (FACTORPRODUCT RELATIONSHIP) Untuk mengetahui berapa tingkat penggunaan suatu faktor produksi optimal yang sebaiknya dilaksanakan petani, perlu diadakan penelitian dan percobaan bersifat teknis kemudianalisis secara ekonomis dengan tujuan titik optimum. Titik Optimum/titik rentabilitas adalah suatu keadaan dimana keuntungan mencapai level tertinggi. Titik tersebut dicapai pada saat produk marjinal sama dengan perbandingan harga faktor produksi dengan harga produk atau pada saat nilai produk marjinal sama dengan harga faktor produksi. Produk marjinal adalah tambahan hasil per kesatuan tambahan faktor produksi. Nilai hasil marjinal adalah tambahan penerimaan per kesatuan tambahan faktor produksi.
PRINSIP EKONOMI HUBUNGAN INPUT-OUTPUT (FACTORPRODUCT RELATIONSHIP) 1. Contoh : Antara y (produksi) dan x (faktor produksi) Diketahui No : Harga y (Py) = Rp. 10. 000/unit Harga x (Px) = Rp 7. 000/unit x (unit) y (unit) ∆x (unit) ∆y (unit) ∆x/∆y Nilai ∆x/∆y (Rp) 1 0 20 2 0. 5 30 0. 5 10 20 200000 3 1 35 0. 5 5 10 100000 4 1. 5 38 0. 5 3 6 60000 5 2 40 0. 5 2 4 40000 6 2. 5 41 0. 5 1 2 20000 7 3 41. 7 0. 5 0. 7 1. 4 14000 8 3. 5 42. 2 0. 5 1 10000 9 4 42. 5 0. 3 0. 6 6000 10 4. 5 42. 7 0. 5 0. 2 0. 4 4000 11 5 42. 8 0. 5 0. 1 0. 2 2000
PRINSIP EKONOMI HUBUNGAN INPUT-OUTPUT (FACTORPRODUCT RELATIONSHIP) Tanah 1 1 1 1 1 Labour 0 1 2 3 4 5 6 7 8 9 TP 0 2 5 9 12 14 15 15 14 12 1. Berapa Marginal Productnya (MP) ? 2. Berapa Average Productnya (AP) ? 3. Buatlah Kurva TP, MP, AP 4. Tentukan daerah I, II dan III ! Daerah manakah yang paling efisien dalam melakukan produksi? Berikan alasanya !
PRINSIP EKONOMI HUBUNGAN INPUT-INPUT (FACTOR-FACTOR RELATIONSHIP) • Hubungan antara input yg satu dgn input yg lain utk menghasilkan suatu produksi, dgn kombinasi (substitusi) berbagai macam input pemilihan kombinasi utk memperoleh keuntungan tertinggi • Hubungan : 1. Hubungan dgn daya substitusi tetap penambahan input yg satu mengurangi penggunaan input yg lain dlm jumlah tetap & jumlah produk yg dihasilkan tdk berubah 2. Hubungan dgn daya substitusi berkurang salah satu input dpt mensubtitusi input yg lain, tp jumlah yg dpt disubstitusi semakin lama mjd semakin kecil. 3. Hubungan komplementer penggunaan input yg satu lebih besar dr seharusnya tdk akan mempengaruhi produk yg dihasilkan 15
PRINSIP EKONOMI HUBUNGAN INPUT-INPUT (FACTOR-FACTOR RELATIONSHIP) Hubungan antara satu macam output dengan banyak input digambarkan dengan isoquant. Besar sudut kemiringan isoquant yang menggambarkan besarnya daya subtitusi x 1 terhadap x 2 saat memproduksi tingkat produksi yang sama disebut MARGINAL RATE OF TECHNICAL SUBSTITUTION (MRTS).
