HamiltonJacobi Modelling of Relative Motion for Formation Flying
Hamilton-Jacobi Modelling of Relative Motion for Formation Flying by Egemen Kolemen 1, N. Jeremy Kasdin 1 & Pini Gurfil 2 1. Princeton University, Mechanical & Aerospace Engineering 2. Technion Israel Institute of Technology, Aerospace Engineering New Trends in Astrodynamics and Applications Princeton, NJ. June 3 -4 2005 1/16
Content 1. Literature 2. Hamilton Jacobi Analysis 3. Results - Eccentric Orbit 4. Results - J 2, J 3, J 4 Perturbation 5. Conclusions “Hamilton-Jacobi Modelling of Relative Motion for Formation Flying” E. Kolemen, J. Kasdin, P. Gurfil 2
Formation Flying Sensor Webs Interferometry Co-observing Stereo Imaging Multi-point observing Aerobots In situ observations Large Constellations Space Station Tethered Interferometry “Aircraft Carrier” to Fleets of Distributed Spacecraft “Hamilton-Jacobi Modelling of Relative Motion for Formation Flying” E. Kolemen, J. Kasdin, P. Gurfil 3
Dynamical Modeling of Relative Motion • Control is expensive • Use natural forces to control • Aim: 1. Initial conditions • Bounded orbits 2. Relative Trajectory • Position, velocity 3. Local measurement / Local Control suitability Artist’s impressions of Orion/Emerald Spacecrafts “Hamilton-Jacobi Modelling of Relative Motion for Formation Flying” E. Kolemen, J. Kasdin, P. Gurfil 4
Background • Linearized relative motion in a Cartesian rotating frame. (C-W, `60) • Described linear relative motion using orbital elements (Schaub, Vadali, Alfriend, `00) • Applied symmetry and reduction technique to J 2 perturbation (Koon, Marsden, Murray `01) • Used approximate generating function for the relative Hamiltonian (Guibout, Scheeres, `04) • Provided detailed description of our method and J 2 solution (Kasdin, Gurfil, & Kolemen, `05) “Hamilton-Jacobi Modelling of Relative Motion for Formation Flying” E. Kolemen, J. Kasdin, P. Gurfil 5
Clohessy-Wiltshire (C-W) Equations • Aim: To solve the rendezvous problem • Two-body equation: where r is the position of the satellite, where is the relative position, • Linearizing the equation around =0 and keeping only the 1 st order terms, we get: Relative motion in rotating Euler-Hill reference frame “Hamilton-Jacobi Modelling of Relative Motion for Formation Flying” E. Kolemen, J. Kasdin, P. Gurfil 6
Clohessy-Wiltshire (C-W) Equations • Periodic motion in z-direction. • A stationary mode, an oscillatory mode, and a drifting mode in the x-y plane. • The non-drifting condition: • 2 by 1 ellipse x-y plane. “Hamilton-Jacobi Modelling of Relative Motion for Formation Flying” E. Kolemen, J. Kasdin, P. Gurfil 7
How to extend this solution? • What is the effect of perturbations on periodic orbits? • How do we get into these periodic orbits? • Not only finding Initial Conditions but finding Periodic Orbits. • Approach: – Solve Hamilton-Jacobi Equations. – Express the periodic relative orbits by canonical elements. – Perform perturbation analysis on these elements. “Hamilton-Jacobi Modelling of Relative Motion for Formation Flying” E. Kolemen, J. Kasdin, P. Gurfil 8
Canonical Analysis of Relative Motion • Velocity in the rotating frame: • Kinetic Energy: Relative motion in rotating frame • Potential Energy: “Hamilton-Jacobi Modelling of Relative Motion for Formation Flying” E. Kolemen, J. Kasdin, P. Gurfil 9
