Gravitational Dynamics Formulae Link phase space quantities r


































- Slides: 34
Gravitational Dynamics Formulae
Link phase space quantities r (r) dθ/dt Vt vr J(r, v) E(r, v) K(v)
Link quantities in spheres g(r) Vcir 2 (r) σr 2(r) σt 2(r) M(r) f(E, L) (r) vesc 2(r)
Motions in spherical potential
PHASE SPACE DENSITY: Number of stars per unit volume per unit velocity volume f(x, v). d. N=f(x, v)d 3 xd 3 v TOTAL # OF PARTICLES PER UNIT VOLUME: MASS DISTRIBUTION FUNCTION:
TOTAL MASS: TOTAL MOMENTUM: MEAN VELOCITY: <v>=<vxvy>=0 (isotropic) & <vx 2>=<vy 2>=σ2(x)
NOTE: d 3 v=4πv 2 dv (if isotropic) d 3 x=4πr 2 dr (if spherical) GAMMA FUNCTIONS:
GRAVITATIONAL POTENTIAL DUE TO A MASS d. M: RELATION BETWEEN GRAVITATIONAL FORCE AND POTENTIAL: FOR AN N BODY CASE:
LIOUVILLES THEOREM: (volume in phase space occupied by a swarm of particles is a constant for collisionless systems) IN A STATIC POTENTIAL ENERGY IS CONSERVED: Note: E=energy per unit mass
POISSON’S EQUATION: INTEGRATED FORM:
EDDINGTON FORMULAE:
RELATING PRESSURE GRADIENT TO GRAVITATIONAL FORCE: GOING FROM DENSITY TO MASS:
GOING FROM GRAVITATIONAL FORCE TO POTENTIAL:
SINGULAR ISOTHERMAL SPHERE MOD
Conservation of momentum:
PLUMMER MODEL: GAUSS’ THEOREM:
ISOTROPIC SELF GRAVITATING EQUILIBRIUM SYSTEMS
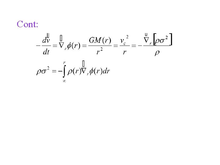
Cont:
CIRCULAR SPEED: ESCAPE SPEED: ISOCHRONE POTENTIAL:
JEANS EQUATION (steady state axisymmetric system in which σ2 is isotropic and the only streaming motion is in the azimuthal direction)
VELOCITY DISPERSIONS (steady state axisymmetric and isotropic σ) OBTAINING σ USING JEANS EQUATION:
ORBITS IN AXISYMMETRIC POTENTIALS Φeff
EQUATIONS OF MOTION IN THE MERIDIONAL PLANE:
CONDITION FOR A PARTICLE TO BE BOUND TO THE SATELLITE RATHER THAN THE HOST SYSTEM: TIDAL RADIUS:
LAGRANGE POINTS: Gravitational pull of the two large masses precisely cancels the centripetal acceleration required to rotate with them. EFFECTIVE FORCE OF GRAVITY: JAKOBI’S ENERGY:
DYNAMICAL FRICTION:
Cont: Only stars with v v. M contribute to dynamical friction. For small v. M: For sufficiently large v. M:
FOR A MAXWELLIAN VELOCITY DISTRIBUTION:
ORBITS IN SPHERICAL POTENTIALS
RADIAL PERIOD: Time required for the star to travel from apocentre to pericentre and back. AZIMUTHAL PERIOD: Where: In general θ will not be a rational number orbits will not be closed.
STELLAR INTERACTIONS
FOR THE SYSTEM TO NO LONGER BE COLLISIONLESS: RELAXATION TIME: CONTINUITY EQUATION:
Helpful Math/Approximations (To be shown at AS 4021 exam) • Convenient Units • Gravitational Constant • Laplacian operator in various coordinates • Phase Space Density f(x, v) relation with the mass in a small position cube and velocity cube