Geostrophic adjustment Question How does the adjustment to










































- Slides: 42
Geostrophic adjustment Question: How does the adjustment to geostrophy take place? H(1 + ho) H(1 - ho) 0 x
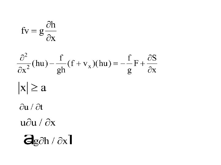
u-momentum (1) v-momentum (2) continuity (3) Take the divergence of (1) and (2) and use (3) to eliminate the divergence
The nonrotating case (f = 0) • the motion remains irrotational (z = 0) then • assume two-dimensional motion for
time
The rotating case (f nonzero) • The two moving steps will experience a Coriolis force acting to the right (NH case) a flow in the -ve y-direction this flow will experience a Coriolis force in the -ve x-direction, opposing the flow in the x-direction • The final adjusted state may be calculated without consideration of the transients
The vorticity equation is The divergence equation is the linearized form of the potential vorticity equation is the perturbation potential vorticity a parcel retains its original Q’
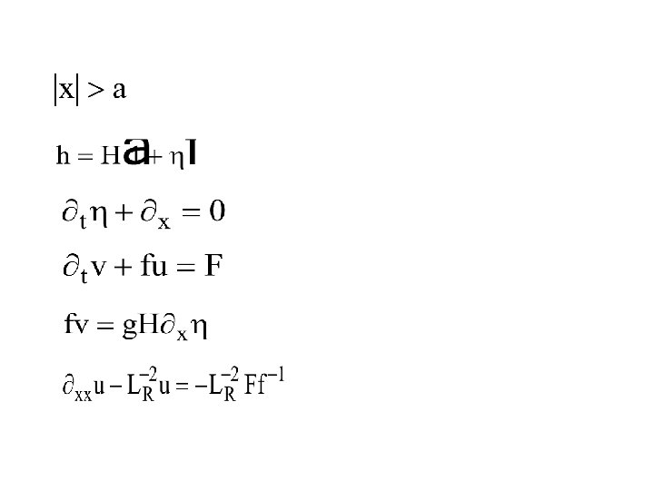
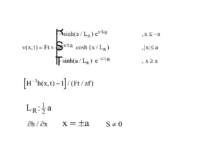
Here, at t = 0, u = v = 0 and h = hosgn(x) in the steady state Solution is: Solution is continuous at and symmetric about x = 0
h x -3 -2 -1 v -3 -2 -1 1 2 3 x
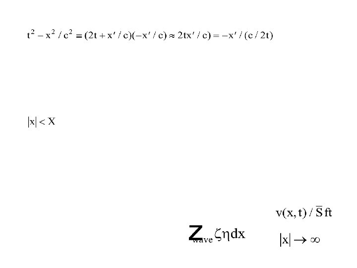
The transient problem The equation for h is now Put Then Put
Can show that at t = 0 Note that For t > 0 When
h h x
u u x
v v x
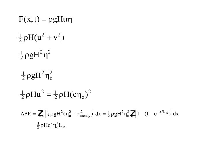
Energy considerations + +
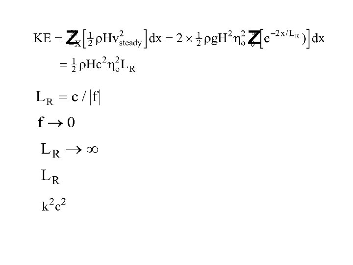
Total perturbation wave energy per unit length in the y-direction KE PE is the rate of energy transfer per unit length in the y-direction at x Nonrotating situation at t = 0: after the passage of the wave all the perturbation potential energy in a fixed region will be converted into the kinetic energy associated with the steady current that remains after the wave front has passed
Rotating situation Note: the Coriolis forces do not directly appear in the energy equations However: the energy changes in the adjustment problem are profoundly affected by rotation = one third of the PE released! The remaining energy is radiated away as inertia-gravity waves in the transient part of the solution.
