GZU MOLTILPUMA UN TILPUMA APRINANA Kas kopgs kas

  • Slides: 11
Download presentation
GĀZU MOLTILPUMA UN TILPUMA APRĒĶINĀŠANA

GĀZU MOLTILPUMA UN TILPUMA APRĒĶINĀŠANA

Kas kopīgs, kas atšķirīgs? N 2 O 2 CO 2

Kas kopīgs, kas atšķirīgs? N 2 O 2 CO 2

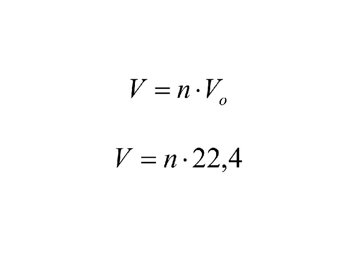
1) 2) 3) V 0 - moltilpums, l/mol

1) 2) 3) V 0 - moltilpums, l/mol

Gāzes formula Gāzes molmasa M, g/mol Gāzes blīvums , g/l N 2 1, 25

Gāzes formula Gāzes molmasa M, g/mol Gāzes blīvums , g/l N 2 1, 25 O 2 1, 43 CO 2 1, 96 Gāzes moltilpums Vo, l/mol

Gāzes formula Gāzes molmasa M, g/mol Gāzes blīvums , g/l Gāzes moltilpums Vo, l/mol

Gāzes formula Gāzes molmasa M, g/mol Gāzes blīvums , g/l Gāzes moltilpums Vo, l/mol N 2 28 1, 25 22, 4 O 2 32 1, 43 22, 4 CO 2 44 1, 96 22, 4

Amadeo AVOGADRO (9. 08. 1776. – 9. 07. 1856. ) • Veicis nozīmīgus atklājumus

Amadeo AVOGADRO (9. 08. 1776. – 9. 07. 1856. ) • Veicis nozīmīgus atklājumus dažādās ķīmijas un fizikas nozarēs • Pirmais noteicis precīzu dažādu elementu (O, C, Cl) atoma masu • 1811. gadā atklāja Avogadro likumu: http: //en. wikipedia. org/wiki/File: Avogadro_Amedeo. jpg “ 1 mol jebkuras gāzes normālos apstākļos (0 ºC temperatūrā un 1 atm spiedienā) ieņem vienādu tilpumu – 22, 4 l. ”

Gāzes formula Gāzes daudzums, n, mol O 2 3 CO 0, 5 CO 2

Gāzes formula Gāzes daudzums, n, mol O 2 3 CO 0, 5 CO 2 Gāzes tilpums V, l 33, 6

Gāzes formula Gāzes daudzums, n, mol Gāzes tilpums V, l O 2 3 67,

Gāzes formula Gāzes daudzums, n, mol Gāzes tilpums V, l O 2 3 67, 2 CO 0, 5 11, 2 CO 2 1, 5 33, 6

Tētis nesaprata, cik daudz ir 0, 25 moli hēlija… Pēteris skolā labi mācījies ķīmiju

Tētis nesaprata, cik daudz ir 0, 25 moli hēlija… Pēteris skolā labi mācījies ķīmiju un zina, ka gāzes var mērīt dažādi - masas, tilpuma un daudzuma vienībās. Pēteris lūdza tētim iepildīt balonā 0, 25 molus hēlija. Tētis nesaprata, kādu tilpumu gāzes vajag balonā iepildīt? Ko tu atbildētu Pētera tētim? http: //www. flickr. com/photos/bluebuttonphoto/3003485168/

www. dzm. lv

www. dzm. lv