Further algebra Factor theorem KUS BAT BAT objectives
Further algebra: Factor theorem KUS BAT BAT objectives perform algebraic long division factorise cubic functions and other expressions recall and use the Factor Theorem Starter: Expand
The Factor Theorem states that if f(a) = 0 for a polynomial f(x) then (x – a) is a factor of the polynomial f(x). Introduction: Consider the function f(x) = x 2 + 3 x - 10 Factorise it: Then: f(x) = (x + 5)(x – 2) f(-5) = 0 and f(2) = 0 You can now sketch the graph of f(x) using the roots x=-5, 2
Example 1 If f(p) = 0, then (x – p) is a factor of f(x) x 3 + x 2 – 4 x - 4 Substitute in x = 2 For example; Show that (x – 2) is a factor of x 3 + x 2 – 4 x - 4 23 + 22 – (4 x 2) - 4 Work out each term 8 + 4 – 8 - 4 =0 So because f(2) = 0, (x – 2) is a factor of the original equation
Example 2 When x = 3 the bracket = 0 so f(x) = 0
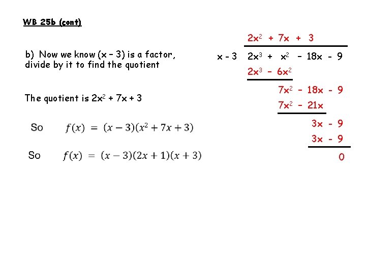
f(x) = 2 x 3 + x 2 – 18 x – 9 WB 25 a) show that f(3) = 0 b) Hence fully factorise 2 x 3 + x 2 – 18 x – 9 using algebraic division a) Substitute in x=3 f(3) = 2(3)3 + (3)2 – 18(3) – 9 f(3) = 54 + 9 – 54 – 9 = 0 So (x – 3) is a factor of f(x)
WB 25 b (cont) 2 x 2 + 7 x + 3 b) Now we know (x – 3) is a factor, divide by it to find the quotient The quotient is 2 x 2 + 7 x + 3 x-3 2 x 3 + x 2 – 18 x - 9 2 x 3 – 6 x 2 7 x 2 – 18 x - 9 7 x 2 – 21 x 3 x - 9 0
WB 26 Practise 1 Use the factor theorem to show that the following are factors, and hence fully factorise easy harder is a factor of is a factor of is a factor of
WB 27 a) finding unknowns Given that (x + 1) is a factor of 4 x 4 – 3 x 2 + a, find the value of a If (x + 1) is a factor, then using -1 will make the equation = 0 Work out each term Solve the equation to find the value of a 0 = 4(-14) – 3(-12) + a 0 = 4 – 3 + a 0 = 1 + a -1 = a (2)3 + a(2)2 - 4(2) + 6 = 0 4 a + 6 = 0
WB 28 Factorise the cubic polynomial f(x) = x 3 – 2 x 2 – x + 2 and hence sketch the graph of the function • Find the table function on your calculator • Type in the function • Enter a range (start and end) -10 to 10 • Enter the step as 1 Check your answer using Geogebra You should get the roots in the table are x= -1, 1, 2
WB 29 Express f(x) = x 3 + x 2 – 5 x + 3 as the product of three linear factors. Hence: a) Sketch the graph of the function. b) Solve the equation x 3 + x 2 – 5 x + 3 = 0 • Find the table function on your calculator • Type in the function • Enter a range (start and end) -10 to 10 • Enter the step as 1 The y-intercept is (0, 3) so there must be repeated factor (x - 1) Check your answer using Geogebra You should get the roots in the table are x= -3, 1 two roots
WB 30: Factorise the cubic polynomial f(x) = x 3 + 3 x 2 – 13 x – 15 Hence: a) Sketch the graph of the function. b) Solve f(x) = 0 • Find the table function on your calculator • Type in the function • Enter a range (start and end) -10 to 10 • Enter the step as 1 Check your answer using Geogebra You should get the roots in the table are x = -5 , -1 , 3
WB 31 exam question
KUS BAT BAT objectives perform algebraic long division factorise cubic functions and other expressions recall and use the Factor Theorem self-assess One thing learned is – One thing to improve is –
END
- Slides: 15