The Hamiltonian • Separate low and higher order Hamiltonian: • The unperturbed Hamiltonian: • Corresponds to C-W equations: • Solve Hamilton-Jacobi Equations for the 6 constants of motion. “Hamilton-Jacobi Modelling of Relative Motion for Formation Flying” E. Kolemen, J. Kasdin, P. Gurfil 10
Hamilton-Jacobi (H-J) Solution • Transform Cartesian elements to new constants using H-J Theory. • Termed Epicyclic Elements • The new Hamiltonian: • Cartesian coordinates: “Hamilton-Jacobi Modelling of Relative Motion for Formation Flying” E. Kolemen, J. Kasdin, P. Gurfil 11
Physical meaning of the Epicyclic Elements • Osculating 2: 1 elliptic relative orbit – 1 size Osculating elliptic relative orbit – 3 drift in y-axis – Q 3 center position in y-axis – Q 1 phase “Hamilton-Jacobi Modelling of Relative Motion for Formation Flying” E. Kolemen, J. Kasdin, P. Gurfil 12
Modified Epicyclic Elements • For ease of calculations, symplectic transformation to amplitude only variable: • The new Hamiltonian: • Cartesian coordinates: “Hamilton-Jacobi Modelling of Relative Motion for Formation Flying” E. Kolemen, J. Kasdin, P. Gurfil 13
Perturbations to Relative Motion Perturbation Analysis: • Perturbing Hamiltonian: • Hamilton’s Equations: Transform the perturbation on the relative orbit to perturbations on the canonical elements. “Hamilton-Jacobi Modelling of Relative Motion for Formation Flying” E. Kolemen, J. Kasdin, P. Gurfil 14
Relative Motion Around Eccentric Orbits • Relative velocity: • Find Hamiltonian, expand in eccentricity: • 1 st order perturbing Hamiltonian: Relative motion around an eccentric orbit “Hamilton-Jacobi Modelling of Relative Motion for Formation Flying” E. Kolemen, J. Kasdin, P. Gurfil 15
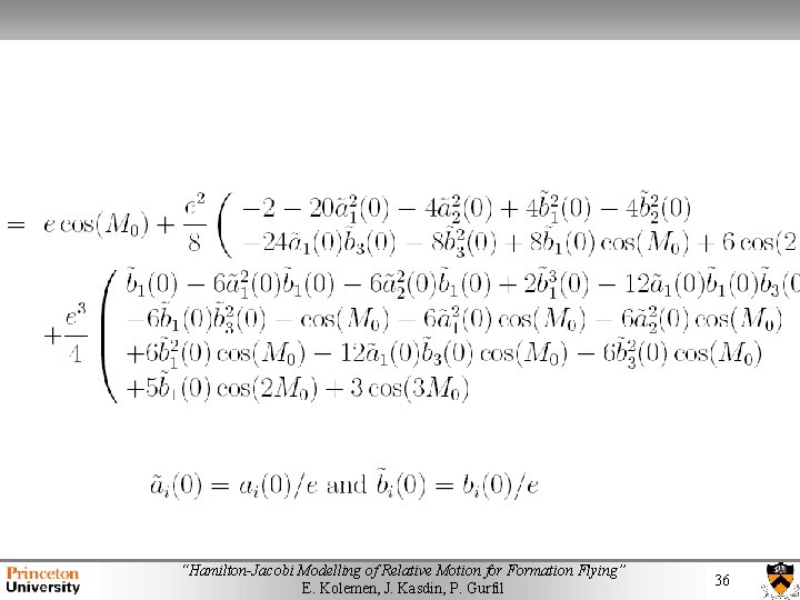
Relative Motion Around Eccentric Orbits • Variation of epicyclic elements: • Solution: • No drift condition for 1 st order: “Hamilton-Jacobi Modelling of Relative Motion for Formation Flying” E. Kolemen, J. Kasdin, P. Gurfil 16
Eccentricity/Nonlinearity Perturbation Results • Third order no drift condition. e = 0. 001 m/orbit e = 0. 01 2 mm/orbit e = 0. 02 7 cm/orbit • Approximation good up to e ~ 0. 03 • Code: http: //www. princeton. edu/ ~ekolemen/eccentricity. m “Hamilton-Jacobi Modelling of Relative Motion for Formation Flying” E. Kolemen, J. Kasdin, P. Gurfil 17
Placing Multiple Satellites on Relative Orbit Specify: • Size in x-y plane and z-plane. • Phase of each satellite • Place a group of satellites in one relative orbit. “Hamilton-Jacobi Modelling of Relative Motion for Formation Flying” E. Kolemen, J. Kasdin, P. Gurfil 18
Earth Oblateness Perturbation • Earth’s Oblateness ( J 2 zonal harmonic) is often the largest perturbation. • Axially symmetric gravitational potential zonal harmonics: where is the spacecraft’s latitude angle: • Z is the distance from the Equatorial Plane and the Jk's: “Hamilton-Jacobi Modelling of Relative Motion for Formation Flying” E. Kolemen, J. Kasdin, P. Gurfil 19
Effect of the J 2 Perturbation on a single spacecraft • The long term variation of the mean orbital elements: where a, e, i, , u orbital element and n mean motion. And, Regression of the ascending node under the J 2 perturbation • Note: For circular orbits, argument of perigee, does not make sense. “Hamilton-Jacobi Modelling of Relative Motion for Formation Flying” E. Kolemen, J. Kasdin, P. Gurfil 20
