HORMON Mekanisme Umum Kerja dan Pengaturannya Introduksi Sistem



























































































- Slides: 91
HORMON Mekanisme Umum Kerja dan Pengaturannya
Introduksi Sistem Endokrine Definisi dan Gambaran Umum Tipe Hormon Fungsi Sistem Endokrin Komponen Sistem Endokrin Struktur Kimiawi Hormon Homeostasis Sisitem Endokrin vs. Sistem Syaraf Kontrol Aktivitas Endokrin Pengaturan Sekresi Hormon Transpor dan Distribusi Hormon Mekanisme Kerja Hormon Pengaturan Reseptor Hormon
Definisi dan Gambaran Umum 1. Kelenjar endokrin tidak mempunyai saluran 2. Kelenjar endokrin kaya akan suplai darah. 3. Hormon, dihasilkan oleh kelenjar endokrin dan disekresikan langsung ke dalam aliran darah 4. Hormon mengalir dalam darah menuju sel target dekat atau jauh dari asal sekresi 5. Reseptor hormon secara spesifik mengikatkan hormon pada sel target.
Definisi • Endokrin--endo = didalam. Merupakan sistem yang mengendalikan tubuh melalui fungsi hormon. • Sistem endokrin terdiri dari beberapa kelenjar • Kelenjar merupakan jaringan khusus yang menghasilkan hormon atau sekret lainnya
Definisi • Apa yang disebut hormon? Hormon merupakan zat kimiawi organik dihasilkan oleh sel endokrin yang bertindak sebagai pembawa pesan kimiawi dan dialirkan kedalam darah. Hormon mengatur, mengintegrasi dan mengendalikan fungsi fisiologik Silverthorn, Human Physiology, 3 rd edition Figure 6 -1&2
Definisi • Apakah reseptor hormon ? Reseptor hormon pengikat hormon di sel target (apakah di permukaan sel atau didalam sitoplasma atau nukleus sel target ) Reseptor hanya mengikat hormon yang diperuntukan baginya (pasangannya) Tanpa ikatan reseptor dan hormon, hormon tidak dapat bekerja atas sel
Definisi • Apa yang dimaksud dengan kelenjar endokrin? Kelenjar endokrin merupakan kelenjar tanpa saluran yang terdiri dari beberapa sel kelenjar. Karena tak punya saluran , maka produknya tak dituang ke luar tubuh melainkan dituangkan kedalam aliran darah. Misal, kelenjar keringat BUKAN kelenjar endokrin (disebut kelenjar eksokrin) karena menuangkan produknya keluar tubuh melalui kulit.
Definisi • Apakah sel target ? Sel target adalah sel yang berisi reseptor khusus bagi hormon khusus (pasangannya). Tugas sel target dalah mengkita hormon melalau reseptornya Sekali hormon terikat pada resepor sel target, serial aktivitas akan terjadi didalam sel dan berdampak pasda ekspresi gen dan sintesa protein Silverthorn, Human Physiology, 3 rd edition Figure 6 -1&2
Growth hormone mengatur pertumbuhan sel dengan mengikatkan growth hormone pada reseptor sel target.
Tipe Hormon Steroid • merupakan derivat kolesterol. • Misal: testosteron, estrogen, progesteron, mineralokortikoids, glukokortikoid. • Steroid dapat melintasi membran plasma !. Hormon Protein • dibuat dari asam amino. • Misal: Insulin, hypothalmus-signaling hormones. • hormon protein tidak dapat melintasi membran plasma !
