Forces Bw Dislocations Consider two parallel edge dislocations
Forces B/w Dislocations • Consider two parallel (//) edge dislocations lying in the same slip plane. • The two dislocations can be of same sign or different signs (a) Same Sign (on same slip plane)
• When the two dislocations are separated by large distance: The total elastic energy per unit length of the dislocation is given by: (14. 34) • When dislocations are very close together: The arrangement can be considered approximately a single dislocation with Burgers vector = 2 b (14. 35) In order to reduce the total elastic energy, same sign dislocations will repel each other (i. e. , prefer large distance separation).
• Dislocations of opposite sign (on same slip plane) • If the dislocations are separated by large distance: • If dislocations are close together: Burgers vector = b - b = 0 Hence, in order to reduce their total energy, dislocations of opposite signs will prefer to come together and annihilate (cancel) each other.
• The same conclusions are obtained for dislocation of mixed orientations • (a) and (b) above can be summarized as: – Like dislocations repel and – unlike dislocations attract
Dislocations Not on the Same Slip Plane • Consider two dislocations lying parallel to the z (x 3) -axis: x 2 II I x 1 x 3 • In order to solve this: (a) We assume that dislocation “I” is at the origin (b) We then find the interaction force on dislocation “II” due to dislocation “I”
• Recall Eqn. 14. 29 • Note that the dislocation at the origin (dislocation I) provides the stress field, while the Burgers vector and the dislocation length belongs to dislocation II • Since is edge: • Also b. II is parallel to x 1: Therefore, This means that b 2 = b 3 = 0 and b 1 = b
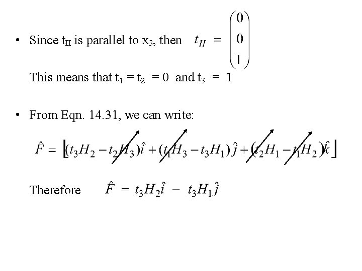
• Since t. II is parallel to x 3, then This means that t 1 = t 2 = 0 and t 3 = 1 • From Eqn. 14. 31, we can write: Therefore
But Therefore, F along the x 1 Direction is given as: 21 b 14. 30 This component of force is responsible for dislocation glide motion - i. e. , for dislocation II to move along x 1 axis.
F along the x 2 Direction is given as: - 11 b 14. 31 This component of force is responsible for climb (along x 2). • At ambient (low) temperature, Fx 2 is not important (because, no climb). • For edge dislocation, movement is by slip & slip occurs only in the plane contained by the dislocation line & its Burgers vector.
• Consider only component Fx 1 For x 1>0: Fx 1 is negative (attractive) when x 1<x 2 for same sign, or x 1>x 2 for opposite sign. For x 1<0: Fx 1 is positive (repulsive) when x 1>-x 2 same sign disl. or x 1<-x 2 for opposite sign disl. Fx 1=0 when x 1 = 0, Usually for edge dislocations of same sign x 2, For edge dislocations of opposite signs
• Hence 900 450 • Stable positions for two edge dislocations.
• Equations 14 -30 and 14 -31 can also be obtained by considering both the radial and tangential components. The force per unit length is given by: 14. 32 14. 33 • Because edge dislocations are mainly confined to the plane, the force component along the x direction, which is the slip direction, is of most interest, and is given by:
14. 34 Eqn. 14 -34 is same as 14 -30. Figure 14 -5 is a plot of the variation of Fx with distance x, using equation 14 -34. Where x is expressed in units of y. Curve A is for dislocations of the same sign; curve B is for dislocations of opposite sign. Note that dislocations of the same sign repel each other when x > y, and attract each other when x < y.
Figure 14 -5. Graphical representation of Eq. (14 -21). Solid curve A is for two edge dislocations of same sign. Dashed curve B is for two unlike two dislocations.
• Example: A dislocations lies parallel to [100] with Burgers vector b<110>. Compute the force acting on the dislocation due to the stress field of a neighboring screw dislocation lying parallel to [001]. Assume that for the screw dislocations Solution: x 2 S x 3 x 1
Let the screw dislocation be dislocation I at the origin. The stress field for screw dislocation is given by: based on the assumption, we have
For the other dislocation
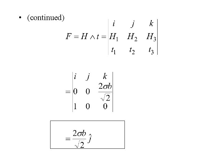
• (continued)
(a) (b) Figure 14 -6. (a) Diffusion of vacancy to edge dislocation; (b) dislocation climbs up one lattice spacing
- Slides: 19