Halogenao INTRODUO DIFERENTES CONDIES DE PROCESSO PARA DIFERENTES



















































































- Slides: 83
Halogenação
INTRODUÇÃO DIFERENTES CONDIÇÕES DE PROCESSO PARA DIFERENTES ESTRUTURAS Se aromático, parafínico, derivado nitrogenado, já contendo halogênio na estrutura, tipo de halogênio, . . . Diferentes condições, fase de condução da reação, pressão, uso ou não de catalisador, tipo. Se catálise homogênea ou heterogênea. . . IMPORT NCIA DA HALOGENAÇÃO Ø Aplicabilidade dos produtos ØDisponibilidade de matérias-primas Ø Baixo custo Cloro * e hidrocarbonetos
• GRAU IMPORT NCIA POR HALOGÊNIOS Ø Clorados, Ø fluorados Ø Derivados de bromo e iodo
PRIMCIPAIS RAMOS DE APLICAÇÃO SOLVENTES Tricloroetileno, cloreto de metileno, tetracloreto de carbono INTERMEDIÁRIOS Clorohidrinas, cloretos de alquilas, cloretos de arila MONÔMEROS; Clorados: cloreto de vinila, cloreto de vinilideno Fluorados: PTFE, FEP * (trifluorcloroetileno) REFRIGERANTES INDUSTRIAl. S Freon α = C-1 β = H +1 δ=F
PLASTIFICANTES Fenilbenzenoclorado, Mirrex* *(produto da dimerização do hexaclorociclopentadieno) INSETICIDAS Hexaclorociclohexano, Mirex Cloroderivados de ácidos e de fenóis. PESTICIDAS Derivados de cloro ou bromo Hexaclorociclopentadieno, M. P p/ Heptachlor LUBRIFICANTES : Características importantes………. .
ASPECTOS MARCANTES DOS HALOGÊNEOS/ HALOGENAÇÃO ü CORROSÃO Fluor e cloro altamente reativos ü EXPLOSIVIDADE Consequência da elevada entalpia de reação REATIVIDADE F > Cl > Br > I SOLUBILIDADE Solúveis normalmente em líquidos orgânicos, Particularmente clorados ü Br 2 > Cl 2 > F 2 ü HBr > HCl > HF
AGENTES HALOGENANTES ü Cl 2 : Eletrólise do Na. Cl (aq) Fusão ü HCl: H 2 Na + (H 2, Na. OH e Cl 2) + Cl- Na 0 + Cl 2 ü Cl. Oü F 2 ü HF : eletrólise (fluorita) KHF 2 (fundido) + H 2 SO 4 F 2 HF. Emprego em solução até 60% em temperatura baixa* ou liquefeito *Materiais de contato, monel, hasteloy. . ligas com Cu, Ni. Temperatura elevada (seco) Cerâmica, vidro, chumbo. ü Br: eletrólise Br. O 3, Br. O-
ü HI, I 2 (catalisadores, PCl 3, POCl 3) ü COCl 2 (fosgênio) ü SOCl 2 ou SO 2 Cl 2 , ü Benzotricloreto, ü Misturas halogênicas (IBr, ICl “cloreto de iodo”, ativo em condições suaves Ex. Iodação de compostos amínicos
EXEMPLO DE SELETIVIDADE X CONDIÇÕES DE REAÇÃO P /ex. A presença ou não de catalisador ou forma de iniciação leva a diferentes produtos (diferentes mecanismos envolvidos) Radicais livres Iônico catalítico
Curiosidade? 1 - Composto clorados naturais 2 - DDT (dicloro-difenil-tricloroetano) 3 - Dioxinas
PROCESSOS DE HALOGENAÇÃO Ø SUBSTITUIÇÃO - tanto em fase líquida quanto gasosa ü ELIMINAÇÃO DE HIDROGÊNIO - A reação ocorre tanto para carbono saturado, insaturado ou aromático. Reatividade: Em temperatura baixa (ambiente) - saturados Cprimário < Csecundário < Cterciário Obs. Para favorecer a reação em carbono terciário reação em fase líquida Comparada aos compostos saturados a substituição em insaturados e aromáticos apresenta maior dificuldade requerendo temperaturas elevadas. Nas olefinas, particularmente, as reações efetuadas em fase gás (mecanismo por radicais livres) concorre paralelamente adição e substituição. Em temperatura elevada predomina substituição e em temperatura baixa a adição. Os aromáticos tendem ao mesmo comportamento.