Struktur Kimiawi Hormon • • Dua kelas umum hormon berdasarkan daya larutnya : larut dalam air dan larut dalam lemak. Larut dalam air (polar): derivat protein, glikoprotein, polipeptida, asam amino. Larut dalam lemak (nonpolar): derivat steroid, asam amino , asam lemak. Kelas yang berbeda , maka mekanisme aksinya juga berbeda , berbeda transpornya dalam tubuh dan stabilitasnya dalam sirkulasi
Contoh Hormon Larut Dalam Air • • Protein: growth hormone, prolactin, insulin Glikoprotein: follicle-stimulating hormone (FSH), luteinizing hormone (LH) , thyroidstimulating hormone (TSH) Polipeptida: arginine vasopressin, oxytocin, somatostatin Derivat asam amino : epinephrine, melatonin
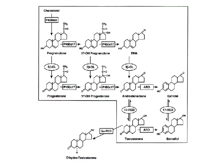
Kelas Hormon • Hormon Steroid vs. Peptida Sesuai struktur molekul dan sintesa nya, maka hormon dikategorikan dalam 2 kelas umum • hormon steroid disusun dari precursor (precursor = langkah awal dalam perjalanan biosintesa ) kolesterol. Lihat paparan berikutnya diagram proses biosintesa hormon steroid dari kolesterol
Hormon Steroid • hormon steroid dihasilkan oleh gonad dan korteks adrenal. • hormon tiroid bukan steroid, namun untuk menyederhanakannya dikategorikan sebagai steroid. • hormon steroid dibuat dari kolesterol dalam retikulum endoplasmik halus dan mitokondria sel endokrin.
Contoh yang larut dalam Lemak • Steroid: estrogen, progesteron, testosteron, glukokortikoid, mineralokortikoids • Derivat asam amino : hormon tiroid (T 3, T 4) • Asam lemak: prostaglandin, thromboxan
Hormon Steroid • Hormon Steroid tidak dapat disimpan dalam vesikula dalam sel endokrin yang menghasilkannya. Begitu hormon steroid dihasilkan, mereka disebarkan keluar sel endokrin dan masuk aliran darah. • Hormon Steroid larut dalam lipid dan reseptornya berlokasi didalam sel targetnya
Hormon Peptida • Hormon Peptida mempunyai rantai asam amino. • Seperti kebanyakan protein, hormon peptida disintesa pada ribosomes dari retikulum endoplasma sel endokrin. • Hormon Peptida dapat disimpan dalam vesikula sel endokrin sampai saat mereka dibutuhkan kemudian
Hormon Peptida • Hormon Peptidak dapat melintasi membran sel (lipid bilayers) dan mereka disebut water soluble. • Reseptor Hormon Peptida berada diatas permukaan sel target
Beberapa Aksi Umum Hormon • Hormon membuat perubahan sel. • Hormon dapat mengubahekspresi gen (DNARNA-Protein). • Hormon dapat meluncurkan ensim pengendali metabolisme • Hormon mendorong sistem reproduksi
Beberapa Aksi Umum Hormon • • • Perkembangan diferensiasi janin Pertumbuhan sel dan kanker Metabolisme Fungsi kardiovaskular Fungsi renal Fungsi skeletal Fungsi reproduksi Fungsi kekebalan Fungsi sistem syaraf pusat
Homeostasis • Definition: the maintenance of a constant environment (internal). • Parameters regulated: Temperature, osmolarity, p. H, nutrient levels, hormone levels, etc. • Homeostasis is critical for cell viability and proper functioning. • Loss of homeostasis results in disease/death. • Homeostasis is maintained by feedback mechanisms (primarily negative feedback).
Contoh: Pengaturan pelepasan LH pada Laki-laki • LH meningkatkan produksi testosteron dari testis. • Testosteron memberi umpan balik pada pituitari guna menghambat pelepasan LH. pituitary (-) LH testis testosterone
Contoh Homeotasis: Pengaturan tingkat p. H Darah Blood p. H 7. 5 7. 3
Kendali Umpan Balik • Umpan balik negatif pada umumnya merupakan kendali normal: misal, LH dari pituitari merangsang testis m=untuk mengeluarkan testosterone, yang kemudian akan menghambat sekresi LH • Umpan balik positif biasanya abnormal : misal stimulasi estrogen pada LH akan merangsang gelombang ovulasi LH
Efek Umpan Balik Negatif kortisol
Kendali Substrat-hormon • Glukosa dan insulin: ketika kadar glukosa meningkat, ia menstimulasi pankreas untuk menghasilkan insulin
Kendali umpan balik insulin oleh konsentrasi glukosa
Ikhtisar Endokrin • Hormon dilepas oleh kelenjar. • Hormon dilepas atas dasar umpan balik. • Tubuh bekerja dengan seksama mengatur kadar hormon. • Umpan balik negatif biasanya mengendalikan sekresi hormon.
