FSICA I GRADO Ingeniera Mecnica Tema 4 Dinmica














- Slides: 14
FÍSICA I GRADO Ingeniería Mecánica Tema 4. Dinámica de los sistemas de partículas. Sólido rígido. Prof. Norge Cruz Hernández
Tema 4. Dinámica de los sistemas de partículas. Sólido rígido. (6 h) 4. 1 Introducción. 4. 2 Concepto de Sólido Rígido. 4. 3 Cinemática del Sólido Rígido. 4. 4 Centro de masas. Cálculo del centro de masas. 4. 5 Ecuación fundamental de la traslación de un sólido rígido. 4. 6 Momento lineal de un sistema de partículas. Aplicación al Sólido Rígido. 4. 7 Momento de una fuerza respecto a un punto y respecto a un eje.
Tema 4. Dinámica de los sistemas de partículas. Sólido rígido. 4. 8 Momento angular de un sistema de partículas: Sólido Rígido. Momento de Inercia. 4. 9 Propiedades y cálculo del Momento de inercia. 4. 10 Ecuación fundamental de la rotación de un Sólido Rígido. 4. 11 Reacciones en los soportes y conexiones de un Sólido Rígido. 4. 12 Caso particular: Estática. Condiciones de equilibrio. 4. 13 Energía cinética de un Sólido Rígido. 4. 14 Teorema de conservación de la Energía mecánica de un Sólido Rígido.
Bibliografía Clases de teoría: - Física Universitaria, Sears, Zemansky, Young, Freedman ISBN: 970 -26 -0511 -3, Ed. 9 y 11. - Mecánica Vectorial para Ingenieros. Vol. 1 y 2. Beer y Johnston. Mc. Graw-Hill, Madrid, 1998. Clases de problemas: -Problemas de Física General, I. E. Irodov -Problemas de Física, Burbano, Gracia. -Problemas de Física General, V. Volkenshtein - Problemas de Física, S. Kósel -Problemas seleccionados de la Física Elemental, B. B. Bújovtsev, V. D. Krívchenkov, G. Ya. Miákishev, I. M. Saráeva. Libros de consulta: -Resolución de problemas de física, V. M. Kirílov.
derivamos en ambos miembros suponiendo que el centro de masas no se mueve
derivamos en ambos miembros y suponiendo que el centro de masas no se mueve Suponiendo que el tensor de inercia no se modifica en el tiempo
4. 9 Propiedades y cálculo del Momento de inercia. si se trata de un sólido con una distribución de masa
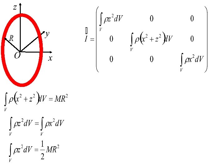
Calcular el tensor de inercia de un anillo de masa M y radio R, usando los ejes que pasan por su centro de masas.
en el caso en que el anillo gire con una velocidad angular sobre el eje y