Notes: • Energy is hard to extract from the available potential energy in a rotating fluid. The geostrophic equilibrium state which is established retains a certain amount of the initial available potential energy. • The steady solution is not one of rest, but is a geostrophically-balanced flow. • The steady solution is degenerate - any velocity field in geostrophic balance satisfies the continuity equation exactly. Therefore the steady solution cannot be found by looking for a solution of the steady-state equations - some other information is needed. • The required information is supplied by the principle that potential vorticity is materially conserved (or locally conserved in the linear problem). • The equation for the steady solution contains a length scale, LR = c/|f|, where c = (g. H)1/2 is the wave speed in the absence of rotation. L << LR, rotation effects are small for L comparable with or large compared with LR, rotation effects are important
Rossby Radius of Deformation LR is a fundamental length scale in atmosphere-ocean dynamics. It is the horizontal scale at which the gross effects of rotation are of comparable importance with gravitational (or buoyancy) effects Early in the adjustment stage in the transient problem, the change in level is confined to a small distance and the horizontal pressure gradient is comparatively large. Accordingly, gravity dominates the flow behaviour. Thus at scales small compared with the Rossby radius, the adjustment is approximately the same as in a nonrotating system. Later, as the change in surface elevation is spread over a distance comparable with the Rossby radius, the Coriolis acceleration becomes just as important as the pressure gradient term and thus rotation leads to a response that is radically different from that in the nonrotating case.
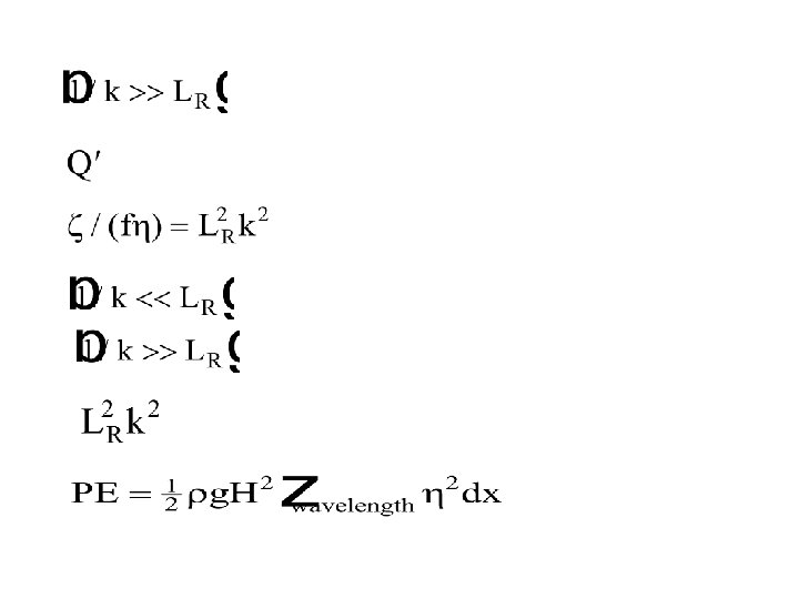
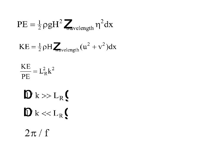
LR is also an important scale for the geostrophic equilibrium solution as well. In the problem analysed, the discontinuity did not spread out indefinitely, but only over a distance of the order of LR. For geostrophic, or quasi-geostrophic flow, LR is the scale for which the two contributing terms to the perturbation potential vorticity Q’ are of the same order. For a sinusoidal variation of surface elevation with wavenumber k, the ratio of the vorticity term to the gravitational term in Q’ is. Therefore, for short waves (1/k << LR) the vorticity term dominates while for long waves (1/k >> LR) gravitational effects associated with the free surface perturbation dominate. For quasi-geostrophic wave motions, the ratio characterizes not only the partition of perturbation potential vorticity, but also the partition of energy.
The perturbation PE integrated over one wavelength is The perturbation KE integrated over one wavelength is For quasi-geostrophic waves periodic in x, one can show that (Ex. 9. 2) Thus short-wavelength geostrophic flow contains mainly kinetic energy, whereas long-wavelength geostrophic flow has most of its energy in the potential form. The situation is different for inertia-gravity waves (see Ex. 9. 2).
Changes in h are associated with changes in the mass field, whereas changes in z are associated with changes in the velocity field. For large scales, the potential vorticity perturbation is mainly associated with perturbations in the mass field and energy changes are mainly a result of potential energy changes. For small scales, the potential vorticity perturbation is mainly associated with perturbations in the velocity field and energy changes are mainly a result of kinetic energy changes. A distinction can be made between the adjustment processes at different scales.
At large scales (1/k >> LR), it is the mass field that is determined by the initial potential vorticity, and the velocity field is merely that which is in geostrophic equilibrium with the mass field. In other words, the large-scale velocity field adjusts to be in equilibrium with the large-scale mass field. In contrast, at small scales (1/k << LR), it is the velocity field that is determined by the initial potential vorticity, and the mass field is merely that which is in geostrophic equilibrium with the velocity field. In other words, the mass field adjusts to be in equilibrium with the velocity field.
Balanced adjustment h v Sdx u y h + dh f u + du dx x
F initial state -a a x u a later state -a
addition of mass initial state H u v v -a 0 a . u x