Figure 5 1 1 1 GHS Corrosive Pictograms















![Figure 5. 3. 2. 1 BHT [2, 6 -bis(tert-butyl)-4 -methylphenol]. A common peroxide-inhibitor. Copyright Figure 5. 3. 2. 1 BHT [2, 6 -bis(tert-butyl)-4 -methylphenol]. A common peroxide-inhibitor. Copyright](https://slidetodoc.com/presentation_image_h2/53cd0d0ec6179ab8fe74de83bd55ec30/image-16.jpg)





















- Slides: 37
Figure 5. 1. 1. 1 GHS Corrosive Pictograms effectively communicate a hazard without using words. This pictogram suggests that a particular liquid is corrosive to solids and to human skin. (Courtesy of the United Nations Economic Commission for Europe, Copyright © 2007 United Nations, New York and Geneva) Copyright © 2010 John Wiley & Sons, Inc.
Figure 5. 1. 1. 2 Concentrated Nitric Acid. Concentrated nitric acid is 15. 8 M and 70% nitric acid by weight. It is very corrosive and produced toxic vapors. Exercise extreme caution if using this reagent. Copyright © 2010 John Wiley & Sons, Inc.
Figure 5. 1. 1. 3 Saponification Reaction (also see Figure 5. 2. 1. 1). This reaction will occur in your skin if you spill some Na. OH solution on yourself. Copyright © 2010 John Wiley & Sons, Inc.
Figure 5. 1. 2. 1 The Fire Triangle. The fire triangle helps explain how fires work and how to prevent fires. Copyright © 2010 John Wiley & Sons, Inc.
Figure 5. 1. 2. 2 The Fire Tetrahedron. The fire tetrahedron helps explain how fires can be extinguished. Copyright © 2010 John Wiley & Sons, Inc.
Figure 5. 1. 2. 3 Proper Grounding for Metal Solvent Drum. Spring-loaded clips make it easy to connect a metal container to a grounded metal pipe. Copyright © 2010 John Wiley & Sons, Inc.
Figure 5. 1. 2. 4 Exothermic Chemical Reaction Profile. For small hydrocarbons E act will be 50 -150 k. J/mol and ΔH rxn will be 1000 to -3000 k. J/mol. Copyright © 2010 John Wiley & Sons, Inc.
Figure 5. 2. 1. 1 Saponification of a Triglyceride. Treating a fat with a strong base frees fatty acids that can be isolated as sodium salts that can be used as soaps. Copyright © 2010 John Wiley & Sons, Inc.
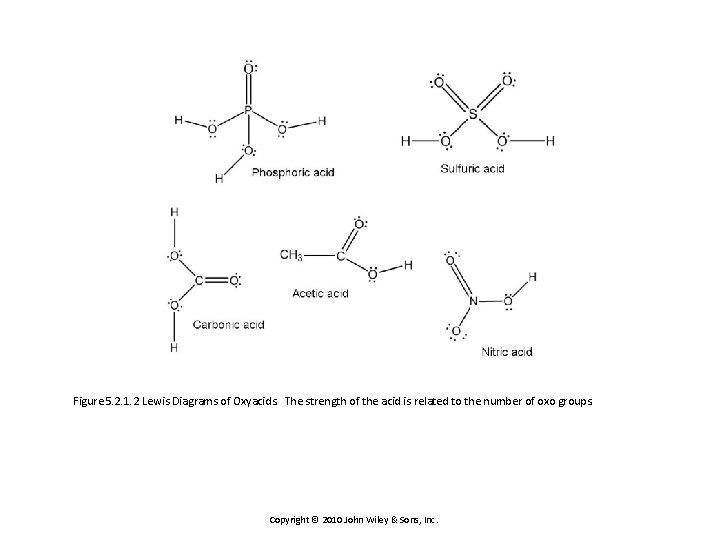
Figure 5. 2. 1. 2 Lewis Diagrams of Oxyacids. The strength of the acid is related to the number of oxo groups. Copyright © 2010 John Wiley & Sons, Inc.