The Average J 2 Drifting Frame Angular velocity of the average J 2 drifting frame • Rotating with the average J 2 drift: • The velocity of the follower: • First order no drift condition “Hamilton-Jacobi Modelling of Relative Motion for Formation Flying” E. Kolemen, J. Kasdin, P. Gurfil 21
Periodic Orbits around J 2 and J 22 drifting frame i, e, a u • 3 different types of periodic orbits. Comparison with differential orbital elements : Invariance under . i, e, a: Solutions for u: Invariance under u. “Hamilton-Jacobi Modelling of Relative Motion for Formation Flying” E. Kolemen, J. Kasdin, P. Gurfil 22
Families of Periodic Orbit around L 2 (? ) HORIZONTAL LYAPUNOV Orbit NORTHERN QUASIHALO Orbits (? ) SOUTHER Orbits NORTHERN HALO Orbit VERTICAL LYAPUNOV Orbit LISSAJOUS Orbits Univ. Barcelona: Jorba, Gomez, Simo Univ. Catalunya: Masdemont “Hamilton-Jacobi Modelling of Relative Motion for Formation Flying” E. Kolemen, J. Kasdin, P. Gurfil 23
Reference Frames and Relative Motion Osculating Rotating Frame Real Relative Motion Bounded Orbit 2 Mean Rotating Frame Bounded Orbit 1 “Hamilton-Jacobi Modelling of Relative Motion for Formation Flying” E. Kolemen, J. Kasdin, P. Gurfil 24
J 2 and J 22 Periodic Solutions (Two Spacecrafts) Short Term: 20 Orbits Long Term: 200 Orbits Error: 30 cm/orbit “Hamilton-Jacobi Modelling of Relative Motion for Formation Flying” E. Kolemen, J. Kasdin, P. Gurfil 25
Tumbling Effect Tumbling of the Relative Orbit Figure: S. A. Schweighart, “Development and Analysis of a High Fidelity Linearized J 2 Model for Satellite Formation Flying” Examples: “Hamilton-Jacobi Modelling of Relative Motion for Formation Flying” E. Kolemen, J. Kasdin, P. Gurfil 26
Higher Order Zonal Perturbation: J 2, J 22, J 3, J 4 • 5 boundedness conditions, • Constraining all the parameters except the u offset. One osculating orbit for one mean orbit. Relative motion around the rotating frame Relative motion around osculating orbit Error: 30 cm/orbit “Hamilton-Jacobi Modelling of Relative Motion for Formation Flying” E. Kolemen, J. Kasdin, P. Gurfil 27
Conclusion • A Hamiltonian approach to solve for the relative motion is applied. • Bounded relative motion for nonlinearity and eccentricity perturbation is solved. • Effect of zonal harmonics, J 2, J 3, and J 4 on the relative bounded orbit is investigated. • Outlook: Combine eccentricity and zonal harmonics perturbations. Relative Motion for J 2, J 3, J 4 perturbations “Hamilton-Jacobi Modelling of Relative Motion for Formation Flying” E. Kolemen, J. Kasdin, P. Gurfil 28
References • Koon, Lo, Marsden and Ross, “Dynamical Systems, the Three-Body Problem and Space Mission Design”, To be published • Jorba, Masdemont, “Dynamics in the center manifold of the collinear points of the restricted three body problem”, Physica D 132 (1999) 189– 213 • Jorba, “A Methodology for the Numerical Computation of Normal Forms, Centre Manifolds and First Integrals of Hamiltonian Systems”, Experimental Mathematics 8, 155 -195 • Gomez, Masdemont, Simo, “Quasi-Periodic Orbits Associated with the Libration Points”, JAS, 1998(2), 46, 135 -176 • S. A. Schweighart, “Development and Analysis of a High Fidelity Linearized J 2 Model for Satellite Formation Flying” Master of Science, MIT, June 2001 • T. A. Lovella, S. G. Tragesser, “Near-Optimal Reconfiguration and Maintenance of Close Spacecraft Formations” Ann. N. Y. Acad. Sci. 1017: 158– 176 (2004). “Hamilton-Jacobi Modelling of Relative Motion for Formation Flying” E. Kolemen, J. Kasdin, P. Gurfil 29
