Hohmann Transfers and Plane Changes Daniel Rowe 1















- Slides: 15
Hohmann Transfers and Plane Changes Daniel Rowe 1
Hohmann Transfer • In its simplest form, a Hohmann transfer is an elliptical orbit used to transfer between two circular orbits. – Most energy efficient transfer technique for the majority of transfer orbit cases 2
Elliptical Starting Orbits • The most efficient transfer is from perigee A of orbit 1, regardless of whether B or B’ is apogee of orbit 2. • If orbit 1 is a circle, the target point should be the apogee of orbit 2. 3
Bi-Elliptic Transfers • More efficient than Hohmann transfers when transferring from a very low orbit to a very high orbit – More efficient than Hohmann if r. C/r. A > 15. 58 – If 11. 94 < r. C/r. A < 15. 58, the relative efficiency depends on how far out point B is. 4
Example: Efficiency Determination • 300 km altitude LEO to 35, 786 km GEO – r. C= 300 + 6, 371 = 6, 673 km – r. A= 35, 793 + 6, 371 = 42, 164 km – r. C/r. A= 42, 164/6, 673 = 6. 32<11. 94 • Hohmann transfer is more efficient • To reach a ratio of 15. 58 from a 300 km LEO altitude, one must travel to a radius of 103, 965 km 5
Important Orbital Parameters • For the purposes of this tutorial, the most important orbital parameter for every orbit, is Velocity • For a circular orbit • For an elliptic orbit – Where h is the angular momentum specific to your orbit can be solved from the formula 6
Important Orbital Parameters Cont • Using the above equations, it is a simple matter to find the ΔV requirement for your entire mission – Simply find the differences between the circular orbits’ velocities (1 and 3) and the velocity at periapsis and velocity at apoapsis of your elliptic orbit (2) – Total ΔV is found by adding these two differences 7
Simple Plane Changes • It can be shown that for a plane change accompanied by a speed change • Without any change in speed, this reduces to 8
9
10
11
Simple Plane Changes • It can be shown that for a plane change accompanied by a speed change • Without any change in speed, this reduces to 12
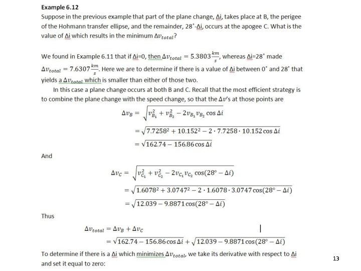
13
14
References • Curtis, Howard D. Orbital Mechanics for Engineering Students. 1 st ed. Amsterdam [u. a. : Elsevier/Butterworth-Heinemann, 2006. Print. • Tran, Peter. STK for Dummies. Jan. -Feb. 2011. Raw data. Pomona, CA. • The Astrogator’s Guild. Web. 23 Jan. 2011. <http: //www. astrogatorsguild. com/>. • Analytical Graphics, Inc. Web. 4 Feb. 2011. <http: //www. agi. com/default. aspx>. 15