Em um alquilaromático, o radical longo favorece reação no radical. Porém, sempre o carbono α será o mais reativo. Contudo, em fase líquida e temperatura baixa prevalece adição no anel. Só em temperatura mais elevada ocorrerá substituição no núcleo. Em uma olefina é o carbono saturado aquele substituído preferencialmente REATIVIDADE X TAMANHO DA CADEIA EM SATURADOS Quanto maior a cadeia mais fácil se torna a substituição e mais energética e a reação. REATIVIDADE X SUBSEQUENTE HALOGENAÇÕES Havendo halogênio na molécula a reatividade reduz, o carbono que contem o cloro terá maior atividade que os outros. Normalmente menor é a energia liberada nas posteriores substituições tanto para alifáticos quanto para arom/aticos.
ü SUBSTITUIÇÃO DE OH Reações em : ü álcoois ü ácidos ROH + HCL Zn. Cl 2 (COCl 2 ou SOCl 2) RCl + H 2 O e cloreto de ácido ü SUBSTITUIÇÃO DE HALOGÊNIO POR HALOGÊNIO (cloro por fluor), Ainda: bromo, iodo RBr + Na. CL RCl + Na. Br
Ø ADIÇÃO Insaturados e aromáticos Reações normalmente conduzidas na presença de solventes policlorado) , o-clorobenzeno, hexaclorobutadieno. Halogenantes — Halogêneos e halogenetos de hidrogênio Obs. Segue a regra de Markovinikoff, halogênio entra no carbono mais pobre em hidrogênio HIPOCLORAÇÃO ou CLOROHIDRINAÇÃO Halogenante Cl 2 e H 2 O
Ø DECOMPOSIÇÃO ü DEHIDROCLORAÇÃO RHy. Clx ∆ * RHy-1 Clx-1 + HCl * A cinética de dehidrocloração é mais favorável ü DECLORAÇÃO RClx (policlorado sat. ) Cl 2 ∆ * RCl x-2 (insaturado) + Cl 2 Zn (KOH) *Favorável à decloração
ü CLORINÓLISE RCIx (policlorado sat. ) + Cl 2 ∆ CCl 4 + (policlorado saturado) KCl ü PIRÓLISE (C primário < C secundário < C terciário) RClx (policlorado) ∆ CCl 4 + (policlorado insaturado) Obs. A síntese do fosgênio é na realidade uma reação de halogenação de um composto de carbono de reduzido estado de oxidação CO + Cl 2 COCl 2
AVALIACÃO DA ENTALPIA NAS REAÇÕES DE HALQGENAÇÃO ≠ ENERGIAS ENVOLVIDAS ≠ CONTROLES DE PROCESSO A energia de ativação de uma dupla ligação é bem diferente de uma tripla, em consequência a entalpia de adição é muito diferente da entalpia de substituição Simples = 88, 0, dupla = 95, 5 e tripla = 124, 5 Kcal ASPECTOS TERMODIN MICOS ∆G = ∆ H + T∆ S reação possível ∆G < 0 ∆G 0 = RT ln K ∆S em todas as reações de halogenação é muito pequeno *
REAÇÕES DE SUBSTITUIÇÃO ∆S ≥ 0 CH 3 -H + X 2 R- CH 2 – X + HX C – C = 88 Kcal C - H = 87, 7 Kcal Halogênio X 2 ∆ H 0 (Kcal/mol (25º C) F 2 -110 Cl 2 -25 Br 2 -8 I 2 +12
REAÇÕES DE ADIÇÃO ∆S < 0 ≈ -20 cal/mol CH 2=CH 2 + X 2 XH 2 C – CH 2 X AG favorável a todas as reações Cloro até 1000° C Bromo 700 o C Iôdo 50 o C Halogênio X 2 ∆ H 0 (Kcal/mol (25º C) F 2 -130 Cl 2 -44 Br 2 -22 I 2 -4
REAÇÃO DE HIDROHALOGENAÇÃO ∆S < 0 ≈ -30 cal/mol CH 2=CH 2 + HX ∆ Equilíbrio favorável até H 3 C – CH 2 X 250 o. C para cloro 200 o. C para bromo 200 o. C para iôdo Halogênio HX ∆ H 0 (Kcal/mol (25º C) F 2 -10 Cl 2 -17 Br 2 -19 I 2 -19
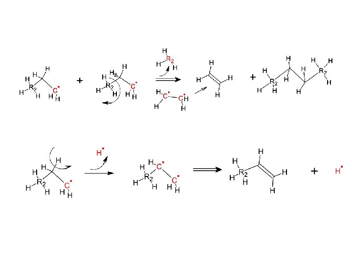
MECANISMO DE HALOGENAÇÃO Ø RADICAIS LIVRES (ou átomos livres) (reação em cadeia) Frequentemente em fase gasosa e ausentes de catalisadores. Aplicado mais frequentemente na halogenação de olefinas e aromáticos em reações de substituição para inibir a adição. Formas de ativação: ü Por iniciação térmica, catalisadas ou não por Na, K, Pb-Alquil, ou ainda H ü Ação de luz (fotoquímica) ou ü Química Obs. Parafinas normalmente por ativação térmica
I SUBSTITUIÇÃO X ADIÇÃO II III Obs. Quando se submete o propileno a reação de substituição ocorre quase que exclusivamente a formação do composto I. Enquanto a decomposição do 1 -2 dicloropropano favorece a produção do 2 -cloropropeno. (II) Temperatura crítica a partir da qual só ocorre substituição O Isobutileno só sofre substituição. Etileno 270 o. C Propileno 250 o. C 2 - buteno 170 o. C
AVALIAÇÃO DA SELETIVIDADE ü Em relação à cadeia Carbono alílico é mais reativo que insaturado ü Em relação à reações sucessivas Quanto maior a substituição mais difícil as consecutivas substituições No caso de Compostos aromáticos É mais reativa a cadeia lateral (mais etrofílica) Após saturado o radical alquila, começa a ocorrer halogenação no núcleo benzênico, preferencialmente o carbono α Nota: A adição do benzeno se dá em temperatura ambiente.
