Fourier Series Hlya Yaln 1 Hlya Yaln 2























































































































- Slides: 119
Fourier Series Hülya Yalçın © 1
Hülya Yalçın © 2
Hülya Yalçın © 3
Hülya Yalçın © 4
Hülya Yalçın © 5
Hülya Yalçın © 6
Hülya Yalçın © 7
Hülya Yalçın © 8
Hülya Yalçın © 9
Hülya Yalçın © 10
Hülya Yalçın © 11
Nice Java Applet http: //www. falstad. com/fourier/ Fourier series java applet Hülya Yalçın © 12
Hülya Yalçın © 13
Hülya Yalçın © 14
Hülya Yalçın © 15
Hülya Yalçın © 16
Hülya Yalçın © 17
Hülya Yalçın © 18
Hülya Yalçın © 19
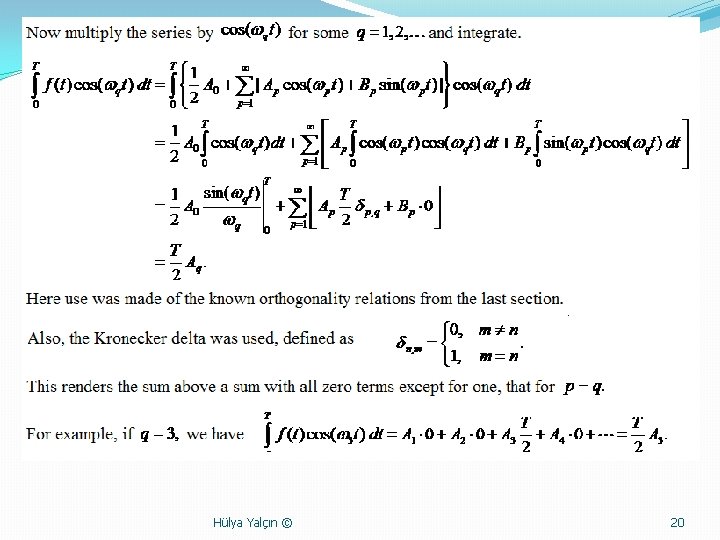
Hülya Yalçın © 20
Hülya Yalçın © 21
Hülya Yalçın © 22
Hülya Yalçın © 23
Hülya Yalçın © 24
Hülya Yalçın © 25
Hülya Yalçın © 26
Hülya Yalçın © 27
Hülya Yalçın © 28
Well, there also -Fourier Transform -Discrete Fourier Transform - etc How all these things are related? Hülya Yalçın © 29
Hülya Yalçın © 30
Hülya Yalçın © 31
Hülya Yalçın © 32
Hülya Yalçın © 33
Hülya Yalçın © 34
Hülya Yalçın © 35
Hülya Yalçın © 36
Hülya Yalçın © 37
Hülya Yalçın © 38
Going from Fourier Series to Fourier Transform Hülya Yalçın © 39
Hülya Yalçın © 40
Hülya Yalçın © 41
Hülya Yalçın © 42
Hülya Yalçın © 43
Hülya Yalçın © 44
Hülya Yalçın © 45
Hülya Yalçın © 46
Hülya Yalçın © 47
Hülya Yalçın © 48
Hülya Yalçın © 49
Hülya Yalçın © 50
Hülya Yalçın © 51
Hülya Yalçın © 52
Hülya Yalçın © 53
Hülya Yalçın © 54
Hülya Yalçın © 55
Hülya Yalçın © 56
Famous Fourier Transforms Sine wave Delta function
Famous Fourier Transforms Gaussian
Famous Fourier Transforms Sinc function Square wave
Famous Fourier Transforms Sinc function Square wave
Famous Fourier Transforms Exponential Lorentzian
FFT of FID
FFT of FID
FFT of FID
Effect of changing sample rate
Effect of changing sample rate
Effect of changing sample rate Lowering the sample rate: Reduces the Nyquist frequency, which Reduces the maximum measurable frequency Does not affect the frequency resolution
Effect of changing sampling duration
Effect of changing sampling duration
Effect of changing sampling duration Reducing the sampling duration: Lowers the frequency resolution Does not affect the range of frequencies you can measure
Effect of changing sampling duration
Effect of changing sampling duration
Measuring multiple frequencies
Measuring multiple frequencies
Trigonometric Fourier series: example Hülya Yalçın © 75
Complex Exponential Fourier Series Hülya Yalçın © 76
Complex Exponential Fourier Series Hülya Yalçın © 77
Symmetry Properties for real signals Hülya Yalçın © 78
Amplitude and phase spectra Hülya Yalçın © 79
Fourier Transform Hülya Yalçın © 80
Recap: Fourier Series Hülya Yalçın © 81
Spectral content of aperiodic signals: the Fourier transform Hülya Yalçın © 82
Example: rectangular pulse Hülya Yalçın © 83
Inverse Fourier Transform Hülya Yalçın © 84
Hülya Yalçın © 85
Properties of Fourier Transform Hülya Yalçın © 86
Properties of Fourier Transform: Linearity Hülya Yalçın © 87
Properties of Fourier Transform: Time-shift Hülya Yalçın © 88
Multiplication by a complex exponential Multiplication by a cosine Hülya Yalçın © 89
Convolution in time-domain Hülya Yalçın © 90
Parseval’s Theorem Hülya Yalçın © 91
Duality Example Hülya Yalçın © 92
Generalized Fourier Transform Hülya Yalçın © 93
Fourier Transform of cosine Hülya Yalçın © 94
Fourier transform of a periodic signal Hülya Yalçın © 95
Bandlimited and timelimited signals Hülya Yalçın © 96
Frequency response of LTI systems Hülya Yalçın © 97
Hülya Yalçın © 98
Hülya Yalçın © 99
Hülya Yalçın © 100
Hülya Yalçın © 101
Hülya Yalçın © 102
Hülya Yalçın © 103
Hülya Yalçın © 104
Hülya Yalçın © 105
Some useful links http: //www. falstad. com/fourier/ Fourier series java applet http: //www. jhu. edu/~signals/ Collection of demonstrations about digital signal processing http: //www. ni. com/events/tutorials/campus. htm FFT tutorial from National Instruments http: //www. cf. ac. uk/psych/Culling. J/dictionary. html Dictionary of DSP terms http: //jchemed. chem. wisc. edu/JCEWWW/Features/Mcad. In. Chem/mcad 0 08/FT 4 Free. Ind. Decay. pdf Mathcad tutorial for exploring Fourier transforms of free-induction decay Hülya Yalçın © 106
Review: vectors Hülya Yalçın © 107
Vector Spaces Hülya Yalçın © 108
Signal Spaces Hülya Yalçın © 109
The space of periodic signals Hülya Yalçın © 110
Complete orthonormal sets of functions Hülya Yalçın © 111
Fourier Series Hülya Yalçın © 112
Fourier Coefficients Hülya Yalçın © 113
Convergence of Fourier Series Hülya Yalçın © 114
Trigonometric Fourier Series Hülya Yalçın © 115
Trigonometric Fourier Series Hülya Yalçın © 116
Trigonometric Fourier Series Hülya Yalçın © 117
Symmetry Properties Hülya Yalçın © 118
Trigonometric Fourier series: example Hülya Yalçın © 119