Fisika Kuantum nurhidayah 1401gmail com Operator Suat instruksi


















































- Slides: 50
Fisika Kuantum nurhidayah 1401@gmail. com
Operator Suat instruksi matematis yang dikenakan pada fungsi gelombang akan menghasilkan fungsi lainnya.
Contoh Fungsi Semula Fungsi eigen Nilai eigen
Komutator Di dalam mekanika kuantum, variabel-vanabel dinamis pada umumnya tidak komut. Misalkan A dan B adalah dua variabel dinamis, umumnya berlaku Selanjutnya, didefinisikan hubungan komutasi atau komutator antara A dan B ,
Contoh Operator Komutasi (bersifat rukun) Contoh Operator yang tak rukun
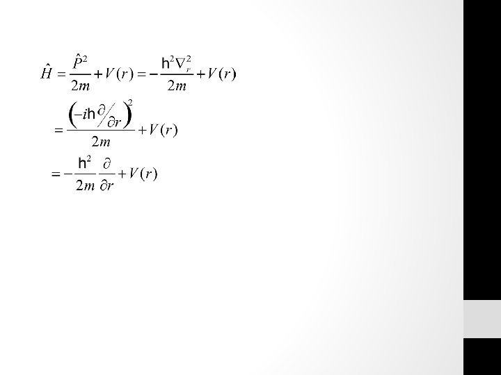
Mekanika Gelombang Notasi Dirac: Jika : Brax. Ket=1 , maka ternormalkan Misal: Suatu operator dikatakan Hermitian jika: Ingat!!
Jika :
Asas-asas Dalam Mekanika Kuantum 1. Fungsi gelombang 2. Observabel 3. Persamaan Swanilai 4. Nilai Harap 5. Persamaan Gerak Kuantum : Persamaan Schrodinger
1 Dalam bentuk mekanika gelombang 2 Sifat hermitian dari suatu operator sama dengan
3 Adalah pasti atau swanilai. Agar real diperlukan yang bersifat Hermitian, syarat real: Eigen nilai/ swanilai real :
Swanilai yang harus bersifat real. Dari eigen nilai yang real dapatlah disusun swavektor yang lengkap dan orthogonal Setiap eigen vektor mempunyai nilai yang berbeda disebut dengan eigen vektor tak merosot atau tak terdegenarasi.
4 • Nilai harap momentum garis Dengan ketidakpastian • Nilai harap posisi Dengan ketidakpastian
• Nilai harap energi Dengan ketidakpastian Keadaan Kuantum:
Contoh Soal 1. Keadaan kuantum bersifat ortogonal dan masing-masing memiliki tenaga pasti dengan tingkat tenaga pasti E 0, 3 E 0, dan 5 E 0. Sebuah partikel pada saat t=0 menduduki keadaan kuantum berapa nilai harap tenaga dan ketidakpastiannya?
Keadaan Stasioner Suatu keadaan yang memiliki energi pasti, yaitu: E=0, artinya energi tetap dan memiliki persamaan swanilai atau schrodinger yang gayut waktu.
n F(n) n 0 1 2 3 4 5 6 7 F(n)
5 Rumus Persamaan Gerak Kuantum Pada saat awal mula-mula t=0 sampai dengan t tertentu: Keadaan diatas dikatakan dengan keadaan evolusi. Akan berlaku persamaan schrodinger Persamaan Schrodinger gayut waktu Persamaan swanilai
Keadaan kuantum suatu zarah bermassa m dibatasi geraknya dalam ruang satu dimensi sepnjang sumbu x disajikan oleh fungsi gelombang , tentukan energi E dan potensialnya V(x) jika keadaan tersebut keadaan stasioner. Penyelesaian:
Keadaan kuantum suatu zarah bermassa m dibatasi geraknya dalam ruang satu dimensi sepanjang sumbu x disajikan oleh fungsi gelombang , tentukan energi E dan potensialnya V(x) jika keadaan tersebut keadaan stasioner.