CINÉTICA DAS REAÇÕES POR RADICAIS /ou átomos LIVRES ETAPAS DO PROCESSO ü Iniciação ( formação dos radicais reativos) ü Propagação ü Término Ø INICIAÇÃO (principais ativadores (formas de ativação) ü Átomo livre Cl 2 ∆ ü Radicais R • CI • + Cl ads. (colisão) Ø Fotohalogenação Radiação eletromagnéca (UV) EAT = 21 a 42 KJ / mol Cl 2 + λ 2 CI • λ (Hg- Quartzo)=4875 A°
Ativação Térmica EAT = 126 a 168 KJ / mol ü Colisão nas paredes do reator Cl 2 colisão CI • + (Cl ads quimiosorção) ü Aquecimento Cl 2 ∆ (100 - 150°C) 2 CI • Seletividade C 1 ario< C 2 ario < C 3 ario (liquido ou vapor) C 1 ario ativação em temperatura elevada, 2 ario e 3 ario em temperatura mais baixas Em temperaturas extremamente altas Saturados polihalogenação Olefinas reações de substituição Em relação as olefinas, quanto menor a cadeia, mais favorável é a adição.
Temperatura intensa Pirólise (quando + intenso o aquecimento) C 1°< C 2°< C 3 o Antes porém ocorre dehidrohalogenação com formação de: HX e Halo-olefina Obs. C 3° tem maior tendência a formação de halo-olefinas que os secundários. Forma de Controle: Se temperatura é crítica ü Reação em solvente ü Tempo de residência
ATIVADORES QUÍMICOS EAT = 84 KJ / mol São substâncias que com reduzida energia de ativação e em baixa temperatura decompõem gerando radicais livres. A velocidade de reação depende da temperatura e da concentração do iniciador Hidroperóxidos ROOH, peróxidos ROOR, (azobisisobutironitrila) Peróxido de benzoíla
2 POROFOR (azobisisobutironitrila) Ø PROPAGAÇÃO (REAÇÃO EM CADEIA) RH R • + + CI • Cl 2 R • RCl + + HCI CI •
Mecanismos üColisão bimolecular (função da energia (T e P) ) H 2 + X 2 2 HX (não há propagação) ü Reação em cadeia (presença de radical livre ou átomo livre) Função do calor absorvido e da E AT do iniciador) Obs. Pureza dos reagentes interfere na propagação TÉRMINO ex. O 2 inibidor nas reações de adição ( bloqueio de radicais livres)
ØTÉRMINO DAS REAÇÕES EM CADEIA ü Pelo bloqueio do radical ativo Adsorção do átomo na parede do reator CI • ü Pela associação de átomo livre e radical livre ü Interações na molécula do radical livre Cl ads
ü Bloqueio via inibidor do radical ( VENENOS ) Ex: O 2, Compostos de enxofre, Fenóis INFLUÊNCIA DA TEMPERATURA NAS REAÇÕES DE HALOGENAÇÃO SEGUNDO A FORMA DE INICIAÇÃO üTÉRMICA OU QUÍMICA Para ativação térmica ou química, o controle de temperatura é fundamental para a dinâmica do processo. Catalisadores heterogêneos reduzem a energia de ativação das reações iniciadas termicamente. Na iniciação química, além da temperatura, também a concentração de iniciador afeta positivamente a cinética ü FOTOQUÍMICA Na iniciação fotoquímica pouca influência terá a temperatura sobre o processo. Depende apenas da intensidade da radiação
SELETIVIDADE NAS REAÇÕES DE HALOGENAÇÃO (REAÇÕES PAPALELAS) ADIÇÃO X SUBSTITUIÇÃO (OLEFINAS OU AROMÁTICOS X PARAFINAS) FUNÇÃO (k EAT T) Para reações de mesma ordem e mesma molecularidade Cl • + CH 2 = CH 2 k 1 CH 2 Cl - C • H 2 Cl • + CH 3 - CH 3 k 2 CH 3 - C • H 2 (adição) + HCl (substituição)
Pela lei de Arrhenius daí, Substituindo a expressão das constantes cinéticas em S 1 teremos: Valores para energia de ativação E 1 (adição) = 25, 2 kcal/mol E 2 (subtituição) = 43, 4 “ Logo, se a energia de ativação aumenta, a reatividade diminui e consequentemente, a adição será mais favorável que a substituição. Somente se a temperatura aumenta tem-se a formação de compostos por substituição
