FINITE STATE AUTOMATA FSA FSA otomata berhingga state
FINITE STATE AUTOMATA (FSA)
• FSA / otomata berhingga state, merupakan mesin otomata dari bahasa regular. • FSA memiliki state yang jumlahnya berhingga dan dapat berpindah-pindah dari 1 state ke state yang lain • Perubahan state dinyatakan oleh fungsi transisi
• Pergerakan lift salah satu contoh dari penggunaan FSA • Pemrosesan text editor, protokol kermit (transfer file, script pemrograman)
• Contoh kasus FSA adalah : petani, kambing, srigala, dan rumput berada pada sisi sungai secara bersamaan. Agar rumput tidak dimakan oleh kambing dan kambing tidak dimakan oleh srigala. Maka bagaimana penggambaran mesin FSA nya?
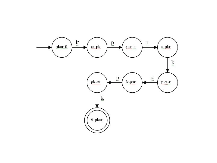
• (PKSR-0) k (SR-PK) p (PSR-K) r (S-PKR) k (PKS-R) s (K-PSR) p (PK-SR) k (0 -PKSR) atau • (PKSR-0) k (SR-PK) p (PSR-K) s (R-PSK) k (PKR-S) r (K-PRS) p (PK-RS) k (0 -PKSR)
• Pada pencek parity ganjil pengirim akan menambahkan bit paritas sehingga jumlah bit 1 adalah ganjil, contoh terdapat data 0110 maka pengirim akan menambahkan bit 1, sehingga penerima akan memperoleh 01101 • Sebaliknya 01110 • Bagaimana bentuk mesin FSA nya?
• (EVEN) 0* 1 (ODD) 0* | 1 (EVEN)
• Mesin FSA dapat digambarkan dengan : a. Lingkaran menyatakan state b. Label pada lingkaran menyatakan nama state c. Busur menyatakan transisi, yaitu per pindahan state d. Label pada busur menyatakan simbol input e. State didahului oleh busur tanpa label menyatakan state awal f. State dengan lingkaran ganda state akhir
• Secara formal FSA dinyatakan dalam 5 tupel atau M=(Q, ∑, δ, S, F) dimana : Q = himpunan state ∑ = Himpunan simbol input δ = Fungsi transisi S = State awal, S Є Q F = State akhir, F himpunan bagian Q
• Dalam kasus pksr, dapat dinyatakan secara formal bahwa : Q = {pksr-0, sr-pk, psr-k, s-pkr, pks-r k-psr, pk-sr, 0 -pksr} ∑ = {p, k, s, r} S = pksr-0 F = {0 -pksr}
• Dalam kasus parity ganjil dapat dinyatakan : Q = {odd, even} ∑ = {0, 1} S = Event F = {odd}
• Dalam FSA berdasar pada pendefinisian kemampuan berubah dari state-state nya, maka dapat dikelompokan ke dalam Determenistik Finite Automata (DFA) dan Non-determenistik (NFA)
Determenistik Finite Automata • Determenistik Finite Automata (DFA) dapat dicirikan bahwa dari suatu state ada tepat satu state berikutnya untuk setiap simbol masukan yang diterima. Contoh :
• DFA di atas secara formal dapat dinyatakan : Q = {q 0, q 1, q 2} ∑ = {a, b} S = q 0 F = {q 2}
• Dapat dinyatakan dalam transisi : δ(q 0, a) = q 0 δ(q 0, b) = q 1 δ(q 1, a) = q 1 δ(q 1, b) = q 2 δ(q 2, a) = q 1 δ(q 2, b) = q 2
• Fungsi transisi tersebut dapat pula dinyatakan dalam sebuah tabel transisi :
• Dikatakan bila M adalah sebuah FSA , M = (Q, ∑, δ, S, F), menerima suatu bahasa yang disebut dengan L(M), yang merupakan himpunan {x|δ(S, x) di dalam F}, dan L = Language • Bila pada DFA di atas kita inputkan ‘abb’ pada mesin tersebut, maka : δ(q 0, abb)= δ(q 0, bb)= δ(q 1, b)=q 2
Dari diagram transisi di atas : • Tuliskan konfigurasi DFA secara formalnya • Bagaimana transisinya • Buat tabel transisinya • Dan string-string apa saja yang dapat diterima
• Bila diketahui tabel transisi • Buat bahasa formalnya • Buat diagram transisinya
- Slides: 21