FLUID FLOW IDEAL FLUID BERNOULLIS PRINCIPLE How can
FLUID FLOW IDEAL FLUID BERNOULLI'S PRINCIPLE How can a plane fly? How does a perfume spray work? What is the venturi effect? Why does a cricket ball swing or a baseball curve? web notes: lect 6. ppt flow 3. pdf
Daniel Bernoulli (1700 – 1782)
A 1 A 2 v 1 Low speed Low KE High pressure v 2 high speed high KE low pressure v 1 Low speed Low KE High pressure
p large p small v large v small
In a serve storm how does a house loose its roof? Air flow is disturbed by the house. The "streamlines" crowd around the top of the roof faster flow above house reduced pressure above roof than inside the house room lifted off because of pressure difference. Why do rabbits not suffocate in the burrows? Air must circulate. The burrows must have two entrances. Air flows across the two holes is usually slightly different slight pressure difference forces flow of air through burrow. One hole is usually higher than the other and the a small mound is built around the holes to increase the pressure difference. Why do racing cars wear skirts?
VENTURI EFFECT high pressure (patm) low pressure velocity increased pressure decreased
force high speed low pressure force What happens when two ships or trucks pass alongside each other? Have you noticed this effect in driving across the Sydney Harbour Bridge?
artery Flow speeds up at constriction Pressure is lower Internal force acting on artery wall is reduced External forces causes artery to collapse Arteriosclerosis and vascular flutter
Bernoulli’s Equation for any point along a flow tube or streamline p + ½ v 2 + g y = constant Dimensions p [Pa] = [N. m-2] = [N. m. m-3] = [J. m-3] ½ v 2 [kg. m-3. m 2. s-2] = [kg. m-1. s-2] = [N. m. m-3] = [J. m-3] gh [kg. m-3 m. s-2. m] = [kg. m. s-2. m. m-3] = [N. m. m-3] = [J. m-3] Each term has the dimensions of energy / volume or energy density. ½ v 2 KE of bulk motion of fluid gh GPE for location of fluid p pressure energy density arising from internal forces within moving fluid (similar to energy stored in a spring)
Mass element m moves from (1) to (2) Derivation of Bernoulli's equation m = A 1 x 1 = A 2 x 2 = V where V = A 1 x 1 = A 2 x 2 Equation of continuity A V = constant A 1 v 1 = A 2 v 2 A 1 > A 2 v 1 < v 2 Since v 1 < v 2 the mass element has been accelerated by the net force F 1 – F 2 = p 1 A 1 – p 2 A 2 Conservation of energy A pressurized fluid must contain energy by the virtue that work must be done to establish the pressure. A fluid that undergoes a pressure change undergoes an energy change.
K = ½ m v 22 - ½ m v 12 = ½ V v 22 - ½ V v 12 U = m g y 2 – m g y 1 = V g y 2 = V g y 1 Wnet = F 1 x 1 – F 2 x 2 = p 1 A 1 x 1 – p 2 A 2 x 2 Wnet = p 1 V – p 2 V = K + U p 1 V – p 2 V = ½ V v 22 - ½ V v 12 + V g y 2 - V g y 1 Rearranging p 1 + ½ v 12 + g y 1 = p 2 + ½ v 22 + g y 2 Applies only to an ideal fluid (zero viscosity)
Ideal fluid Real fluid
Flow of a liquid from a hole at the bottom of a tank (1) Point on surface of liquid y 1 v 2 = ? m. s-1 y 2 (2) Point just outside hole
Assume liquid behaves as an ideal fluid and that Bernoulli's equation can be applied p 1 + ½ v 12 + g y 1 = p 2 + ½ v 22 + g y 2 A small hole is at level (2) and the water level at (1) drops slowly v 1 = 0 p 1 = patm p 2 = patm g y 1 = ½ v 22 + g y 2 v 22 = 2 g (y 1 – y 2) = 2 g h v 2 = (2 g h) h = (y 1 - y 2) Torricelli formula (1608 – 1647) This is the same velocity as a particle falling freely through a height h
How do you measure the speed of flow for a fluid? (1) (2) F v 1 = ? h m
Assume liquid behaves as an ideal fluid and that Bernoulli's equation can be applied for the flow along a streamline p 1 + ½ v 12 + g y 1 = p 2 + ½ v 22 + g y 2 y 1 = y 2 p 1 – p 2 = ½ F (v 22 - v 12) p 1 - p 2 = m g h A 1 v 1 = A 2 v 2 = v 1 (A 1 / A 2) m g h = ½ F { v 12 (A 1 / A 2)2 - v 12 } = ½ F v 12 {(A 1 / A 2)2 - 1}
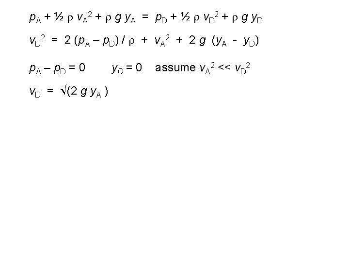
C y. C A y. A B y. B D How does a siphon work? How fast does the liquid come out?