Homeostasis dan Kendali • Kompensasi berhasil : – mengembalikan homeostasis • Konpensasi gagal – Patofisiologi • Penyakit • Kematian Figure 1 -5: Homeostasis
Lengkung Umpan Balik Figure 6 -26: Negative and positive feedback
Kendali Umpan Balik Negatif Lengkung Refleks Panjang dan Pendek
Ikhtisar Jaras Refleks Endokrin
Patologi : Produksi Kurang atau Berlebih
Patologi: Akibat Reseptor
Endokrin vs. Sistem Syaraf • Komunikasi utama sistem dalam tubuh • mengintegrasi perubahan stimuli dan respon lingkungan dalam dan luar tubuh • Keduanya penting untuk dikoordinasikan dalam fungsinya mendeferensiasi sel, jaringan dan organ • Tidak seperti sistem syaraf, secara anatomis sistem endokrin terputus
Sistem Syaraf • Sistem syaraf berjalan dari titik ke titik mengendalikan syaraf, sama dengan mengantar pesan melalui telefon konvensional. Sistem syaraf berjalan dan berespon cepat dan mengalirkan energi listrik
Sistem Endokrin dan Sistem Syaraf Sistem Endokrin Sistem Syaraf
Sistem Endokrin dan Sistem Syaraf Sistem Endokrin Komunikasi: pembawa pesan kimiawi atau hormon Sistem Syaraf
Sistem Endokrin dan Sistem Syaraf Sistem Endokrin Komunikasi: pembawa pesan kimiawi atau hormon Sistem Syaraf Komunikasi: melalui impuls syaraf
Sistem Endokrin dan Sistem Syaraf Sistem Endokrin Komunikasi: pembawa pesan kimiawi atau hormon Transmisi: melalui aliran darah Sistem Syaraf Komunikasi: melalui impuls syaraf
Sistem Endokrin dan Sistem Syaraf Sistem Endokrin Sistem Syaraf Komunikasi: pembawa pesan kimiawi atau hormon Komunikasi: melalui impuls syaraf Transmisi: melalui aliran darah Transmisi: melalui serabut syaraf
Sistem Endokrin dan Sistem Syaraf Sistem Endokrin Sistem Syaraf Komunikasi: pembawa pesan kimiawi atau hormon Komunikasi: melalui impuls syaraf Transmisi: melalui aliran darah Transmisi: melalui serabut syaraf Target organ menerima pesan
Sistem Endokrin dan Sistem Syaraf Sistem Endokrin Sistem Syaraf Komunikasi: pembawa pesan kimiawi atau hormon Komunikasi: melalui impuls syaraf Transmisi: melalui aliran darah Transmisi: melalui serabut syaraf Target organ menerima pesan Efektor menerima pesan
Sistem Endokrin dan Sistem Syaraf Sistem Endokrin Sistem Syaraf Komunikasi: pembawa pesan kimiawi atau hormon Komunikasi: melalui impuls syaraf Transmisi: melalui aliran darah Transmisi: melalui serabut syaraf Target organ menerima pesan Efektor menerima pesan Transmisi: relatif lambat
Sistem Endokrin dan Sistem Syaraf Sistem Endokrin Sistem Syaraf Komunikasi: pembawa pesan kimiawi atau hormon Komunikasi: melalui impuls syaraf Transmisi: melalui aliran darah Transmisi: melalui serabut syaraf Target organ menerima pesan Efektor menerima pesan Transmisi: relatif lambat Transmisi: sangat cepat
Sistem Endokrin dan Sistem Syaraf Sistem Endokrin Sistem Syaraf Komunikasi: pembawa pesan kimiawi atau hormon Komunikasi: melalui impuls syaraf Transmisi: melalui aliran darah Transmisi: melalui serabut syaraf Target organ menerima pesan Efektor menerima pesan Transmisi: relatif lambat Transmisi: sangat cepat Efek: tersebar luas
Sistem Endokrin dan Sistem Syaraf Sistem Endokrin Sistem Syaraf Komunikasi: pembawa pesan kimiawi atau hormon Komunikasi: melalui impuls syaraf Transmisi: melalui aliran darah Transmisi: melalui serabut syaraf Target organ menerima pesan Efektor menerima pesan Transmisi: relatif lambat Transmisi: sangat cepat Efek: tersebar luas Efek: setempat