• • • • Clohessy, W. H. & R. S. Wiltshire. 1960. Terminal guidance system for satellite rendezvous. J. Astronaut. Sci. 27(9): 653 -678. Carter, T. E. & M. Humi. 1987. Fuel-optimal rendezvous near a point in general Keplerian orbit. J. Guid. Control Dynam. 10(6): 567 -573. Inalhan, G. , M. Tillerson & J. P. How. 2002. Relative dynamics and control of spacecraft formations in eccentric orbits. J. Guid. Control Dynam. 25(1): 48 -60. Gim, D. W. & K. T. Alfriend. 2001. The state transition matrix of relative motion for the perturbed non-circular reference orbit. Proceedings of the AAS/AIAA Space Flight Mechanics Meeting, Santa Barbara, CA, February. AAS 01 -222. Alfriend, K. T. & H. Schaub. 2000. Dynamics and control of spacecraft formations: challenges and some solutions. J. Astronaut. Sci. 48(2): 249 -267. Hill, G. W. 1878. Researches in the lunar theory. Am. J. Math. 1: 5 -26. Schaub, H. , S. R. Vadali & K. T. Alfriend. 2000. Spacecraft formation flying control using mean orbital elements. J. Astronaut. Sci. 48(1): 69 -87. Namouni, F. 1999. Secular interactions of coorbiting objects. Icarus 137: 293 -314. Gurfil, P. & N. J. Kasdin. 2003. Nonlinear modeling and control of spacecraft relative motion in the configuration space. Proceedings of the AAS/AIAA Spacecflight Mechanics Meeting, Puerto Rico, February. Karlgaard, C. D. & F. H. Lutze. 2001. Second-order relative motion equations. Proceedings of the AAS/AIAA Astrodynamics Conference, Quebec City, Quebec, July. AAS 01 -464. Alfriend, K. T. , H. Yan & S. R. Vadali. 2002. Nonlinear considerations in satellite formation flying. Proceedings of the 2002 AIAA/AAS Astrodynamics Specialist Conference, Monterey, CA, August. AIAA 2002 -4741. Koon, W. S. , J. E. Marsden & R. M. Murray. 2001. J 2 dynamics and formation flight. Proceedings of the 2001 AIAA Guidance, Navigation, and Control Conference, Montreal, Canada, August. AIAA 2001 -4090. Broucke, R. A. 1999. Motion near the unit circle in the three-body problem. Celest. Mech. Dynam. Astron. 73(1): 281290. Goldstein, H. 1980. Classical Mechanics. Addison-Wesley. Battin, R. H. 1999. An Introduction to the Mathematics and Methods of Astrodynamics. AIAA. “Hamilton-Jacobi Modelling of Relative Motion for Formation Flying” E. Kolemen, J. Kasdin, P. Gurfil 30
Clohessy, W. H. & R. S. Wiltshire. 1960. Terminal guidance system for satellite rendezvous. J. Astronaut. Sci. 27(9): 653 -678. Carter, T. E. & M. Humi. 1987. Fuel-optimal rendezvous near a point in general Keplerian orbit. J. Guid. Control Dynam. 10(6): 567 -573. Inalhan, G. , M. Tillerson & J. P. How. 2002. Relative dynamics and control of spacecraft formations in eccentric orbits. J. Guid. Control Dynam. 25(1): 48 -60. Gim, D. W. & K. T. Alfriend. 2001. The state transition matrix of relative motion for the perturbed non-circular reference orbit. Proceedings of the AAS/AIAA Space Flight Mechanics Meeting, Santa Barbara, CA, February. AAS 01 -222. Alfriend, K. T. & H. Schaub. 2000. Dynamics and control of spacecraft formations: challenges and some solutions. J. Astronaut. Sci. 48(2): 249 -267. Hill, G. W. 1878. Researches in the lunar theory. Am. J. Math. 1: 5 -26. Schaub, H. , S. R. Vadali & K. T. Alfriend. 