TENDÊNCIA A SUBSTITUIÇÃO, SEGUNDO A ENERGIA DE ATIVAÇÃO: CH 2=CH-H < AR-H << C 1 -H < C 2 –H < C 3 – H < CH 2 CH-CH 2 < AR-CH 2 -H Mais difícil reação mais fácil FATORES RELEVANTES PARA REAÇÕES DE HALOGENAÇÃO ü A presença de cloro na molécula diminui a reatividade em relação à substituição. ü Quanto mais afastado do cloro mais reduzido o efeito da desativação ü A reação na presença de solventes clorados (o-diclorobenzeno, hexaclorobutadieno) favorece reações em outras posições, devido a formação de complexos que alteram a atividade do átomo de cloro ü O átomo de hidrogênio do carbono adjacente ao cloro é desativado.
PROCESSOS DE HALOGENAÇÃO EM FASE LÍQUIDA JUSTIFICATIVA ü Obtenção de compostos termicamente instáveis (perdem facilmente HCl) Ex. : monocloroparafinas de elevado PM ü Policlorados de alto PM ü Derivados clorados do etano ü Quando se deseja seletividade. Quando processo térmico é pouco seletivo ü Elevado calor de reação — dificuldade de troca térmica por fluido gasoso CARACTERÍSTICAS DOS PROCESSOS ü Normalmente iniciados por radicais livres ou por radiação ü Baixa temperatura de operação até no máximo 1500 C
PRODUTOS OBTIDOS VIA REAÇÃO EM ESTADO LÍQUIDO ü Policloroderivados do etano : 1, 1, 2 -tricloroetano Materia prima para cloreto de vinilideno ü Hexacloroetileno Materia prima para solventes fluorado, monômero do FEP, . . ü Cloroparafinas , Matéria prima para § detergentes (querozene) § plastificantes - aditivos para plásticos (cloro aumenta flexibilidade e adesão) CARACTERÍSTICAS GERAIS DOS PROCESSOS DE REAÇÕES EM FASE LÍQUIDA REATORES DE PROCESSO Borbulhamento SOLVENTE: Reagente solvência reação em solução em excesso, ou o-diclorobenzeno, hexaclorobutadieno, tetracloreto de carbono ou ainda reação em suspensão aquosa.
CONTROLE DO PROCESSO Concentração do iniciador, reagente (halogenante) temperatura ou intensidade de radiação FORMAS DE RESFRIAMENTO EMPREGADAS ü Recirculação ( circulação forçada). Alimentação contracorrente ü Circulação natural. Uso de calor latente batelada Contínuo
Observação quanto a eficiência dos reatores em relação à sua configuração Ø Batelada Nescessidade de eficiente agitação (Cotato entre fases, troca térmica) ü Agitação no reator (ideal) dificuldade construtiva ü Por circulação externa (trocador externo ao reator) Deficiência no contato entre fases Comprometimento da seletividade Ø Reator contínuo ü Resfriamento externo ineficiente ü Resfriamento interno - fluxo preferencial - pode prejudicar o contato entre fases seletividade comprometida ü Pratos ou reatores em série, mais eficiente
ETAPAS DE UM PROCESSO DE HALOGENAÇÃO 1 - PREPARACÃO DOS REAGENTES Ø Vaporização: Do halogenante Da matéria prima, se reação no estado de vapor Ø Secagem H 2 S 04, Destilação azeotrópica ou emprego de adsorventes Ø Aquecimento* Obs. Remoção de impurezas sólidas, quando presentes, ü Sais e óxidos metálicos catalisam reação iônica ü Remoção de compostos de enxofre
2 - SEPARACÃO E REFINO DO HALOGENOCOMPOSTO Ø Remoção do HCl dissolvido ü Se RCI tem ponto de ebulição elevado Arraste com N 2 ou ar ü Se RCl tem ponto de ebulição baixo Lavagem em contracorrente, ou Destilação fracionada condensação do HCl e RCl 3 - PURIFICAÇÃO DO COMPOSTO FINAL Remoção do solvente ou matéria prima em excesso ü Cristalização, ü Filtração, ü Destilação com vapor ou ü Destilação fracionada
