GETARAN GELOMBANG Getaran Gerak bolak balik di sekitar
GETARAN & GELOMBANG
Getaran • Gerak bolak balik di sekitar titik setimbang yang periodik disebabkan adanya gaya pemulih
Contoh lain
Gelombang: Getaran yang merambat
Contoh
Gelombang Mekanik Ø Gelombang Suara Ø Gempa Bumi Ø Gelombang pada dawai Ø dll Elektromagnetik Ø Cahaya Ø Sinar X Ø Gelombang Radio Ø dll.
Gelombang Mekanik z Gelombang Mekanik Timbul : F Perlu usikan sebagai sumber F Perlu medium yang dapat diusik F Perlu adanya mekanisme penjalaran usikan
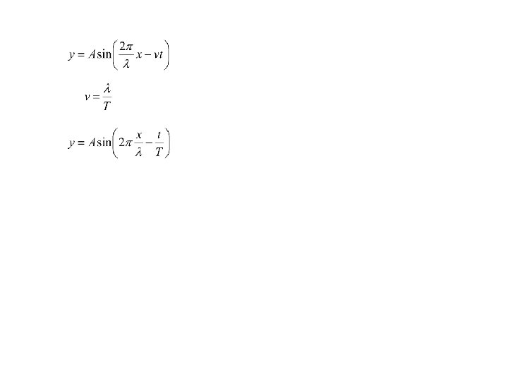
Karakter Fisik yang menjadi ciri gelombang : F Panjang Gelombang (l) F Frekwensi (f ) F Cepatrambat Gelombang (v) Panjang Gelombang : Jarak minimum antara dua titik pada gelombang yang berperilaku identik. Frekwensi Gelombang : Jumlah pengulangan usikan persatuan waktu. Cepatrambat Gelombang : Jarak penjalaran usikan yang ditempuh dalam satuan waktu.
Tipe Gelombang Transversal Gerak partikel yang terusik tegak lurus arah penjalaran Longitudinal Gerak partikel yang terusik sejajar arah penjalaran
Penjalaran Gelombang dalam Satu Dimensi Fungsi Gelombang : Menjalar ke kanan Menjalar ke kiri Cepat-rambat Gelombang (Kecepatan Fasa) :
Superposisi dan Interferensi Gelombang
Gelombang Bunyi
Cepat-rambat Gelombang di dalam Dawai Tegangan dawai Massa dawai persatuan panjang Refleksi dan Transmisi Gelombang
Rambatan gelombang dari medium kurang rapat ke medium yang lebih rapat Rambatan gelombang dari medium lebih rapat ke medium yang kurang rapat
Harmoni Gelombang l A
Untuk Gelombang yang Menjalar ke kanan atau
Efek Doppler bila sumber bunyi dan pengamat saling bergerak relative satu terhadap lainnya (mendekati atau menjauhi) maka frekuensi yang diterima pengamat tidak sama dengan frekuensi yang dipacarkan oleh sumber.
- Slides: 23