Sistem Endokrin dan Sistem Syaraf Sistem Endokrin Sistem Syaraf Komunikasi: pembawa pesan kimiawi atau hormon Komunikasi: melalui impuls syaraf Transmisi: melalui aliran darah Transmisi: melalui serabut syaraf Target organ menerima pesan Efektor menerima pesan Transmisi: relatif lambat Transmisi: sangat cepat Efek: tersebar luas Efek: setempat Respon: lambat
Sistem Endokrin dan Sistem Syaraf Sistem Endokrin Sistem Syaraf Komunikasi: pembawa pesan kimiawi atau hormon Komunikasi: melalui impuls syaraf Transmisi: melalui aliran darah Transmisi: melalui serabut syaraf Target organ menerima pesan Efektor menerima pesan Transmisi: relatif lambat Transmisi: sangat cepat Efek: tersebar luas Efek: setempat Respon: lambat Respon: cepat
Sistem Endokrin dan Sistem Syaraf Sistem Endokrin Sistem Syaraf Komunikasi: pembawa pesan kimiawi atau hormon Komunikasi: melalui impuls syaraf Transmisi: melalui aliran darah Transmisi: melalui serabut syaraf Target organ menerima pesan Efektor menerima pesan Transmisi: relatif lambat Transmisi: sangat cepat Efek: tersebar luas Efek: setempat Respon: lambat Respon: cepat Respon berjangka panjang
Sistem Endokrin dan Sistem Syaraf Sistem Endokrin Sistem Syaraf Komunikasi: pembawa pesan kimiawi atau hormon Komunikasi: melalui impuls syaraf Transmisi: melalui aliran darah Transmisi: melalui serabut syaraf Target organ menerima pesan Efektor menerima pesan Transmisi: relatif lambat Transmisi: sangat cepat Efek: tersebar luas Efek: setempat Respon: lambat Respon: cepat Respon berjangka panjang Respon berjangka pendek
Sistem Endokrin dan Sistem Syaraf Sistem Endokrin Sistem Syaraf Komunikasi: pembawa pesan kimiawi atau hormon Komunikasi: melalui impuls syaraf Transmisi: melalui aliran darah Transmisi: melalui serabut syaraf Target organ menerima pesan Efektor menerima pesan Transmisi: relatif lambat Transmisi: sangat cepat Efek: tersebar luas Efek: setempat Respon: lambat Respon: cepat Respon berjangka panjang Respon berjangka pendek Efek: permanen & irreversible
Sistem Endokrin dan Sistem Syaraf Sistem Endokrin Sistem Syaraf Komunikasi: pembawa pesan kimiawi atau hormon Komunikasi: melalui impuls syaraf Transmisi: melalui aliran darah Transmisi: melalui serabut syaraf Target organ menerima pesan Efektor menerima pesan Transmisi: relatif lambat Transmisi: sangat cepat Efek: tersebar luas Efek: stempat Respon: lambat Respon: cepat Respon berjangka panjang Respon berjangka pendek Efek: permanen & irreversible Efek: temporer dan reversible
Fungsi Sistem Endokrin • • • Berkontribusi dan berinteraksi degan fungsi kendali dan integrasi dari sistem syaraf Penting guna memertahankan homeostasis (set points), biasanya melalui umpan balik negatif Biasanya ikut serta dalam proses kendali gerak menjauh dari set point (umpan balik positif )
Mengapa kendali memerlukan KEDUA SISTEM ? • • Sistem syaraf merespon erubahan lingkungan dengan cepat, sementara sistem hormon merespon secara bertahap. Dampak aksi sistem syaraf berdurasi pendek, sementara efek endokrin lebih panjang. Sinyal syaraf (neurotransmitter) rapi terlokalisasi (dalam sinaps), sinyal endokrin (sekresi hormon) bersifat sistemik. Besaran efek sistem syaraf tergantung pada frekuensi potensial aksi (modulasi frekuensi); besaran efek endokrintergantung juimlah hormon yang dilepaskan (modulasi amplitudo ).