3. TRATAMENTO DOS EFLUENTES GASOSOS Ø Recuperação da matéria prima (reciclado ao processo) ü Se condensável resfriamento ü Se não condensável absorção em solvente ( scrubber) solventes - subprodutos halogenados de PE elevado Ø Recuperação do HCl ü Provenientes das reações de adição § Reduzida quantidade de HCl Lavagem com água Neutralização com soda Descarte ü Proveniente de reações de substituição § Adsorção em água solução 20 a 30 % § Reuso (anidro) plantas de halogenação ex. HCl + CH 3 OH CH 3 Cl + H 2 O
REATORES PARA HALOGENAÇÃO EM FASE GASOSA PRINCIPAIS PRODUTOS OBTIDOS Derivados do metano (mono, di, tri e tetra substituídos) Halogenante cloro Produtos: ü Cloreto de metila* MP. para dimetil diclorosilano * mais econômico porém através da cloração do metanol (HCl residual) reação em fase líquida ü Compostos alílicos e metilalílico (isobutileno) e também do butadieno (produção de adiponitrila, hexametilenodiamina) Obs. : O 2 afeta pouco as reações em fase gasosa
CA RACTERÍSTICAS GERAIS DOS PROCESSOS GASOSOS ü Reduzido tempo de residência (processo contínuo) ü Operação a pressão atmosférica ü Reagentes pré-misturados anterior ao reator TIPOS DE REATORES EMPREGADOS ü Com acumulador térmico (Corpo cerâmico ou recheio ) Reações exotérmicas, o calor de reação otimizado para aquecimento dos reagentes ü Termocatalítico (leito catalítico fluidizado pré-aquecido) ü Tubular ( de passagem), Pré aquecimento dos reagentes préviamente misturados Tempo de residência: de 0, 1 a 2, 0 s.
ETAPAS DE UM PROCESSO EM FASE GASOSA Ø PRÉ-TRATAMENTO DOS REAGENTES ü Secagem ü Pré- aquecimento e mistura dos reagentes (MP e reciclo) ü Remoçao do HCl formado ü Reciclagem da matéia prima Ø REMOÇÃO DO HCl ü Se produtos de elevada pressão de vapor Ex. metano, monoclorometano, etc. . § Lavagem com água HCl 30% Os Gases são resfriados e comprimidos A fase líquida é separada, secada e posteriormente segue para destilaçâo fracionada. A fase gás é reciclada ü Se fácil condensação § Isolam-se as fases lava-se seca-se fracionada. A matéria prima é então reciclada. destilação
HALOGENACÃO POR MECANISMO IÔNICO CATALÍTICO Reações de adição ü Ligação dupla, tripla ü Reações com: Cl. O , HCl Reações de substituição ü No anel aromático ü Halogenação de compostos contendo nitrogênio ou oxigênio CARACTERÍSTICAS DAS REAÇÕES ü ü ü Reações em fase líquida Operação em temperaturas baixas Sem uso de iniciadores/ luz Uso de catalisador — ácido aprótico Reação à pressão atmosférica * CATALISADORES (ácidos apróticos) Fe. Cl 3, Al Cl 3, Sb. Cl 5, Bi. Cl 3, Sn. Cl 4, Hg. Cl 2, Zn. Cl 2, BF 4, etc. .
MECANISMO DE REAÇÃO RCH = CH 2 + HCl + Al. Cl 3 → RC+H-CH 3 + Al. Cl 4δ+ δ+ δ_ δ_ δ+ δ_ Obs. : ü Reações de 1ª ordem em relação ao cloro e ao catalisador ü Reatividade: Função da olefina, dependendo em consequência, da maior ou menor estabilidade do complexo formado. RCH = CH 2 > CH 2 - CH 2 ≥ CH 2 = CH-Cl
Obs. : Além das reações de adição, ocorrem também reações paralelas de substituição (radicais livres) via cloro e olefinas CH 2 = CH 2 + Cl 2 C • H 1 - CH 2 – Cl + Cl • Para inibir esta reação paralela, trabalha-se em temperatura baixa ou emprega-se o efeito de inibição incorporando O 2 TECNOLOGIA DE HALOGENACÃO VIA MECANISMO IÔNICO CARACTERÍSTICAS ü Elevada seletividade ü Elevada velocidade Obs, : Apenas a secagem dos reagentes se faz necessário para evitar hipohalogenação.
