Goals For This Class Quickly review of the













- Slides: 13
Goals For This Class • Quickly review of the main results from last class • Convolution and Cross-correlation • Discrete Fourier Analysis: Important Considerations • Some examples: How to do Fourier Analysis (IDL, MATLAB) • Windowed Fourier Transforms and Wavelets • Tapering • Coherency
From Last Class…. . Fourier Transform (Spectral Analysis) Time (Space) Domain Frequency Domain Fourier Transform: Inverse Fourier Transform: The Fourier transform decomposes a function into a continuous spectrum of its frequency components (using sine and cosine functions), and the inverse transform synthesizes a function from its spectrum of frequency components
Frequency Vs Time (Space Domain) A time domain graph shows how a signal changes over time. A frequency domain graph shows how much of the signal lies within each given frequency band over a range of frequencies. A frequency domain representation can also include information on the phase shift that must be applied to each sinusoid in order to be able to recombine the frequency components to recover the original time signal.
Important Properties to remember Fourier Transform is a special case of Integral Transforms Kernel Function An integral transform "maps" an equation from its original "domain" to a different one. Parseval’s Theorem Fourier Transform conserves variance!! Spectral Estimation Complex Conjugate
Convolution The convolution of two functions is defined as Books also use… Convolution: expresses the amount of overlap of one function as it is shifted over another function. A convolution is a kind of very general moving average (weighted).
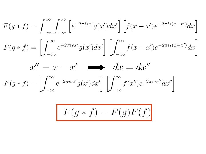
Convolution: Properties Derivation:
Cross-Correlation The cross-correlation of two functions is defined as Relationship Between Convolution And Cross-Correlation In General if Spectral density
Discrete Fourier Transform In this case we do not have a continuous function but a time series. Time series: Sequence of data points, measured typically at successive times, separated by time intervals (often uniform). Sampling Interval DFT IDFT
Discrete Fourier Transform: Properties Fourier Transform of a real sequence of numbers results in a sequence of complex numbers of the same length. If is real and is real Parseval’s Theorem Nyquist Frequency: In order to recover all Fourier components of a periodic waveform (bandlimited), it is necessary to use a sampling rate at least twice the highest waveform frequency. This implies that the Nyquist frequency is the highest frequency that can be resolved at a given sampling rate in a DFT Sampling rate Similarly… Lowest Frequency? Nyquist Freq.
Aliasing is an effect that causes different continuous signals to become indistinguishable when sampled. Classic Example: Wagon wheels in old western movies Good example to do in Mat. Lab or IDL!!
Leakage Allow frequency components that are not present in the original waveform to “leak” into the DFT. Spectral leakage appears due to the finite length of the time series (non integer number of periods, discontinuities, sampling is not and integer multiple of the period). How to handle this? Tapering
How-To (see the code) Matlab? IDL?