Figure 5. 2. 1. 3: Structure of Phenol. The primary use of phenol is in the synthesis of bisphenol-A, which is used to make polycarbonate substances such as compact discs (CDs) and CD-ROMs. Copyright © 2010 John Wiley & Sons, Inc.
Figure 5. 3. 1. 1 Gas Cylinders Showing Safety Brackets, Valve, and Regulator. Gas cylinders must always be secured to a laboratory bench or other immobile object so that they cannot fall over, snap off the regulator and turn into missiles. Copyright © 2010 John Wiley & Sons, Inc.
Figure 5. 3. 1. 2 T wo-stage Regulator on a Gas Cylinder. The gas in the main cylinder is released when the main tank valve on the cylinder is opened. The safety relief valve will automatically open if excess pressure builds up in the cylinder. A two stage regulator is connected to the tank with a CGA connector and as the gas passes through the main cylinder valve, it enters the regulator where the pressure in the tank is registered on the first gauge. The pressure is controlled by the Stage 2 Valve and the second gauge shows the pressure in the second stage. The needle valve is opened to the desired place to allow gas to flow to the instrument being used. Copyright © 2010 John Wiley & Sons, Inc.
Figure 5. 3. 1. 3 Notch in Connecting Nut indicating CCW Thread. For most normal gases the CGA connector attaches clockwise (CW), but for flammable gases the CGA connector attaches counter-clockwise (CCW). Copyright © 2010 John Wiley & Sons, Inc.
Figure 5. 3. 1. 4 Tool to Remove Cylinder Cap. Do not try to force a stuck cylinder cap with a long screwdriver or other tool that goes through the cap. This may inadvertently open the tank by moving the main tank valve. Copyright © 2010 John Wiley & Sons, Inc.
Figure 5. 3. 1. 5 Cylinder Secured on Gas Cylinder Cart. Gas cylinders must always be moved on a cart, and the cylinder must be secured to the cart. Copyright © 2010 John Wiley & Sons, Inc.
Figure 5. 3. 2. 1 BHT [2, 6 -bis(tert-butyl)-4 -methylphenol]. A common peroxide-inhibitor. Copyright © 2010 John Wiley & Sons, Inc.
Figure 5. 3. 2. 2 BHA [mixture of a. 2 -tert-butyl-4 -hydroxyanisole and b. 3 -tert-butyl-4 -hydroxyanisole]. Isomers that are common peroxide-inhibitors. Copyright © 2010 John Wiley & Sons, Inc.
Figure 5. 3. 2. 3 BHT Radical Reaction. BHT scavenges alkyl radicals, and the BHT radical is very stable and unreactive. Copyright © 2010 John Wiley & Sons, Inc.
Figure 5. 3. 4. 1 Hydrogenation Apparatus, . This apparatus allows the hydrogenation reaction to be conducted at a pressure of up to 5 atm. (Courtesy of Parr Instruments, Moline, Illinois) Copyright © 2010 John Wiley & Sons, Inc.
Figure 5. 3. 4. 2 Laboratory Vacuum System. Low-pressure systems can have many configurations and components. This system shows: 1) manifold; 2) reaction flask; 3) trap; 4) manometer; 5) Dewar flask; 6) vacuum pump; 7) safety shield; 8) storage bulb. (Photo courtesy of T. Leon Venable, Agnes Scott College, Decatur, Georgia). Copyright © 2010 John Wiley & Sons, Inc.
Figure 5. 3. 4. 3 Cold Trap on Rotary Evaporator. In order to condense the vapors being removed from the reaction flask at the right (not shown in this image), the cold trap is often filled with dry ice in ethanol or isopropanol. The condensed solvent is collected in the flask under the cold trap and relatively little of the solvent vapor get into the pump as the other end of the tubing. Copyright © 2010 John Wiley & Sons, Inc.
Figure 5. 3. 5. 1 Ground-Fault Circuit Interrupter (GFCI) These outlets are required at any location near water sources or sinks, although older laboratories may not have these if they have not been upgraded to meet current electrical codes. Copyright © 2010 John Wiley & Sons, Inc.