CONDUÇÃO DO PROCESSO ü Adição das substâncias gasosas através do líquido ü Opção de dissolução do agente halogenante no solvente e posterior borbulhamento do hidrocarboneto TROCA TÉRMICA ü Via refluxo , interno, ou circuito externo ü Sistema conjugado de reação com destilação fracionada. Otimização do calor de reação para efetuar o fracionamento. HIDROCLORACÃO REATIVIDADE Atenção, ainda que exotérmica , estas reações são reversíveis ü Quanto ao halogenante: HI > HBr > HCI > HF ( ordem inversa em relação ao halogênio livre) ü Quanto ao Alceno: Idêntica para a adição de cloro
MECANISMO DE REAÇÃO δ+ δ-
REAÇÕES PARALELAS DE HIDROHALOGENAÇÃO Polimerizaçao (compostos de baixo peso molecular) δ- δ+ Obs. : O catalisador atua da mesma forma favorecendo a reação CONTROLE : Operar a temperatura reduzida e elevando a concentração do HCl CATALISADORES: SAIS DE: Fe, Cu, Zn, etc. . .
HIDROHALOGENAÇÃO DO ACETILENO Produz cloreto de vinila e consecutivamente dicloroetano. Catalisador seletivo para cloreto de vinila Hg+2 em fase gás ou (Cu+1 , em NH 4 Cl, em fase líquida) Reações paralelas ü Hidratação do acetileno Hg+2 acetaldeldo (se presente água) Controle , Reação em fase gás temperaturade 150 a 200º C ü acetileno Cu+1 dimerização Controle Com elevada concentração de HCl vinilacetileno
HALOGENACÃO EM COMPOSTO AROMÁTICO POR MECANISMO IÔNICO Na presença de catalisador, Mecanismo iônico substituiçao no anel Diferença em relação ao mecanismo por radicais livres Substituição na cadeia lateral e posterior adição no núcleo. δ+ _
Orientação nas reações de substituição no núcleo aromático ü Substituintes eletron-doadores presentes no anel tais como Hidroxila, radicais alquila favorecem a reação, ativando o anel aromático e conduzindo a substituição para as posições orto e para. ü Substituintes eletron - receptores desfavorecem a substituição. Quando esta acontece, o halogênio substitui na posição meta Exemplo de receptores de eletron - grupo substituinte NO 2, Cl Substituição sucessiva por átomo de halogênio O cloro, desativa o núcleo tornando as subseqüentes reações mais lentas e orientando para as posições orto e para.
HALOGENAÇÃO EM PRESENCA DE ÁGUA Com uso do clorohidrinação (hipocloração) Principal produto – clorohidrinas Reação na ausência de catalisador Reatividade das olefinas RCH=CH 2 > CH 2=CH-CH 2 Cl Quanto aposição na cadeia O átomo de cloro menos eletronegativo que a hidroxila atua como proton ligando-se ao carbono mais hidrogenado
Mecanismo de Hipohalogenação Cl 2 HOCl + H+ + H 2 O HCl. O + HCl H 2 O. . . Cl+ … _ δ+ δ-
PRODUTOS DE REAÇÃO CONSECUTIVA NA HIPOHALOGENÇÃO Cl R+ + Cl. HO – R – Cl Cl – R - Cl -H+ Cl – R - O – R - Cl CONTROLE DA SELETIVIDADE Operar com solução diluída de forma a reduzir a concentração de íon cloreto, da mesma forma mantendo a concentração reduzida de clorohidrina formada EMPREGO DAS CLOROHIDRINAS Produção de α- óxidos (oxiranos- (óxidos de olefinas)) Matéria prima para a produção de resinas epóxi , polióis, tensoaticos não iônicos, solventes, etc.
FORMAÇÃO DE UM OXIRANO HALOGENACÃO DE COMPOSTOS CONTENDO OXIGÊNIO Reações de substituição em álcool, aldeídos ou cetonas Ø Halogenante – HX Reatividade C terciário > Csecundário > Cprimário (catálise com Zn. Cl 2)
MECANISMO DE REAÇÃO A reação ocorre a custa da protonação do átomo de oxigênio ROH + HX RO+H 2 + X- RX +H 2 O Equilíbrio favorável pela remoção da água formada Ø HALOGENANTE – X 2 - Reação com álcool e cetonas 2
HALOGENANTE – X 2 Reação de ácido carboxílico com Cloro Cloreto de ácido
HALOGENACÃO DE COMPOSTOS DE NITROGÊNIO Obtenção de “cloraminas” (desinfetantes, mono e dicloraminas) , ou agentes de bleaching (alvejantes) + O produto monoclorado apresenta solubilidade em água, enquanto que o segundo, diclorado ‘solúvel em compostos orgânicos. O primeiro obtido em de soluções diluídas, enquanto que o último através da hipocloração de suspensão.