Implikasi Azas Mekanika Kuantum Asaz Ketakpastian Heiseberg Posisi dan momentum Waktu dan energi "Tidak mungkin mengetahui atau mendapatkan posisi dan momentum suatu partikel dengan tepat secara serempak atau bersamaan
Persamaan Gerak Heisenberg Aplikasi Pers. Gerak Heisenberg untuk melukiskan asas korespodensi( perpadanan) yang dikemukakan oleh Ehrenfest
Untuk membuktikan persamaan gerak Heisenberg, ditinjau persamaan nilai harap Diderivatifkan terhadap waktu dengan meninjau asas ke 5 mekanika kuantum S. R. S diperolehlah persamaan gerak Heisenberg.
Contoh: Buktikan bahwa Penyelesaian:
Untuk Aplikasi Pers. Gerak Heisenberg untuk melukiskan asas korespodensi (perpadanan) yang dikemukakan oleh Ehrenfest.
Osilator Harmonis Persamaan Schrodinger Dengan penyelesaian pers. Schrodinger dengan suatu fungsi gelombang. Untuk keadaan dasar diperoleh energi keadaan dasar Secara umum
Energi Osilator Harmonis dapat ditulis
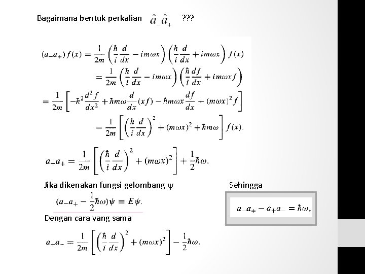
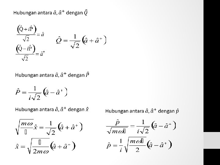
Operator Hermitian OHS Dengan Metode Aljabar: a+= Operator eskalator naik a- = Operator eskalator naik
Bagaimana bentuk perkalian ? ? ? Jika dikenakan fungsi gelombang Dengan cara yang sama Sehingga
Sifat hermitian: Operator Hermitian untuk osilator Harmonis Sederhana Dimensi energi, agar tak berdimensi maka E=Eu
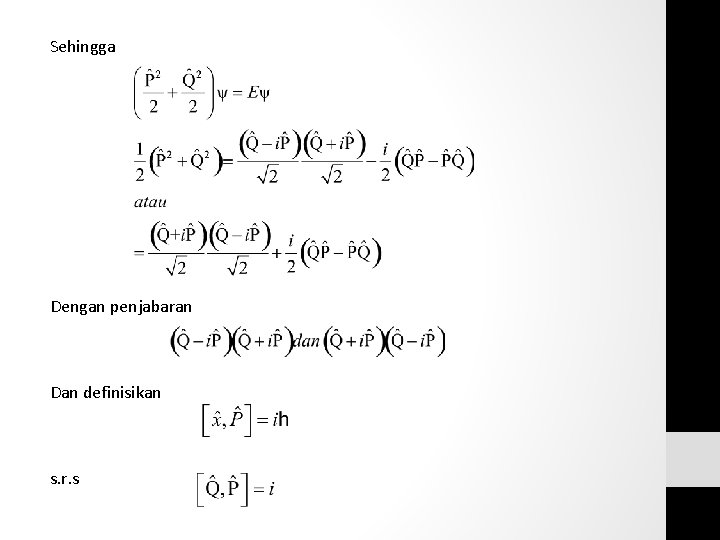
Sehingga Dengan penjabaran Dan definisikan s. r. s
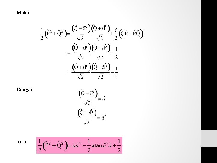
Maka Dengan s. r. s
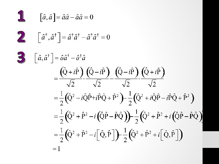
1 2 3
Bagaimana dengan ? ?