Hormon mengalir dalam aliran darah menuju sel target • Sistem endokrin menyebarkan pesan hormonal penting kepada semua sel ketika ia ikut aliran darah dan masuk cairan ekstraseluler. Seperti radio , ia memerlukan alat penerima pesan dalam pesan endokrin, sel harus mempunyai penerima pesan reseptor sehingga dapat merespon pesan dari hormon
Sel merupakan target karena ia mempunyai reseptor spesifik untuk hormon tertentu Kebanyakan hormon ikut aliran darah, berkontak dengan sel penting yang mempunyai reseptor dari hormon tertentu. Hormon tertentu itu biasanya memengaruhi sejumlah terbatas sel yakni sel target. Sebuah sel target akan merespon hormon karena ia punya reseptor yang sesuai dengan hormon itu
Fungsi prinsip sistem endokrin • Memelihara lingkungan dalam badan (memelihara lingkungan biokimiawi optimal). • Integrasi dan regulasi pertumbuhan dan perkembangan. • Mengendalikan, mengatur sistem reproduksi seksual termasuk gametogenesis, coitus, fertilisasi, pertumbuhan janin , perkembangan dan pemberian nutrisi bayi
Tipe dari cell-to-cell signaling Hormon endokrin mengalir ikut aliran darah menuju sel target ; neurohormon dilepas via sinaps dan berjalan bersama aliran darah; hormon parakrin beraksi pada sel disebelahnya dan hormon autokrin dilepas dan beraksi pada sel yang menyekresikannya. Hormon intrakrin beraksi dalam sel yang menghasilkannya
Respons vs. mengalir jauh Aksi endokrin: hormon didistribusikan dalam darah dan diikat pada sel target yang jauh. Aksi parakrin: hormon beraksi lokal dengan cara berdifusi dari sumbernya ke sel target di tetangganya. Aksi otokrin: hormon beraksi pada sel target yang sama yang menghasilkannya
Sistem dan Hormon Utama • Organisasi komando dari atas ke bawah. • Hipothalamus menghasilkan faktor pelepas yang merangsang produksi hormon pituitari anterior yang kemudian beraksi pada kelenjar endokrin agar melep[as hormon ketiga. – Contoh spesifik berikutnya • Hormon pituitari posterior disintesa di badan sel neuronal dalam hipothalamus dan dilepas via synaps dalam pituitari posterior. – Oksitosin dan antidiuretic hormone (ADH)
Pengaturan sekresi hormon Ø Sensing and signaling: sistem endokrin mengirim sinyal ke sel target yang peka sebagai pemenuhan kebutuhan biologiknya. Gambaran kunci sistem stimulus respons sbb: · · · menerima stimulus sintesa dan sekresi hormon mengantar hormon ke sel target menggugah sel target untuk merespon degradasi hormon
Beberapa Tipe khusus Sinyaling Kimiawi • • Hormon: zat kimiawi yang dilepas masuk dalam aliran darah, berjalan jauh dari sumbernya Faktor Autokrin: chemical signal dilepas dari sel tipe dan aksi yang sama kimiawi
Beberapa Tipe khusus Sinyaling Kimiawi • Faktor Parakrin: czat kimia dilepas dari satu tipe sel dan beraksi secara lokal pada sel lainnya yang sama tipenya (dalam jaringan yang sama) kimiawi
Beberapa Tipe khusus Sinyaling Kimiawi • Feromon: zat kimiawi yang dilepas ke lingkungan , dapat memengaruhi individu lainnya
Beberapa Tipe khusus Sinyaling Kimiawi • • Neurotransmitter: zat kimiawi yang dilepas dalam celah sinaps , memengaruhi sel pasca sinaps Neurohormon: zat kimiawi yang dilepas dari neuron kedalam aliran darah, bertindak di tempat yang jauh
Seberapa Besar Dampak Hormon ? 1) Jumlah besaran hormon dalam aliran darah (mencapai jaringan target) - makin banyak hormon , makin besar dampaknya 2) Adanya dan jumlah reseptor untuk hormon tersebut di jaringan target. - tak ada reseptor, tak ada respons - beberapa reseptor, sedikit respons - banyak reseptor, respons besar
Pengaturan Kadar Hormon • • Hormon disekresikan tidak sama iramanya Pengaturan kadar hormon sbb: - pengaturan produksi - pengaturan sekresi (seringkali merupakan langkah terpisah) - kadang, pengaturan hormon sesuai dengan metabolisme
Role of Feedback in Secretion • • • The secretion of hormones is usually dependent upon feedback mechanisms Negative feedback: a stimulus causes an endocrine response (hormone secretion) which will decrease the level of that stimulus Positive feedback: a stimulus causes a response which will increase the level of that stimulus
