Hukum Newton tentang Gerak Gaya Interaksinya Gaya yang
























- Slides: 24
Hukum Newton tentang Gerak
Gaya & Interaksinya Gaya yang melibatkan kontak langsung antara dua buah benda atau lebih Gaya tetap bekerja meskipun dipisahkan oleh ruang kosong Gaya Kontak Contact force Gaya Jarak Jauh Long range force
Gaya sebagai Vektor y F Fy=F sin q x Fx=F cos q
Penjumlahan beberapa Gaya F 2 F 1 F 3
Ingat bab 1
Hukum I Newton Ketika tidak ada gaya yang bekerja pada sebuah benda, atau ketika jumlah vektor dari semua gaya yang bekerja padanya (gaya total) adalah nol, maka benda pada kesetimbangan
Hukum II Newton Jika suatu gaya luar total bekerja pada sebuah benda, maka benda akan mengalami percepatan. Arah percepatan tsb sama dengan arah gaya total. Vektor gaya sama dengan massa benda dikalikan dengan percepatan benda
Hukum III Newton Jika benda A memberikan gaya pada benda B (aksi), maka benda B akan memberikan gaya pada benda A (reaksi). Kedua gaya memiliki besar yang sama tetapi arahnya berlawanan. Kedua gaya bekerja pada benda yang berlainan.
Contoh Soal 1. Dua gaya memiliki nilai yang sama dengan F. Berapa sudut antara dua vektor jika jumlahnya bernilai a) 2 F b) 2 F c) nol Buatlah sketsa ketiganya!
Contoh Soal 2. Sebuah peti yang memiliki massa 32, 5 kg dalam keadaan diam di atas lantai gudang, mengalami gaya mendatar sebesar 140 N. a) berapa besar percepatan yang dihasilkan? b) Berapa jauh peti bergerak dalam waktu 10, 0 s? c) Berapa kecepatannya setelah 10, 0 s?
Percepatan yang dialami peti ketika didorong oleh gaya 140 N adalah 4, 31 ms-2
Jarak yang ditempuh peti ketika didorong oleh gaya 140 N selama 10, 0 s adalah 215, 5 meter
Setelah menempuh watu 10, 0 s kecepatan peti menjadi 43, 1 ms-1
Contoh Soal 3. Bayangkan bahwa anda memegang sebuah buku seberat 4 N pada telapak tangan Anda. Lengkapilah kata-kata berikut: a) b) c) d) Gaya kebawah sebesar 4 N pada buku diberikan oleh ___ Gaya ke atas sebesar ___ diberikan pada ____ oleh tangan. Apakah gaya keatas merupakan bagian dari b)? Reaksi gaya di bagian a) besarnya _____ diberikan pada ____, oleh ___. Arahnya adalah ___. Reaksi gaya di bagian b) besarnya _____ diberikan pada ____, oleh ___. Arahnya adalah ___. Gaya pada bagian a) dan b) adalah sama dan bertolak belakang, disebabkan oleh hukum ___ newton. e) f)
Contoh Soal 3. Bayangkan bahwa anda memegang sebuah buku seberat 4 N pada telapak tangan Anda. Lengkapilah kata-kata berikut: a) b) c) d) Gaya kebawah sebesar 4 N pada buku diberikan oleh ___ Gaya ke atas sebesar ___ diberikan pada ____ oleh tangan. Apakah gaya keatas merupakan bagian dari b)? Reaksi gaya di bagian a) besarnya _____ diberikan pada ____, oleh ___. Arahnya adalah ___. Reaksi gaya di bagian b) besarnya _____ diberikan pada ____, oleh ___. Arahnya adalah ___. Gaya pada bagian a) dan b) adalah sama dan bertolak belakang, disebabkan oleh hukum ___ newton. e) f)
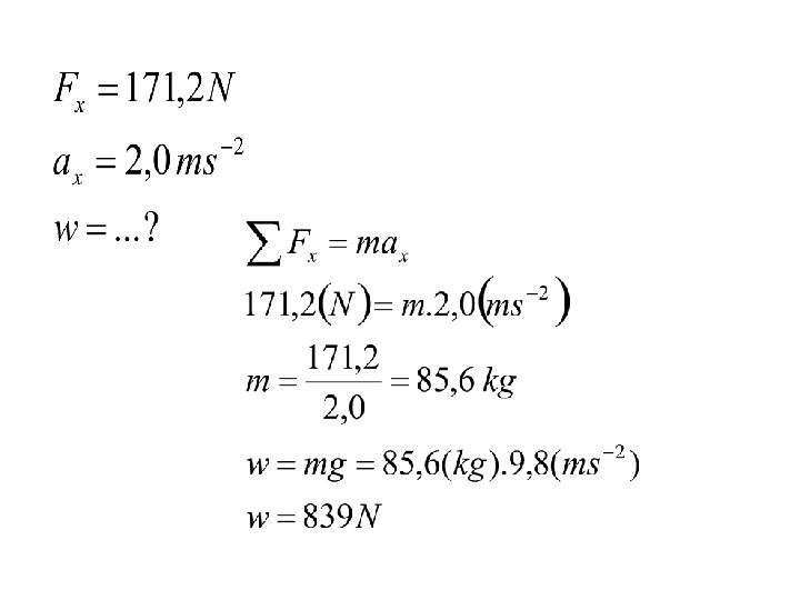
1. Dua pria dewasa dan seorang anak kecil hendak mendorong sebuah peti. Kedua pria mendorong dengan gaya mendatar yang besar dan arahnya spt gambar. a) cari besar dan arah gaya terkecil yang harus diberikan oleh anak kecil itu! b). Jika anak memberikan gaya minimum dari a), peti mengalami percepatan 2, 0 ms-2 dalam arah x positif. Berapa berat peti tsb?