FUNCIONES DE LAS GONADAS REPRODUCCIN GAMETOGNESIS HORMONOGNESIS EFECTOS










































- Slides: 42
FUNCIONES DE LAS GONADAS • REPRODUCCIÓN: GAMETOGÉNESIS HORMONOGÉNESIS • EFECTOS METABÓLICOS • EFECTOS SOBRE EL SNC Y LA CONDUCTA
EJE HIPOTÁLAMO- HIPÓFISIS GÓNADA Gn. RH FSH GAMETOS INHIBINAS LH HORMONAS
Hormonas Esteroideas Femeninas Segregadas por el ovario Folículo*** Cuerpo Lúteo+++ Estroma=== ESTROGENOS***++= PROGESTERONA * +++= ANDRÓGENOS*===
ACCIONES DE LOS ESTRÓGENOS Responsables de estimular al ovario para que produzca, madure y libere el óvulo
§Útero ü Estimulan el crecimiento del endometrio (glándulas, epitelio y estroma) durante la primera mitad del ciclo ü Hipertrofia de fibras del miometrio de la mujer gestante Potencian la dinámica uterina producida por la oxitocina ü Durante la ovulación aumentan la luz del conducto y del orificio cervical externo en el cérvix ü Producen una secreción cervical abundante, transparente, alcalina y con gran elasticidad para favorecer el paso de los espermatozoides §Trompas Aumento de células ciliadas y del peristaltismo para favorecer el transporte del óvulo §Vagina Multiplicación de células, llenándose de glucógeno §Mamas Aumento del tamaño y del número de conductos galactóforos y de la coloración de la areola
§ Otras acciones ü Estimulan el desarrollo de los caracteres sexuales secundarios ü Favorecen la calcificación de las epífisis y la retención de agua y de sodio ü Acción anabolizante: Aumento de lipemia, colesterolemia y la síntesis proteica ü Estimulan el crecimiento de piel y mucosas ü Estimulan la eritropoyesis ü Acción vasodilatadora y antibacteriana ü Estimulan el tono simpático
ACCIONES DE LA PROGESTERONA Prepara el endometrio para recoger, desarrollar y mantener al huevo fecundado
§ Útero ü En el endometrio modificaciones secretoras en el epitelio, ACCIONES DE LA PROGESTERONA en las glándulas transformación progestacional del estroma y cambios vasculares en la fase secretora del ciclo ü En el miometrio reduce la capacidad de contracción de las células para mantener la gestación ü Hiperplasia de las fibras musculares uterinas ü En el cuello secreción espesa con leucocitos, poco favorable al paso de espermatozoides ü Disminuye el diámetro del OCE §Trompas ü Disminuye la movilidad intratubárica ü Cambios secretores en las células del epitelio para nutrir al huevo fecundado durante el transporte
• Vagina üEpitelio vaginal más delgado y más descamación de células superficiales • Mamas üLas prepara la lactancia durante la gestación • Otras acciones üHipertermia basal en la segunda mitad del ciclo üAcción anabolizante y estímulo del tono simpático
Encéfalo Gn-Rh Sístema Porta
CICLO OVÁRICO Y OVULACIÓN CARACTERÍSTICAS üProporciona un óvulo maduro para la fecundación üEl elemento más importante es el folículo. Al nacer hay +/300. 000, solo maduran 400 y el resto se atrofian üTranscurre desde el primer día de la menstruación hasta el primer día de la siguiente üTiene una duración aproximada de 28 -30 días, pero hay variaciones individuales üEn la primera fase se produce la maduración del folículo y predominan los estrógenos üEn la segunda fase encontramos el cuerpo lúteo y predomina la progesterona
CICLO ENDOMETRIAL ENDOMETRIO Capa mucosa que recubre la cavidad uterina. Sufre distintos cambios morfológicos a lo largo del ciclo menstrual, como la capacidad de descamarse y regenerarse cada 28 días a causa de los cambios endócrinos del ovario Fase folicular Fase postovulatoria Fase premenstrual Estradiol 17 - beta- estradiol Progesterona Descenso de estradiol y progesterona Fase proliferativa Fase secretora Fase premenstrual o Isquémica Menstruación Si el óvulo es fecundado el endometrio suministra un emplazamiento adecuado para implantarse y desarrollarse.
Los estrógenos estimulan el crecimiento de la mucosa uterina y la progesterona estimula la secreción en dicha mucosa LH progesterona estrógenos FSH Estrógenos progesterona menstruación
Fase folicular, proliferativa Fase luteínica, secretora
En cada ciclo menstrual se produce la maduración de un óvulo
Al principio del ciclo la FSH estimula el crecimiento de un óvulo FSH
El ovario incrementa la producción de estrógenos FSH
Un aumento brusco de LH hace que se libere el óvulo LH estrógenos FSH
Comienza el aumento de progesterona LH estrógenos FSH
En la segunda parte del ciclo el cuerpo lúteo produce estrógenos y progesterona LH progesterona estrógenos FSH estrógenos
Al final del ciclo disminuyen todas las hormonas sexuales LH progesterona estrógenos FSH estrógenos
Hormonas sexuales femeninas: Estrógenos Función reproductora y sexual: • Caracteres sexuales secundarios y desarrollo y mantenimiento del sistema reproductor femenino • Maduración y liberación del óvulo • Crecimiento del endometrio Función sobre el sistema óseo Mantenimiento del esqueleto Función sobre el sistema cardiovascular. Protección frente a factores de riesgo cardiovascular
0 vario adulto Médula: estroma-células intersticiales-teca Corteza: epitelio germinal y folículos Células foliculares: • Gameto • Tecales • Granulosa
Folículo Maduro: Crecen más capas de células de la granulosa. Se produce un diferenciación celular entre las células de la granulosa y el estroma circundante que constituirá la Teca. La Teca se divide en: Interna: Muy vascularizada y rica en hormonas. Externa: Formación fibrosa de sostén. El desarrollo del folículo depende de las hormonas gonadotrópicas FSH y LH. El ovario simultáneamente produce estrógenos.