Figure 5. 3. 5. 2 Outlet in Chemical Hood. A strip outlet in a chemical hood represents a fire hazard since the outlets and switch are not spark-proof and flammable chemicals are often used in hoods. The dangling cords might also present a trip hazard. A liquid spill could also present a shock hazard. (Chemical Health and Safety, 2000, 7(5), 6, used with permission. Copyright © 2000 Division of Chemical Safety and Health of the American Chemical Society) Copyright © 2010 John Wiley & Sons, Inc.
Figure 5. 3 Outlets Clustered on Floor. It is common to used electrical strips since there are often multiple modules of an instrument(s) that need to have electricity. It is easy to forget that plugging in lots of equipment into these electrical strips could present a fire hazard. If the numerous cords are not neatly contained they can present other hazards such as tripping hazards or shock hazards if a water spill enters into the strip. Copyright © 2010 John Wiley & Sons, Inc.
Figure 5. 3. 6. 1 Messy Lab Bench. The bench is so cluttered as to make it unusable in its present state. Bottles might be bumped off the edge. Where would you be able to work? Copyright © 2010 John Wiley & Sons, Inc.
Figure 5. 3. 6. 2 Cluttered Lab Sink. This sink is so cluttered with glassware that just trying to move something might result in breakage, and broken glass under water is hard to see. There might be odors coming from the sink. Obviously the sink cannot be easily used without removing what is already in the sink. Copyright © 2010 John Wiley & Sons, Inc.
Figure 5. 3. 6. 3 Cluttered Lab Hood. Lab hoods are well-known sources of clutter. Unused flasks, bottles beakers, and other lab ware often left behind from previous experiments so that the user has to move things about to make room for their new work. What will you do if you were in a hurry and did not want to take time to clean this up? Copyright © 2010 John Wiley & Sons, Inc.
Figure 5. 3. 6. 4 Cluttered Laboratory. Clearly there are many bottles, vials, containers at the edge waiting to be easily bumped onto the floor. There are other hazards in this lab. Can you spot them? Copyright © 2010 John Wiley & Sons, Inc.
Figure 5. 3. 6. 5 Blocked Laboratory Exit. How rapidly could you exit through this door in an emergency? In the daily routine of working in a lab it is easy to move something to a space that is not being used. Make sure that you don’t block exits and that you have a clear access for emergencies. Copyright © 2010 John Wiley & Sons, Inc.
Figure 5. 3. 6. 6 Cluttered Laboratory. In addition to the carts blocking the safety eyewash and safety shower, there are several other unsafe conditions in this laboratory. Can you spot them? (Courtesy of Harry J. Elston, Ph. D. , CIH, Midwest Chemical Safety LLC, Buffalo, IL). Copyright © 2010 John Wiley & Sons, Inc.
Figure 5. 3. 7. 1 Electromagnetic Spectrum. The wavelengths/frequencies of various kinds of radiation are shown in the diagram. Copyright © 2010 John Wiley & Sons, Inc.
Figure 5. 3. 8. 1 First-Order Decay of Radioisotope 34 P through Ten Half-Lives. After ten half-lives, only 0. 1% of the starting amount of isotope remains. Copyright © 2010 John Wiley & Sons, Inc.
Figure 5. 3. 9. 1 Assorted Dewar flasks come in a variety of shapes and sizes. Copyright © 2010 John Wiley & Sons, Inc.
Figure 5. 3. 9. 2 Large Commercial Dewar Tank. This tank holds about 180 L of liquid nitrogen. It is possible to withdraw the liquid directly from this tank to a smaller transfer Dewar using the tube at the left in the picture. Copyright © 2010 John Wiley & Sons, Inc.
Figure 5. 3. 9. 3 Phase Separator, This device allows a cryogenic liquid to be transferred with minimal splashing. (Courtesy of Office of Environmental Health and Radiation Safety, University of Pennsylvania, Philadelphia, PA. ) Copyright © 2010 John Wiley & Sons, Inc.
Figure 5. 3. 9. 4 Insulated Gloves for Handling Cryogenics. The gloves on the left are best for holding cold objects since they will have better dexterity than the glove on the right (which can also be used for hot objects). Copyright © 2010 John Wiley & Sons, Inc.
Figure Copyright © 2010 John Wiley & Sons, Inc.