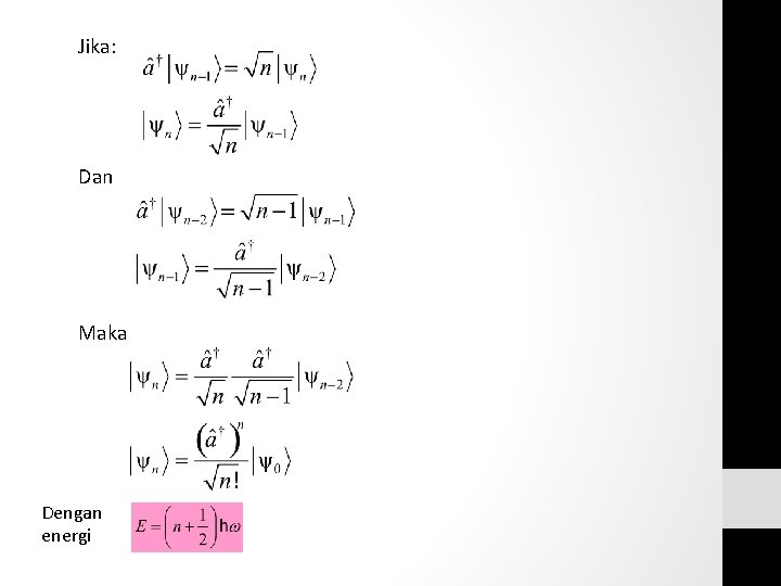
Operator Eskalator Turun Operator Eskalator Naik Ex:
Jika: Dan Maka Dengan energi
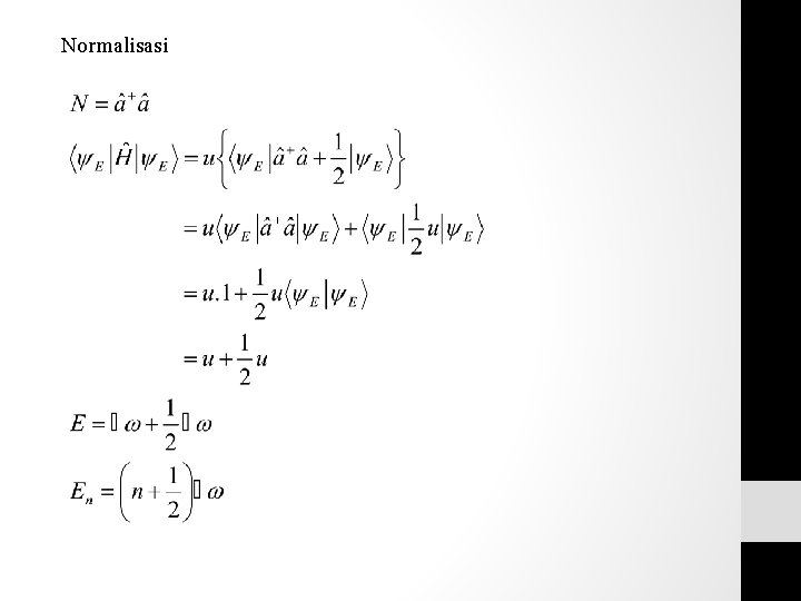
Normalisasi
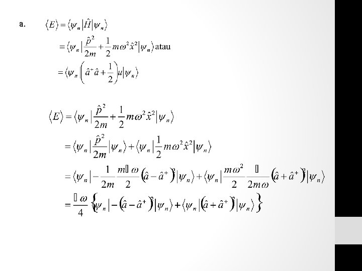
Contoh Soal Sebuah osilator harmonik satu dimensi dengan massa m dan frekuensi sudut pada awal menduduki keadaan kuantum. merupakan keadaan stasioner pada aras energi ke-n. a) Tentukan energi OHS pada keadaan awal tersebut b) Tentukan nilai harap posisi pada saat t sembarang
a.