2000. Spacecraft formation flying control using mean orbital elements. J. Astronaut. Sci. 48(1): 69 -87. Namouni, F. 1999. Secular interactions of coorbiting objects. Icarus 137: 293 -314. [Cross. Ref] Gurfil, P. & N. J. Kasdin. 2003. Nonlinear modeling and control of spacecraft relative motion in the configuration space. Proceedings of the AAS/AIAA Spacecflight Mechanics Meeting, Puerto Rico, February. Karlgaard, C. D. & F. H. Lutze. 2001. Second-order relative motion equations. Proceedings of the AAS/AIAA Astrodynamics Conference, Quebec City, Quebec, July. AAS 01 -464. Alfriend, K. T. , H. Yan & S. R. Vadali. 2002. Nonlinear considerations in satellite formation flying. Proceedings of the 2002 AIAA/AAS Astrodynamics Specialist Conference, Monterey, CA, August. AIAA 2002 -4741. Koon, W. S. , J. E. Marsden & R. M. Murray. 2001. J 2 dynamics and formation flight. Proceedings of the 2001 AIAA Guidance, Navigation, and Control Conference, Montreal, Canada, August. AIAA 2001 -4090. Broucke, R. A. 1999. Motion near the unit circle in the three-body problem. Celest. Mech. Dynam. Astron. 73(1): 281 -290. [Cross. Ref] Goldstein, H. 1980. Classical Mechanics. Addison-Wesley. Battin, R. H. 1999. An Introduction to the Mathematics and Methods of Astrodynamics. AIAA. “Hamilton-Jacobi Modelling of Relative Motion for Formation Flying” E. Kolemen, J. Kasdin, P. Gurfil 31
Clohessy-Wiltshire Equations “Hamilton-Jacobi Modelling of Relative Motion for Formation Flying” E. Kolemen, J. Kasdin, P. Gurfil 32
Background W. H. Clohessy, R. S. Wiltshire, “Terminal Guidance for Satellite Rendezvous”, 1960 TAMU H. Schaub, S. R. Vadali, K. T. Alfriend, “Spacecraft Formation Flying Control Using Mean Orbital Elements”, 2000 MIT G. Inalhan, M. Tillerson, J. P. How, “Relative Dynamics and Control of Spacecraft Formation in Eccentric Orbits”, 2002 Princeton/Technion – N. J. Kasdin and P. Gurfil, “Canonical Modelling of Relative Spacecraft Motion via Epicyclic Orbital Elements ”, In publish Caltech W. S. Koon, J. E. Marsden and R. M. Murray, “J 2 DYNAMICS AND FORMATION FLIGHT”, AIAA 2001 -4090 UMich V. M. Guibout, D. J. Scheeres, “Solving relative two-point boundary value problems: Application to spacecraft formation flight transfer” Journal of Guidance, Control, and Dynamics 27(4): 693 -704. Univ. Surrey Y. Hashida, P. Palmer , “Epicyclic Motion of Satellites Under Rotating Potential”, Journal of Guidance, Control and Dynamics, Vol. 25, No. 3, pp. 571 -581, 2002. “Hamilton-Jacobi Modelling of Relative Motion for Formation Flying” E. Kolemen, J. Kasdin, P. Gurfil 33
Perturbations • Question: • H^{(1)}, perturbing Hamiltonian, How do we get into these periodic orbits? • How will be the form of the new periodic orbits? • Answer: • Hamilton’s • “Hamilton-Jacobi Modelling of Relative Motion for Formation Flying” E. Kolemen, J. Kasdin, P. Gurfil 34
Analytical Solution for the Base Orbit • Kozai Sgp • Brower Sgp 4 • Hoots HANDE 1 st order in J 2 short term (not precise) • Coffey and Deprit • Vinti Von Ziepel Lie Method Too many terms “Hamilton-Jacobi Modelling of Relative Motion for Formation Flying” E. Kolemen, J. Kasdin, P. Gurfil 35
“Hamilton-Jacobi Modelling of Relative Motion for Formation Flying” E. Kolemen, J. Kasdin, P. Gurfil 36
- Slides: 36