Flipped Class Pros Cons Covariance Covariance The lecture

  • Slides: 25
Download presentation
Flipped Class • Pros? • Cons?

Flipped Class • Pros? • Cons?

 • Covariance

• Covariance

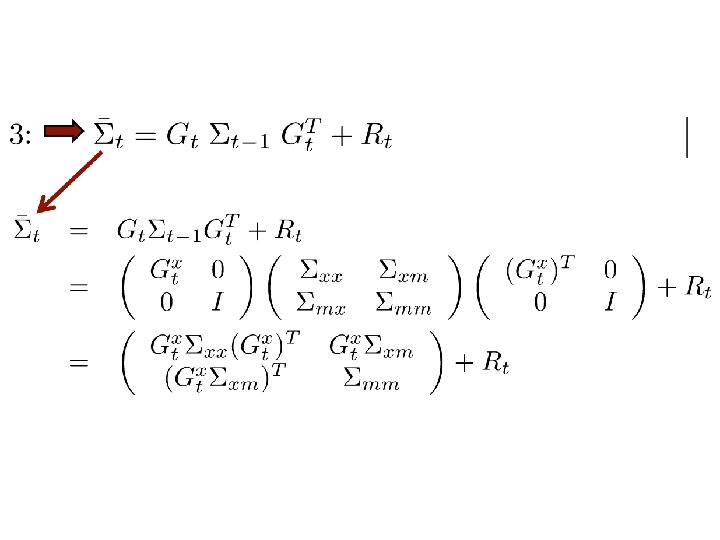
 • Covariance

• Covariance

 • [The lecture] involves a lot of math (linear algebra and calculus). For

• [The lecture] involves a lot of math (linear algebra and calculus). For some slides, the lecture is not really clear to me • The lecture is difficult for me to understand all of the functions. I'm not very clear about what does each matrix mean. • After watching this a lot of my confusion after watching the video from last week went away. I have a better understanding of how a Kalman filter works.

 • Is there anything which is unclear about the prediction step and let

• Is there anything which is unclear about the prediction step and let me know now. Anything else I should explain again that wasn’t clear you’d like to know?

Initialization 2 N + 3 dimensions

Initialization 2 N + 3 dimensions

 • "wrong loop closures", but doesn't go into much detail as to what

• "wrong loop closures", but doesn't go into much detail as to what they are. This may be a broad question: what can cause wrong loop closures in SLAM, and is there any way to avoid that kind of issue?

 • He mentions briefly when discussing the mapping of the park that there

• He mentions briefly when discussing the mapping of the park that there are points where trees were added after the imaging or something was in the way of the cameras, but the result is that the estimates are far off the reality of the park. How do you address such a situation? Is there any way?

 • Lab 6 • Final Project Ideas: Piazza by 6 am on Thursday

• Lab 6 • Final Project Ideas: Piazza by 6 am on Thursday

 • • • Learning & Optimization Learning from Humans Human Robot Interaction Reinforcement

• • • Learning & Optimization Learning from Humans Human Robot Interaction Reinforcement Learning Multi-Robot Systems