CICLO OVÁRICO Y OVULACIÓN Folículo de De Graaf: Teca: llena de líquido y rica en estrógenos. Capa Granulosa: Varias hileras de células y en una zona, un grupo de células se proyecta hacia el interior del antro, conteniendo la célula germinal Disco oóforo. La capa en contacto con la célula germinal se denomina Corona Radiata. Entre la corona radiata y la célula germinal está la Membrana Pelúcida. La capa granulosa produce hormonas. Antro: Cavidad central llena de líquido.
CICLO OVÁRICO Y OVULACIÓN Ovulación: El folículo de De Graaf alcanza 10 -12 mm. Se aproxima a la superficie del ovario y presiona la pared hasta que se rompe y expulsa el líquido folicular y el óvulo, rodeado por la zona pelúcida y la corona radiata. Tiene lugar hacia el día 14 del ciclo y está desencadenado por un aumento en la secreción de LH y FSH. El aumento brusco de LH desencadena la ovulación. En los ovarios este aumento de gonadotropinas se corresponde con un pico en la secreción de estrógenos y progesterona.
CICLO OVÁRICO Y OVULACIÓN Cuerpo Lúteo o amarillo: Tras la ovulación se colapsa el folículo y forma el cuerpo lúteo. Se produce un aumento de progesterona y una disminución de LH y FSH, debido a la acción inhibitoria de los estrógenos y la progesterona (feed-back). Antes de la menstruación hay una caída brusca de los niveles hormonales. 4 Estadios: Proliferación. Engrosamiento de la teca interna. Vascularización. Crecimiento de c. de la granulosa y penetración de vasos procedentes de la teca interna. Madurez. El cuerpo lúteo se evidencia en la superficie del ovario (1 -2 cm. ). Si hay gestación ->Cuerpo lúteo gravídico. Regresión. Día 23 -26 del ciclo. Fibrosis de las células luteínicas -> Cuerpo albicans
CICLO ENDOMETRIAL Cambios en las glándulas, el epitelio y el estroma Fase proliferativa. - Aumenta el espesor del endometrio y la longitud de las glándulas. Fase secretora. -Glándulas más tortuosas y con aumento de la anchura de epitelio. Vertido de glucógeno y mucopolisacáridos. Al final de la fase aparece un infiltrado leucocitario que indica el inicio de la hemorragia menstrual. Fase isquémica premenstrual. - Regresión endometrial. Menstruación. - Descamación periódica de la capa funcional del endometrio, siempre que el ovocito no haya sido fecundado. A los 4 días de iniciada la menstruación el endometrio ya está regenerado
CICLO MENSTRUAL -Se consideran normales ciclos entre 21 -35 días. -La menstruación se presenta desde la pubertad hasta la menopausia, excepto durante el embarazo y la lactancia. -El flujo menstrual dura entre 2 -8 días. -Composición del flujo menstrual: agua, hematíes, leucocitos, células de tejido endometrial, moco del cuello uterino, descamación vaginal y prostaglandinas
estrona estradiol
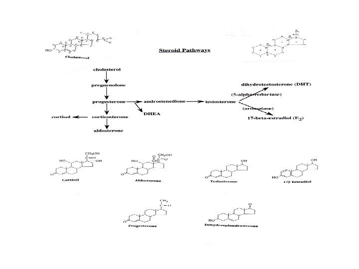
Función endocrina de las células foliculares COLESTEROL AMPc PROGESTERONA LH ANDROSTENEDIONA Teca interna AMPc FSH ANDROSTENEDIONA TESTOSTERONA Granulosa E 1 E 2
Regulación Negativa: • Estrógenos • Progesterona Positiva Estrógenos altos durante > 18 horas, producen aumento de R-GHRH y de gonadotropina.
Climaterio y menopausia • Disminución progresiva de la producción hormonal ovárica: atresia folicular • Predominio de andrógenos suprarrenales sobre estrógenos (hirsutismo) • Alteraciones: sofocos, insomnio, cambios de carácter, atrofia mamaria, atrofia vaginal y disminución secreción, osteoporosis
Climaterio y menopausia Cambios endócrinos • Descenso de los niveles de estrógenos y progesterona y aumento de los de gonadotropinas • En ocasiones ciclos anovulatorios • Descenso del número de folículos y descenso de estrógenos plasmáticos, pero el estroma ovárico y la corteza suprarrenal mantienen un cierto nivel