fermion Lagrangian Feynman rules gluon propagator FP ghost





























- Slides: 29
fermionも加え る Lagrangian
Feynman rules gluon propagator FP ghost propagator quark propagator vertices vertex
Feynman rules gluon FP ghost internal lines propagators quark gluon propagator FP ghost propagator quark propagator vertices vertex
Feynman rules gluon FP ghost internal lines propagators quark gluon propagator FP ghost propagator quark propagator vertices vertex
Feynman rules gluon FP ghost internal lines propagators quark gluon = FP ghost quark
Feynman rules gluon vertices 3 gluon vertex 4 gluon vertex gluon propagator FP ghost propagator quark propagator vertices vertex
Feynman rules 3 gluon vertex 4 gluon vertex gluon vertices
Feynman rules ghost-gluon vertex fermion-gluon vertex gluon propagator FP ghost propagator quark propagator vertices vertex
Feynman rules ghost-gluon vertex fermion-gluon vertex
external lines gluon 1 FP ghost outgoing incoming quark anti-quark loop T matrix fermion loop -1
loop diagrams dimension
convenient formulae
+ finite terms
higher loops
4 ghost gluon vertex part 収束 ghost 2 gluon vertex part 収束 収束
relation among numbers = # of internal fermion lines, = # of internal boson lines = # of external fermion lines, = # of external boson lines = # of loops, = # of differentiations at vertices, divergent if depends only on the numbers of external lines
primitive divergences gluon self energy part quark self energy part ghost self energy part quark gluon vertex part 3 gluon vertex part ghost gluon vertex part 4 gluon vertex part
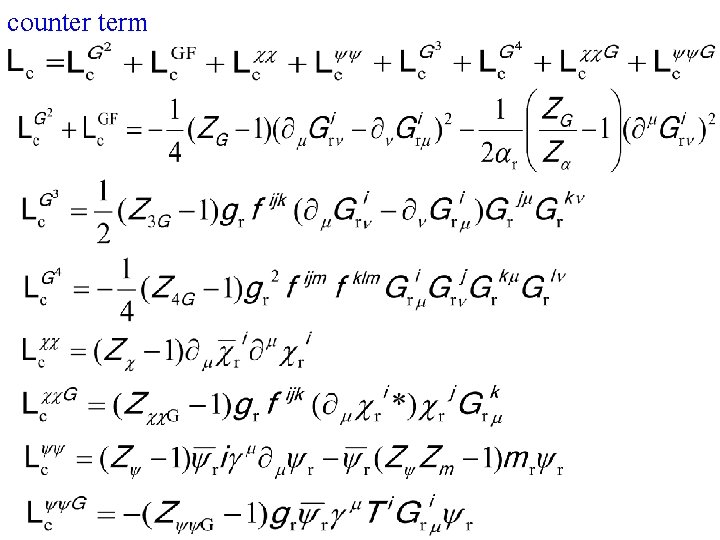
renormalization r: renormalized quantity ZX: renormalization constant : renormalized Lagrangian, : counter term
counter term
addition to the Feynman rules
renormalization There always exist counter terms for divergences. e. g. The divergences are polynomials in momentum. BPHZ renormalization (Bogoliubov Parasiuk Hep Zimmermann) The divergences can be absorbed by The gauge symmetry (or BRS symmetry) ensures the Slavnov Taylor identities and The divergences can be absorved by
at one loop level + finite terms
+ finite terms + + + finite terms
+ finite terms + + + finite terms
+ + + finite terms
+ finite terms
Renormalization Condition In absorbing divergences by there remain ambiguities of finite constants. The condition to fix the ambiguities is called renormalization condition. The scheme with the renormalization condition is called renormalization scheme minimal subtraction scheme modified minimal subtraction scheme momentum subtraction scheme on-shell renormalization scheme Observable relations do not depend on the renormalization scheme