Assume that the liquid behaves as an ideal fluid and that both the equation of continuity and Bernoulli's equation can be used. Heights: y. D = 0 y. B y. A y. C Pressures: p. A = patm = p. D Consider a point A on the surface of the liquid in the container and the outlet point D. Apply Bernoulli's principle to these points Now consider the points C and D and apply Bernoulli's principle to these points From equation of continuity v. C = v. D The pressure at point C can not be negative
p. A + ½ v. A 2 + g y. A = p. D + ½ v. D 2 + g y. D v. D 2 = 2 (p. A – p. D) / + v. A 2 + 2 g (y. A - y. D) p. A – p. D = 0 v. D = (2 g y. A ) y. D = 0 assume v. A 2 << v. D 2
p. C + ½ v. C 2 + g y. C = p. D + ½ v. D 2 + g y. D v. C = v D p. C = p. D + g (y. D - y. C) = patm + g (y. D - y. C) The pressure at point C can not be negative p. C 0 and y. D = 0 p. C = patm - g y. C 0 y. C patm / ( g) For a water siphon patm ~ 105 Pa g ~ 10 m. s-1 y. C 105 / {(10)(103)} m y. C 10 m ~ 103 kg. m-3
A large artery in a dog has an inner radius of 4. 00 10 -3 m. Blood flows through the artery at the rate of 1. 00 10 -6 m 3. s-1. The blood has a viscosity of 2. 084 10 -3 Pa. s and a density of 1. 06 103 kg. m-3. Calculate: (i) The average blood velocity in the artery. (ii) The pressure drop in a 0. 100 m segment of the artery. (iii) The Reynolds number for the blood flow. Briefly discuss each of the following: (iv) The velocity profile across the artery (diagram may be helpful). (v) The pressure drop along the segment of the artery. (vi) The significance of the value of the Reynolds number calculated in part (iii). Semester 1, 2004 Exam question
Solution radius R = 4. 00 10 -3 m volume flow rate Q = 1. 00 10 -6 m 3. s-1 viscosity of blood = 2. 084 10 -3 Pa. s density of blood = 1. 060 10 -3 kg. m-3
(i) Equation of continuity: Q = A v A = R 2 = (4. 00 10 -3)2 = 5. 03 10 -5 m 2 v = Q / A = 1. 00 10 -6 / 5. 03 10 -5 m. s-1 = 1. 99 10 -2 (ii) Poiseuille’s Equation Q = P R 4 / (8 L) m. s-1 L = 0. 100 m P = 8 L Q / ( R 4) P = (8)(2. 084 10 -3)(0. 1)(1. 00 10 -6) / {( )(4. 00 10 -3)4} Pa P = 2. 07 Pa (iii) Reynolds Number Re = v L / where L = 2 R (diameter of artery) Re = (1. 060 103)(1. 99 10 -2)(2)(4. 00 10 -3) / (2. 084 10 -3) Re = 81 use diameter not length
(iv) Parabolic velocity profile: velocity of blood zero at sides of artery (v) Viscosity internal friction energy dissipated as thermal energy pressure drop along artery (vi) Re very small laminar flow (Re < 2000)
- Slides: 26