Hiptesis de un muestreo Capitulo 7 Errores probando
Hipótesis de un muestreo Capitulo 7
Errores probando hipótesis • Ho se rechaza • Ho se acepta • Si Ho es real Si Ho es falso • Error tipo 1 • Ningún error Error tipo II
Errores probando hipótesis • Ho se rechaza • Ho se acepta • Si Ho es real Si Ho es falso • Error • Ningún error Error ß
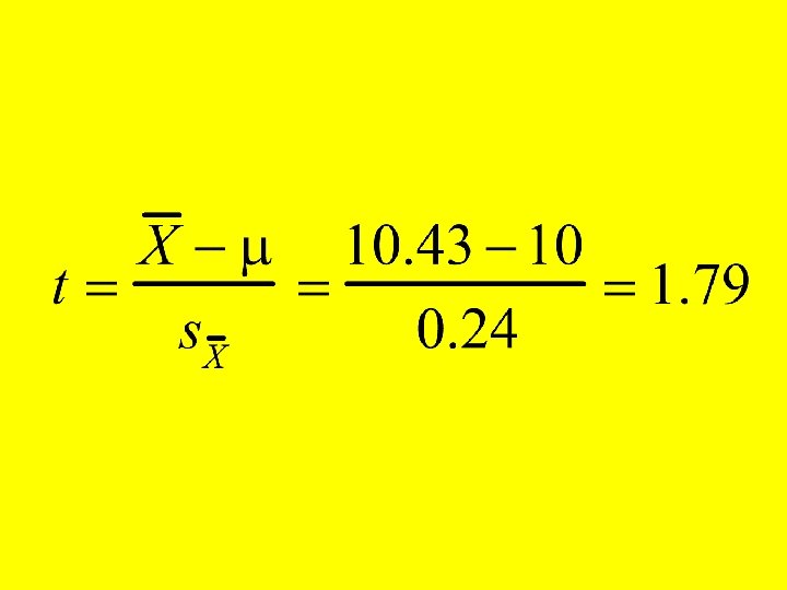
Ejemplo • Cantidad de CO 2 en el aire detectado por un alarma • 10 mg/m 3 mencionado por el manufacturero • n = 18 muestreo • promedio = 10. 43 mg/m 3 • error estandard = 0. 24 mg/m 3 • ¿Es 10. 43 diferente de 10. 00?
El Problema
William Sealy Gosset 1876 -1937 • Guiness Brewer - Cervezero • Dublin, Irlandia
Tabla B. 3
Tipo de error 1 ¿Cuantos error es aceptable?
Grado de libertad
• Cantidad de CO 2 en el aire detectado por un alarma • 10 mg/m 3 mencionado por el manufacturero • n = 18 muestreo • promedio = 10. 43 mg/m 3 • error estandard = 0. 24 mg/m 3 • ¿Es 10. 43 diferente de 10. 00?
T-test o student’s t-test
“Assumptions” Suposiciones • 1. Los datos provienen de una distribución normal • 2. El promedio proviene de una distribución normal • 3. Los datos fueron recopilado de forma al azar
Non-normal data • Porcentaje y proporciones no son normales – Una distribución binomial
Pseudo-replicación • Datos no recopilado al azar – Multiples datos de los mismos individuos
Ejercicio • Temperatura de un sapo • 24. 3°, 25. 8°, 24. 6°, 26. 1°, 22. 9°, 25. 1°, 27. 3°, 24. 0° • Temperatura del ambiente = 24. 3 C°
• • Ho Ha Promedio del muestreo Promedio universal n Alpha Grado de libertad
• Ho: La temperatura del ambiente es igual a la temperatura de los sapos • Ha: La temperatura del ambiente no es igual a la temperatura de los sapos • Promedio del muestreo X = 25. 01 • Promedio universal µ = 24. 3 • N=8 • Alpha = 0. 05 • Grado de libertad = 7 • t = 1. 467 • T 0. 05, (2), 7= 2. 365
Resultado • ¿Se acepta o rechaza la Ho?
Pastilla para rebajar “Fatache” • Cambios de peso • 0. 2, -0. 5, -1. 3, -1. 6, -0. 7, 0. 4, • -0. 1, 0. 0, -0. 6, • -1. 1, -1. 2, -0. 8
¿Cual es la Ho? • Ho: • Ha:
¿Cual es la Ho? • Ho: µ ≥ 0 • Ha: µ < 0
• • • Ho: µ ≥ 0 Ha: µ < 0 Promedio del muestreo x = -0. 61 Promedio universal µ = 0 n = 12 Alpha = 0. 05 Grado de libertad = 11 t = -3. 389 T 0. 05, (1), 11=1. 796
Resultado • ¿Se acepta o rechaza la Ho?
Demostrando variabilidad sobre un Promedio • Variable Peso (promedio y SD) • Hombres 140 lbs ± 5. 0 • Mujer 125 lbs ± 4. 5
Tamaño de muestra • Cuan grande el tamaño de muestra tiene que ser para tener una precición “X” del estimado del promedio de la pobalción
El tamaño de muestra es dependiente de • 1. La diferencia o la precisión del estimado de µ. • 2. La variabilidad en la población • 3. El nivel de confianza aceptable (0. 05, 0, 01, 0. 001? )
N= 40
Ejercicio • Queremos estimar µ con una precisión de 95% con un intervalo de no más de 0, 5 kg. Entonces d = 0. 25 kg, 1 -∂ = 0. 95 y ∂ = 0. 05, y el estimado de la varianza es 0. 4008
- Slides: 33