HKN ECE 329 Exam 1 Review Session Jason

  • Slides: 32
Download presentation
HKN ECE 329 Exam 1 Review Session Jason Pan Sanat Pandey

HKN ECE 329 Exam 1 Review Session Jason Pan Sanat Pandey

Topics ● ● ● ● Vector Calculus Review Coulomb’s Law and Lorentz Force Maxwell’s

Topics ● ● ● ● Vector Calculus Review Coulomb’s Law and Lorentz Force Maxwell’s Equations Boundary Conditions Conductors Dielectrics Capacitance

Vector Review ● Dot Product: Scalar result ● Cross Product: Vector result ● Del

Vector Review ● Dot Product: Scalar result ● Cross Product: Vector result ● Del Operator

Vector Calculus Review ● Gradient ● Divergence ● Curl ● Laplacian

Vector Calculus Review ● Gradient ● Divergence ● Curl ● Laplacian

Vector Calculus Theorems ● Stokes Theorem ● Divergence Theorem ● Helmholtz Theorem

Vector Calculus Theorems ● Stokes Theorem ● Divergence Theorem ● Helmholtz Theorem

Conservative Fields ● Have a defined scalar potential C ● Are curl free C

Conservative Fields ● Have a defined scalar potential C ● Are curl free C 1 ● Line integrals are path-independent C 2 ● Closed loop integrals are zero

Coulomb’s Law and Lorentz Force ● Coulomb’s Law: For point charges ● Lorentz Force

Coulomb’s Law and Lorentz Force ● Coulomb’s Law: For point charges ● Lorentz Force

Maxwell’s Equations (and Continuity Equation)

Maxwell’s Equations (and Continuity Equation)

Boundary Conditions ● Helpful at edges between materials

Boundary Conditions ● Helpful at edges between materials

Conductors ● For perfect conductor: E-field is zero inside ○ Charges will accumulate on

Conductors ● For perfect conductor: E-field is zero inside ○ Charges will accumulate on surfaces Dielectrics ● Dipoles orient according to external electric field

Capacitance

Capacitance

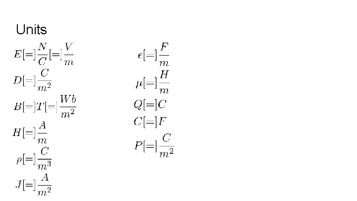
Units

Units

Exam Advice ● Fill up your notecard (yourself!) ● Be careful of multiple choice

Exam Advice ● Fill up your notecard (yourself!) ● Be careful of multiple choice questions ● Use Maxwell’s Equations

Review Problems

Review Problems

Fall 2015, 1. i

Fall 2015, 1. i

Fall 2015, 1. ii

Fall 2015, 1. ii

Spring 2019, 1. i

Spring 2019, 1. i

Spring 2019, 1. ii

Spring 2019, 1. ii

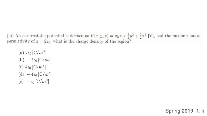
Spring 2019, 1. iii

Spring 2019, 1. iii

Fall 2015, 4

Fall 2015, 4

Spring 2019, 1. iv

Spring 2019, 1. iv

Fall 2018, 1. b

Fall 2018, 1. b

Spring 2018, 3

Spring 2018, 3

Fall 2015, 6

Fall 2015, 6

Fall 2018, 1. e

Fall 2018, 1. e

Spring 2017, 1. v

Spring 2017, 1. v

Spring 2019, 2(a, b)

Spring 2019, 2(a, b)

Fall 2017, 4(a, b)

Fall 2017, 4(a, b)

Fall 2017, 4(c, d)

Fall 2017, 4(c, d)

Spring 2019, 3(a, b)

Spring 2019, 3(a, b)

Spring 2019, 3(c, d, e)

Spring 2019, 3(c, d, e)

Spring 2018, 1. vii

Spring 2018, 1. vii