Glacier hydraulics Glacier Hydraulics role of glacial hydraulics

  • Slides: 24
Download presentation
Glacier hydraulics

Glacier hydraulics

Glacier Hydraulics

Glacier Hydraulics

role of glacial hydraulics: • Sources of englacial and subglacial water: – surface melt

role of glacial hydraulics: • Sources of englacial and subglacial water: – surface melt percolating into firn – surface melt drained through cracks, crevasses and moulins – internal melt by strain heating – internal melt by pressure changes – basal melt by geothermal heat flux – basal melt by sliding friction • strongest influence of water on glacier flow: – basal sliding: lubrication, water pressure – viscosity strongly dependent on water content in ice crystal matrix

impact of water and glaciers: • • ice dammed lakes: Jökulhlaup proglacial lakes: fast

impact of water and glaciers: • • ice dammed lakes: Jökulhlaup proglacial lakes: fast drainage glacier retreat by calving into lakes ice avalanches triggered by water

ice dammed lakes: Gornergletscher

ice dammed lakes: Gornergletscher

Gornergletscher

Gornergletscher

energy considerations:

energy considerations:

subglacial water conduit

subglacial water conduit

Unterer Grindelwaldgletscher

Unterer Grindelwaldgletscher

Unterer Grindelwaldgletscher

Unterer Grindelwaldgletscher

Unterer Grindelwaldgletscher

Unterer Grindelwaldgletscher

Water pressure and sliding • Erosional patterns show that the ice was sliding over

Water pressure and sliding • Erosional patterns show that the ice was sliding over rocks • Surface velocity of glaciers varies – Seasonally – Diurnally – Related to strong ice melt at the surface – Related to precipitation (rain) • Surface velocity show temporal and spatial variations

Sliding versus water pressure

Sliding versus water pressure

Sliding over rough hard beds

Sliding over rough hard beds

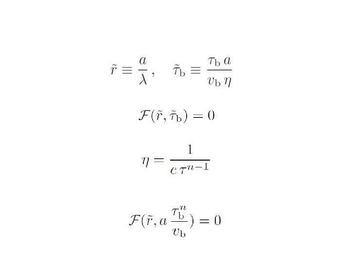
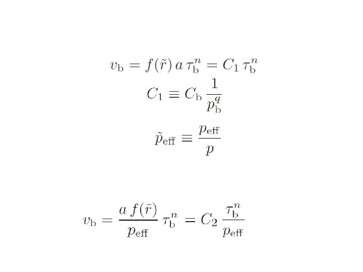
Sliding over hard bed Sliding model a) Ice slides frictionfree over the surface of

Sliding over hard bed Sliding model a) Ice slides frictionfree over the surface of the hard bed b) The mean resistance to the motion of the ice stems from the ice deformation in the roughness elements The sliding parameterisation is defined by a functional

Basal sediment layer: physics and/or implementation of sliding

Basal sediment layer: physics and/or implementation of sliding

Higher order model

Higher order model