Produção de diisocianatos (Reação com fosgênio) 2 +2 - 2 HCl Outra reação de importância industrial é a obtenção conjugada de ácido insaturado e halogeneto de alquila üProdução de ácido acrílico 300 o. C
ü Produção de acrilato de metila 2 300º C Obs. : reações sob pressão (40 atm) 2 2
REAÇÕES DE DECOMPOSIÇÃO Decomposição Ténnica (eliminação de ácido clorídrico , cloro) Objetivos: ü Obtenção de produtos pelo aproveitamento de clorados ( policlorados) subprodutos ü Processo alternativo a processos de maior custo ü Processo que substitua o emprego de materiais prima mais caras e consequentemente produza menor número de resíduos. PROCESSOS IMPORTANTES ü Obtenção de cloroolefinas (eliminação de HCI e/ou Cl 2) ü Obtenção de solventes (CCl 4, hexalorobutadieno)
CARACTERÍSTICAS DA REAÇÕES ü Endotérrnicas, exceto a clorinólise ü Reversíveis Facilidade de decomposição C 3 ario > C 2ário e policlorados de alto PM Mecanismo – (Mais frequentemente radical livre ) Obs. ü Na dehidrocloração, perde hidrogênio o carbono que tem menor número deste. ü As reações de dehidrocloração também podem de forma mais seletiva ser conduzidas na presença de bases (mecanismo iônico)
Reações paralelas ü Oxidação ü Hidrólise Processo conjugado (cloração oxidativa) Reação de DEACON 2 HCl + 0, 5 O 2 Cu. Cl 2 + KCl H 2 O + Cl 2 200 - 400º C RH + HCl + O 2 catalisador 200 - 400º C Obs: Empregado com matérias-primas estáveis RCl + H 2 O
FLUORAÇÃO Principais emprego de compostos fluorados Lubrificantes, fluidos hidráulicos especiais, solventes , fluidos de refrigeração, polímeros, etc Reatividade: Ø F 2 (reação em fase gas ) - Altamente reativo – Mecanismo via radical livre Elevado risco de explosão diluição com gás inerte Desnecessário emprego de iniciador Obs. : Se reação em solução temperatura reduzida solvente fluorado ou CCI 4 , em Seletividade reduzida, tanto para substituição quanto para adição.
Ø HF , usado frequentemente em fase líquida PROCESSOS DE FLUORAÇÃO ü CATALÍTICA F 2 (N 2) + RH Ag. F 2 Cuo RF + HF Obs. : Prata suportada em cobre Ø FLUORETOS METÁLICOS (agente de fluoração) PROCESSO POR BATELADA : Temperatura 150 a 200 o. C Emprego de sais ( Co. F 3 ; Mn. F 3 (agentes de fluoração) – RH + 2 Co. F 3 RF + 2 Co. F 2 Regeneração: 2 Co. F 2 + HF 2 Co. F 3 300 a 380 o. C ∆H = -52 Kcal/mol ∆H = -58 Kcal/mol
Ø FLUORAÇÃO ELETROQUÍMICA Reação anódica - Fácil controle Aplicação: polifluorados derivados de ácido carboxílico, éteres, ésteres, aminas, etc. HF ou mesmo KF dissolvido no hidrocarboneto, ou então emulsificado Obs. Fluoretos metálicos dissolvidos melhoram a condutividade FLUORAÇÃO DE CLORODERVADOS VANTAGENS : Facilidade de substituição R – C - O - Cl > Ar – CH 2 –Cl > CH 2 = CH – CH 2 –Cl > Ar -Cl CARACTERÍSTICAS Reações normalmente conduzidas na presença de catalisadores
üCompostos como cloreto de ácidos, sulfocloretos, clorohidrinas, apresentam grande facilidade de substituição, podendo inclusive ser usado KF como agente de fluoração. ü Enquanto que compostos com cloro ligado ao carbono α de um aromático, ou de um cloreto de ácido, ou ainda um clorosilano, um cloreto de alquila ou um ligado a um carbono vinílico necessitam de catalisador Catalisadores: Ag. F, Hg. F 2, Sb. F 3, . . . Obs. : A adição de Cl 2, Sb. CI 3 ou Sb. Cl 5 , aumenta a ação do catalisador Sb. F 3 Sb. Cl 3 + 3 HF Sb. Cl 5 Catalisadores: Sb F 3 + 3 HCl Sb. Cl 3 + Cl 2 Sb. Cl 3 F 2 , Sb. Cl 2 F 3 Sb. Cl. F 2