Patterns of Hormone Secretion • • There are three basic patterns of secretion: pulsatile, acute, and cyclic. Pulsatile: relatively constant level of hormone, over a long period Acute: rapid increase in hormone level for a short time in response to a stimulus Cyclic: hormone increases and decreases in a constant pattern
Mekanisme Pengaturan Hormon • • • Pengaturan neuron: neuron bersinap dengan sel penghasil hormon (misal, norepinephrine dilepas dari kelenjar adrenal). Pengaturan endokrin: hormon diikatkan pada sel endokrin, mengatur pelepasan hormon lainnya (misal, FSH merangsang pelepasan estrogen ) Pengaturan oleh faktor lain (humoral): sel endokrin merespon kadar faktor lain dalam aliran darah (misal, kadar glukos dalam darah meningkatkan sekresi insulin dari pankreas)
Pola Sekresi Pulsatil Akut Siklik
Peningkatan siklik Hormon reproduksi Siklus Ovarii Tikus LH Kadar Hormon E 2 FSH Diestrus Proestrus hari 1 hari ke 2 Estrus
Perjalanan Hormon dari Sel Penghasil ke Sel Target • • Beberapa hormon diikat oleh protein (binding proteins) dalam aliran darah hormon + binding protein <----> kompleks - hormon harus dilepas dari ikatannya untuk dapat bersaksi pada jaringan - binding proteins memertahankan hormon terus beredar dalam sirkulasi -beberapa binding proteins sangat spesifik , beberapa kurang spesifik Ada hormon yang berenang bebas dalam sirkulasi darah tanpa protein pengikat (no binding proteins)
Distribusi Hormon • Hormon didistribusikan melalui aliran darah ke semua bagian tubuh sesuai daya hantar darah
life? • • Hormon dimetabolisir, artinya dipecah dam/atau diekskresikan (dibuang) dari badan. Kecepatan menghilangkan hormon dari sirkulasi darah untuk setiap jenis hormon biasanya konstan Panjangnya waktu yang digunakan untuk melepas hormon dari sirkulasi separuh dari jumlah yang beredar disebut waktu paruh (half-life ) hormon tersebut. 100% Jumlah hormon • 50% 0% Waktu
Apa yang dimaksud dengan half-life? • • Pada umumnya , hormon yang larut dalam air mempunyai waktu paruh lebih pendek daripada hormon yang larut dalam lemak (degradasi cepat dalam ginjal, liver, paru) Hormon yang masa paruhnya pendek membuat kadarnya dalam darah berubah cepat. Larut dalam lemak 0 30 60 Larut dalam air 0 WAKTU 30 60
Konjugasi Hormon • • • Beberapa hormon (seperti steroid) dimetabolisme di liver (konjugasi). Kelompok yang larut dalam air ditambahi (asam sulfat, asam glukoronat), menurunan dan meningkatkan aktivitas kelarutannya dalam air dari hormon. Peningkatan kelarutan dalam air pada hormon meningkatkan kecepatan ekskresi hormon oleh ginjal
Mekanisme Aksi Hormon: Reseptor • • • Agar hormon dapat melakukan aktivitasnya didalam sel, maka sel harus mempunyai reseptor untuk hormon dimaksud. Reseptor mengikat hormon , berakibat respon biologik. Reseptor hanya ditemukan di jaringan target untuk hormon tersebut. Reseptor sangat spesifik , hanya mengikat hormon pasangannya , bukan lainnya Reseptor mempunyai afinitas kuat untuk hormon pasangannya (hanya dengan kadar rendah sekalipun hormon dapat diikatnya)
Kerja Reseptor • • Mengaktifkan sistem second messenger (cyclic AMP, cyclic GMP). PFosforilasi sel protein , memengaruhi aktivitasnya Mengendalikan kanal ion Mengatur transkripsi gen
Tipe Reseptor Pengikat di Membran
Tipe Reseptor • Membrane Bound: Untuk hormon yang tidak memasuki sel , maka reseptornya terletak pada permukaan sel membran. Ini tipikal memengaruhi second messengers, kinase, dan kanal ion. FSH c. AMP protein kinase A
Tipe Reseptor (jenis lainnya) • Intracellular Receptor: hormon steroid , tiroid, dan vitamin D melintasi membran plasma dan diikat ke reseptor dalam sel. Hormon ini : kompleks reseptor mengikat DNA, mengatur ekspresi gen. E 2: R: DNA +, m. RNA protein
Pengaturan Reseptor • • Jumlah reseptor pada sel target menentukan banyaknya hormon yang dapat diikatnya. Dengan meningkatkan atau menurunkan jumlah reseptor maka aktivitas hormon pada sel target dapat diatur. Up-regulation: meningkatkan jumlah reseptor dengan menambah jumlah sintesanya. Down-regulation: menurunkan jumlah reseptor dengan menurunkan jumlah sintesanya dan/atau meningkatkan degradasinya