PRINSIP EKONOMI HUBUNGAN INPUT-INPUT (FACTOR-FACTOR RELATIONSHIP) • No 1 2 3 4 5 6 7 Rpx + Rpy x 1 (unit) ∆x 1 (unit) x 2 (unit) ∆x 2/∆x 1 40. 000 0 100 36. 500 25 25 85 15 0, 6 35. 000 50 25 75 10 0, 4 34. 300 75 25 67 8 0, 32 34. 800 100 25 62 5 0, 2 36. 100 125 25 59 3 0, 12 38. 200 150 25 58 1 0, 04 Y (unit) 20 20
Prinsip Substitusi (Principle of Substitution ) • Hukum substitusi : substitusi hrs dihentikan pd saat kerugian teknis akibat brg substitusi tsb menghilangkan keuntungan (scr ekonomi), krn harganya yg lebih rendah. • Substitusi msh dpt dilakukan selama pengurangan pendapatan lebih kecil drpd pengurangan biaya. 18
Prinsip Substitusi (Principle of Substitution ) Kombinasi Makanan Biaya (Rp) Produksi Penerimaan Keuntungan Telur (butir) (Rp) A 400, - 25 500, - 100, - ¾A+¼B 350, - 23 460, - 110, - ½A+½B 300, - 21 420, - 120, - ¼A+¾B 250, - 17 340, - 90, - B 200, - 12 240, - Keterangan : Harga telur per butir @ Rp 20, 19
PRINSIP EKONOMI HUBUNGAN OUTPUT-OUTPUT (PRODUCT-PRODUCT RELATIONSHIP) Hubungan antara produksi yg satu dgn produksi yg lain, dgn penggunaan input variabel ttt jumlah output yg satu tergantung pd jumlah output lain yg dihasilkan & sebaliknya. Hubungan : 1. Join products hubungan antara dua macam produk yg selalu dihasilkan bersama-sama; sejumlah produk pertama selalu diikuti produk kedua yg telah tertentu jumlahnya dianggap satu produk 2. Complementary products kenaikan produk yg satu (y 1) diikuti kenaikan produk lain (y 2), dgn penggunaan input ttt, shg daya desak y 1 thd y 2 selalu positif (dlm jk panjang) jk pendek bersaing 3. Supplementary products kenaikan produk yg satu tdk berpengaruh thd produk lain, dgn penggunaan input ttt yg tdk habis terpakai, shg daya desak y 1 thd y 2 selalu = nol 4. Competitive products kenaikan produk yg satu selalu diikuti penurunan produk yg lain (transformasi antar produk) dgn 20 penggunaan input yg sama, shg daya desak y 1 thd y 2 selalu negatif.
• No 1 2 3 4 5 6 7 Faktor Produksi x dipakai (unit) Untuk y 1 Untuk y 2 0 30 5 25 10 20 15 15 20 10 25 5 30 0 Produksi yang dihasilkan (unit) y 1 y 2 0 83 18 80 31 75 42 66 50 52 55 30 58 0 Daya Desak ∆y 2/∆y 1 -0, 17 -0, 38 -0, 82 -1, 75 -4, 40 -10, 0 21
PRINSIP EKONOMI HUBUNGAN OUTPUT-OUTPUT (PRODUCT-PRODUCT RELATIONSHIP) Seorang peternak mempunyai modal tertentu yaitu kelipatan dari Rp 10. 000 Pada waktu yang sama ada 3 macam pilihan yaitu modal tersebut ditambahkan pada peternakan babi, ayam atau sapi. Kombinasi manakah yang akan memberikan hasil paling tinggi? Prinsip Biaya Oportunitas/ Biaya Imbangan/Berimbang (Principle of Opportunity Cost) q Prinsip yg menyatakan bhw org hrs dpt memilih dr jenis komoditi mana dpt diperoleh pendapatan tertinggi dgn penggunaan sumber produksi yg terbatas sebaik-baiknya (optimal), dgn modal sama q Biaya opportunitas : pendapatan potensial yg hilang yg dpt diperoleh dr penggunaan sumber produksi, krn sumber produksi tsb digunakan utk usaha produksi lain q Biaya Oportunitas : “penerimaan” yg tdk jadi diterima krn alternatif terbaik kedua tdk diterapkan dlm penggunaan sumber daya/jumlah penerimaan yg dikorbankan usaha, krn tdk memilih alternatif terbaik 22 kedua tsb.
No Modal (Rp 000) Tambahan Pendapatan Rp 000 Usaha Babi Usaha Ayam Usaha Sapi Pendapat Saran sebaiknya an Total Rp 000 pada 1 10. 000 13. 000 15. 000 14. 000 Ayam (10. 000) 15. 000 2 20. 000 26. 000 27. 500 25. 000 Ayam + Sapi (10. 000 + 10. 000) 29. 000 3 30. 000 38. 400 35. 000 Babi + Ayam + Sapi (10. 000 + 10. 000) 42. 000 4 40. 000 50. 000 49. 300 46. 500 Babi + Ayam + Sapi (20. 000 + 10. 000 +10. 000 55. 000
PRINSIP EKONOMI HUBUNGAN WAKTU DGN INPUT & OUTPUT (TIME RELATIONSHIP) • Hubungan antara waktu dgn faktor produksi & produksi pengaturan waktu & frekuensi penggunaan input utk menghasilkan output ttt, waktu produksi (tanam & panen), tempat penjualan, frekuensi penjualan, waktu penjualan, kepada siapa dijual, berapa bagian, dll No Tempat Penjualan Harga (Rp/Kg) Waktu Panen 1 Minggu 2 Minggu 3 Minggu 1 Pasar Desa 800 900 1000 1100 2 Pasar Kecamatan 850 950 1050 1150 3 Pasar Kabupaten 900 1000 1100 1200 24