Necessidade da presença de cloros vicinais, no emprego destes catalisadores, daí, a necessidade da presença de dois ou mais cloros no mesmo átomo no de carbono Seqüência de substituição 1º ou 2º 3º ou 4º
SELETIVIDADE NA PRODUÇÃO DE FLUORCOMPOSTOS PARTINDO DE CLORADOS Temperatura CHCl 3 CHF 3 Ponto de ebulição volatilidade CHCl 3 CHCl 2 F CHCl. F 2 Halogenocomposto CHF 3
Controle: ü Destilação na medida da formação do produto ü Temperatura x tempo de residência ü Pressão de operação ü Reciclo Escolha da temperatura função da reatividade Primeiro e segundo cloro mais fáceis de substituir que o terceiro no caso do CHCI 3 RCCI 3 > RCHCl 2 > R 2 CCI 2
PRODUÇÃO DOS “FREONS” α=F, β = H+1, δ = C-1 e a ≠ = Cl Matérias primas Clorofórmio, ou tetracloreto de carbono, metilclofórmio, tetra, penta e hexacloroetano. PRODUÇÃO DO FREON 12 M. P : HF , Cl 2 e CCl 4 Reação mantida sob pressão 3 MPa ( R 12 ( gás)) Recuperação do HF HF + KF KHF 2 Produção do Monômero de teflon 2 CHCIF 2 pirólise . 2 CF HCl (650 — 700 o. C) 2 F 2 C=CF 2
HALOGENAÇÃO AVALIANDO A SELETIVIDADE SOB A ÓTICA DA ENERGIA DE ATIVAÇÃO Sabemos que a seletividade é função: ü Da constante de equilíbrio, ü Da energia de ativação e ü Da temperatura. Da equação de Arrhenius, temos que: O fator de Arrhenius A, relaciona-se, a medida de freqüência de colisões e ao fator de probabilidade e o termo está relacionado ao fator de energia ( fração de colisões com energia maior que a energia de ativação)
Para efeito analítico, verifiquemos a probabilidade da ocorrência de reação de halogenação com diferentes halogênios: Fluor, cloro e bromo. Ver na tabela abaixo os distintos valores de energia de ativação para formação do íon metila, “reagentes/intermediários” “produtos/intermediários Energia de ativação cal/mol F • + CH 4 HF Cl • + CH 4 HCl Br • + CH 4 HBr R = 1, 986 cal/ o K mol + CH 3 • 1200 3800 18600
Submetendo-se as três reações a mesma temperatura por exemplo, 573° K, teremos as seguintes frações de colisão, obtidas pela resolução da equação de Arrhenius: ü 0, 34 para o fluor, ü 0, 035 para o cloro e ü 8 x 10 -8 para o bromo,
TERMODIN MICA E CINÉTICA DAS REAÇÕES DE HALOGENAÇÃO Variação da entalpia durante as diferentes fases da halogenação Fases ∆H (Kcal /mol) Halogênios EAt (Kcal /mol) F Cl Br I +38 +58 +46 +36 XH + CH 3 • -32 +1 -16, 5 +31 +1, 2 +3, 8 +18, 6 +33, 5 CH 3 -X + X • -70 -25, 5 -24 -20 ≈0 ≈0 ≈0 -102 -24, 5 -7, 5 +11 Iniciação X 2 2 X • Propagação Fase 1 X • + CH 4 Fase 2 CH 3 • + X 2 ∆ H final ≈0
Variação da entalpia durante a halogenação com cloro Etapa Reação ∆H (Kcal/mol Iniciação Cl 2 2 Cl • +58 Propagação Cl • + CH 3 –H CH 3 • + HCl CH 3 • + Cl – Cl CH 3 – Cl + Cl • +1 -25, 5 Finalização CH 3 • + Cl • CH 3 - Cl -83, 5 2 CH 3 • CH 3 – CH 3 -88 2 Cl • Cl 2 -58
Energia de dissociação Ligação E dissociação (Kcal/mol) Cl - Cl +58 I-Br 42, 9 CH 3 - H +104, 0 I-Cl 51, 0 CH 3 CH 2 - H +98, 0 Br-Cl 52, 7 H – Cl +103 Cl-F 86, 4 CH 3 – Cl +83, 5 Br-Br 46 CH 3 - CH 3 +88 I-I 36 F–F +38 CH 3 -Br 67 CH 3 – F +108 CH 3 -I 55 C - dupla +95, 8 H-F 136 C - trípla +124, 5 C-C +88, 0 H-H +103, 8
Energia de dissociação Halogênio E dissociação (e. V) λ Aο Cl 2 2480 5000 Br 2 1970 6288 I 2 1540 8000 HCl 4300 2800 HBr 3350 HI 3850 - 4100
Energia de ligação a 25º C em Kcalorias ligação Fluor cloro Bromo iodo X-X 38 57, 8 46, 1 36, 3 H-X 136 102, 9 87, 4 71, 6 C-X 108 66, 6 53, 0 38, 7
Calendário 1º semestre 2 2 2 Março 1 8 15 22 29 Abril 5 12 19 26 Maio 3 10 17 24 Junho 7 14 21 28 Julho 5 Semana de estudos Exame final 31