Il paradosso di Zenone I paradossi di Zenone

















- Slides: 17
Il paradosso di Zenone I paradossi di Zenone ci sono stati tramandati attraverso la citazione che ne fa Aristotele nella sua Fisica. Zenone di Elea, discepolo ed amico di Parmenide, per sostenere l'idea del maestro, che la realtà è costituita da un Essere unico e immutabile, propose alcuni paradossi che dimostrano, a rigor di logica, l'impossibilità della molteplicità e del moto, nonostante le apparenze della vita quotidiana. I paradossi di Zenone sono sei: due contro il pluralismo e quattro contro il movimento
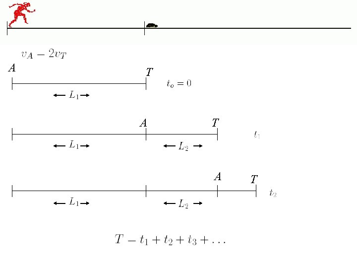
Di questi ultimi il più famoso è certamente il Paradosso di Achille e la tartaruga Riesce Achille a raggiungere la tartaruga?
A T A T
A T A T
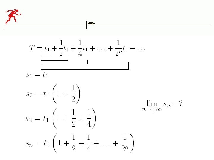
Serie geometriche
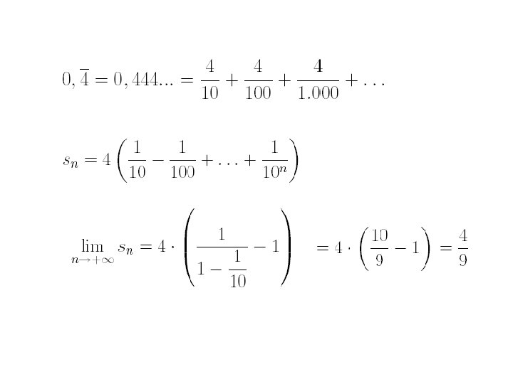
Impossibilità del periodo 9
Frazione generatrice Regola - Per trasformare un numero decimale in frazione si scrive una frazione che ha per numeratore il numero dato senza la virgola e gli eventuali zeri iniziali e per denominatore il numero 1 seguito da tanti zeri quanti sono le cifre decimali del numero dato. Esercizio – riottenere la regola della frazione generatrice utilizzando le serie geometriche
Primo paradosso contro il movimento (Paradosso del mediano) Esso afferma che non si può giungere all'estremità di uno stadio senza prima aver raggiunto la metà di esso, ma prima di raggiungerla si dovrà raggiungere la metà della metà e così via senza quindi mai riuscire a raggiungere l'estremità dello stadio.
Quarto paradosso contro il movimento (Six Nation paradox) In esso Zenone afferma che se due masse in uno stadio si vengono incontro, risulterà l'assurdo logico che la metà del tempo equivale al doppio.
serie teoria della relatività ristretta (1905) limite Newton Leibnitz Cauchy
IL PARADOSSO DELL’INSEGNANTE Un’insegnante annuncia agli alunni: “La prossima settimana vi darò un compito in classe ma non saprete in che giorno”. Uno studente fa notare che hanno lezione con la professoressa il Lunedì, il Mercoledì e il Venerdì e giunge a dire che il compito non si farà. Perché? Compito a sorpresa
IL PARADOSSO DEL COCCODRILLO Un coccodrillo cattura un bambino per mangiarlo e dice alla sua mamma: “se indovini ciò che voglio fare a tuo figlio, te lo ridarò; se sbagli, non lo rivedrai più. La donna risponde: “ Tu hai intenzione di mangiare mio figlio” Cosa fa il coccodrillo?
IL PARADOSSO DEL FRONTE RETRO Nel 1913 il matematico francese P. E. B. Jourdain presentò il segu paradosso: “La frase scritta sul retro è vera” e sul retro “La frase scritta sul retro è falsa”. CINQUE O SEI? Tutti noi sappiamo che il contrario di una cosa vera è una cosa fal viceversa ma non è sempre così. Si considerino le frasi seguenti: “Questa frase ha sei parole” “Questa frase non ha sei parole”.
PARADOSSI GIURIDICI 1. per ottenere il contratto di fornitura del gas occorre presentare il certificato di avvenuto collaudo ad opera dell’istallatore; 2. per effettuare il collaudo occorre che il gas venga erogato: 3. l’erogazione del gas avviene solo dopo la stipula del contratto di fornitura!