I 2 Subspaces and Spanning Sets Definition 2
I. 2. Subspaces and Spanning Sets Definition 2. 1: Subspaces For any vector space, a subspace is a subset that is itself a vector space, under the inherited operations. Note: A subset of a vector space is a subspace iff it is closed under & . → It must contain 0. (c. f. Lemma 2. 9. ) Example 2. 2: Plane in R 3 Proof: is a subspace of R 3. Let → with → QED
Example 2. 3: The x-axis in Rn is a subspace. Proof follows directly from the fact that Example 2. 4: • { 0 } is a trivial subspace of Rn. • Rn is a subspace of Rn. Both are improper subspaces. All other subspaces are proper.
Example 2. 11: Parametrization of a Plane in R 3 is a 2 -D subspace of R 3. i. e. , S is the set of all linear combinations of 2 vectors (2, 1, 0)T, & ( 1, 0, 1)T. Example 2. 12: Parametrization of a Matrix Subspace. is a subspace of the space of 2 2 matrices.
Definition 2. 13: Span Let S = { s 1 , …, sn | sk ( V, +, R ) } be a set of n vectors in vector space V. The span of S is the set of all linear combinations of the vectors in S, i. e. , with Lemma 2. 15: The span of any subset of a vector space is a subspace. Proof: Let S = { s 1 , …, sn | sk ( V, +, R ) } and QED Converse: Any vector subspace is the span of a subset of its members. Also: span S is the smallest vector space containing all members of S.
Example 2. 16: For any v V, span{v} = { a v | a R } is a 1 -D subspace. Example 2. 17: Proof: The problem is tantamount to showing that for all x, y R, unique a, b R s. t. i. e. , Since has a unique solution for arbitrary x & y. QED
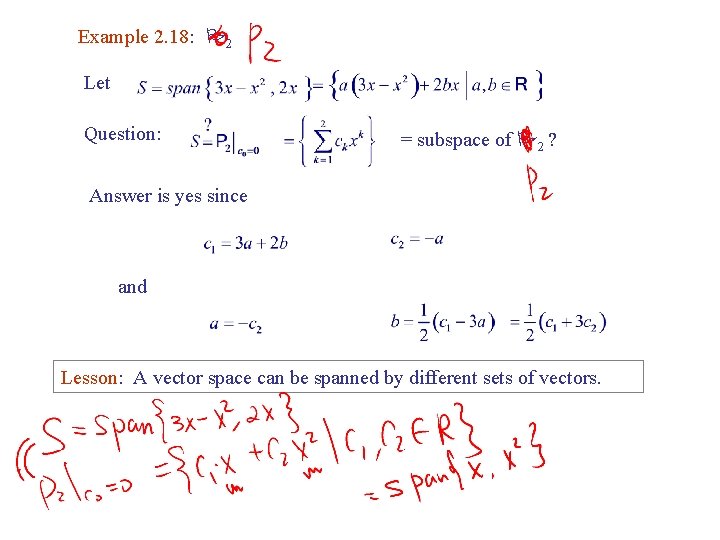
Example 2. 18: P 2 Let Question: = subspace of P 2 ? Answer is yes since and Lesson: A vector space can be spanned by different sets of vectors.
- Slides: 6